INTRODUCCION AL ALGEBRA APUNTES

Description

Note on INTRODUCCION AL ALGEBRA APUNTES, created by Jorge Alonso Pae on 06/12/2014.
Jorge Alonso Pae
Note by Jorge Alonso Pae, updated more than 1 year ago
Jorge Alonso Pae
Created by Jorge Alonso Pae almost 11 years ago
435
1

Resource summary

Page 1

3AB + 2B - 5 , EN ESTA EXPRECION  SON CONSTANTES 3,2,-5Y VARIABLES A y B

PARTES DE UNA EXPRECIÓN:

EXPRECIONES ALGEBRAICAS:

TERMINOS SEMEJANTES:6X - 8X SON TERMINOS SEMEJANTES

DOS O MAS TERMINOS SON SEMEJANTES CUANDO LOS MISMOS EXPONENTES AFECTAN A LA MISMA BASES

REDUCCION DE TERMINOS SEMEJANTES

PARA SIMPLIFICAR EXPRECIONES SEMEJANTES QUE INVOLUCRAN TERMINOS SEMEJANTES SE SUMAN O RESTAN LOS COEFICIENTES

-7A+3A=(-7+3)A=-4A

ESTAS SON LAS FORMAS EN LAS CUALES SE PUEDE EXPRESAR EL LENGUAJE ALGEBRAICO

EL VALOR NUMERICO SE USA CUANDO  UNA VARIABLE TOMA UN VALOR:

LOS SIGNOS DE AGRUPACION:

LOS SIGNOS DE AGRUPACION SE UTILIANPARA INDICAR QUE LAS CANTIDADES EN SU INTERIOS DE DEBEN CONSIDERAR COMO UNA SOLA.LOS SIGNOS SON:

SI EL SIGNO ESTA PRECIDIDO POR EL SIGNO MAS, CAMVIAN LOS SIGNOS DENTRO PERO SE ES UN SIGNO -  ESTE SUPRIME Y CAMBIA CADA UNA DE LAS CANTIDADES QUE SE ENCUENTREN DENTRO

SI EN UNA EXPRECION SE ENCUENTRAN MUCHOS SIGNOS DE AGRUPACION  SE SUPRIMEN AQUELLOS QUE NO CONTENGAN OTROS, ESTO SE REPITE HASTA TERMINAR

PARA SUMAR POLINOMIOS SE ESCRIBE UNO SEGUIDO DEL OTRO Y SE REDUCEN LOS TERMINOS SEMEJANTES

SUSTRACCION:EN ESTA OPERACION ES IMPORTANTE IDENTIFICAR EL MINUENDO Y EL SUSTRAENDO,PARA POSTERIORMENTE REALIZAR A REDUCCION DE TERMINOS SEMEJANTES

MULTIPLICACION

TIPOS DE MULTIPLICACION:

MONOMIO POR MONOMIO = (2X)(2X)=4(X)(X)

POLINOMIO POR MONOMIO:

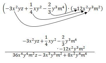
POLINOMIO POR POLINOMIO:

DIVISION:

Tipos de división:

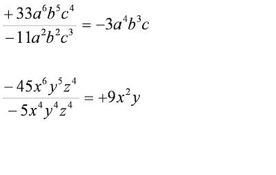
MONOMIO ENTRE MONOMIO:

POLINOMIO ENTRE  MONOMIO:

POLINOMIO ENTRE POLINOMIO:

CONCEPTOS BASICOS

LENGUAJE ALGEBRAICO

VALOR NUMERICO Y SIGNOS DE AGRUPACION

ADICION Y SUSTRACCION DE POLINOMIOS

MULTIPLICACION Y DIVISION

Show full summary Hide full summary

Similar