Cálculo - Secciones cónicas

Resource summary

Page 1

Cálculo

Secciones cónicas 

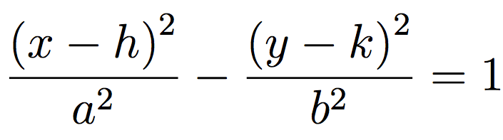
Se habla de secciones cónicas a todas las curvas resultantes en un corte de intersección de un plano a un cono; siendo así que si pasa por el vértice se formaría un punto.Si este corte no pasa por el vértice, se forman las diferentes cónicas como lo son:1) Hipérbola: esta es el lugar geométrico de los puntos de un plano tales que el valor absoluto de la diferencia de sus distancias a dos puntos fijos, llamados focos, es igual a la distancia entre los vértices, la cual es una constante positiva. Si el eje x es positivo, entonces la hipérbola es horizontal; si es al revés, es vertical. La excentricidad de una hipérbola siempre es mayor que uno.

La Hipérbola siempre tiene dos asíntotas que se intersectan en el centro de dicha Hipérbola (líneas punteadas azules)Ecuación de la Hipérbola :

En la ecuación se tienen los términos (x - h)2 y (y - k)2; cada uno de ellos tienen un divisor, a o b elevados al cuadrado, pero lo más importante es que estos términos está relacionados con un signo menos ( - ); se restan entre sí.Muy parecida a una ecuación contraria a la elipse 

La hipérbola se haya cortando un cono recto por un plano oblicuo al eje de simetría, y con ángulo menor que el de la generatriz respecto del eje de revolución.

Eje mayor El eje mayor es la recta de la hipérbola donde pertenecen los focos y los vértices de la misma. Su valor es 2a y es perpendicular al eje imaginario Eje menor o imaginario El eje menor o imaginario no tiene puntos en común con la hipérbola. Sin embargo, siempre se cumple que las perpendiculares lanzadas por sus extremos cortan con las perpendiculares lanzadas por los extremos del eje mayor en 4 puntos que pueden servir para trazar las asíntotas. Asíntotas Son las rectas r y r' que pasan por el centro de la hipérbola y verifican que se acercan ramas de la misma tanto más cuanto más nos alejamos del centro de la hipérbola. Vértices Los vértices de una hipérbola son los puntos donde ésta corta a sus ejes. Focos Son dos puntos, F1 y F2, respecto de los cuales permanece constante la diferencia de distancias (en valor absoluto) a cualquier punto, x, de dicha hipérbola. Centro Punto medio de los vértices de la hipérbola. Tangentes La tangente a una hipérbola en cualquier punto de la curva es bisectriz del ángulo formado por los radios vectores de ese punto.

2) Elementos de la Hipérbola

Parábola: Se denomina parábola al lugar geométrico de los puntos de un plano que equidistan de una recta dada, llamada directriz, y de un punto exterior a ella, llamado foco.

La parábola es una abertura que tiene pares de puntos semejantes con respecto a una línea perpendicular a su directriz (empezando desde el vértice)

Esta puede tener 2 ecuaciones:Cuando la directriz (una recta que tiene la misma distancia P [Distancia del foco al vértice]) es paralela al eje x 

Cuando la directriz es paralela al eje y

El centro se encuentra en las coordenadas (h, k)

El vértice de la parábola es el punto de abertura, que se encuentra en las coordenadas (h, k)  

el lado recto, es un segmento paralelo a la directriz, que tiene al foco como centro y demuestra la abertura de la parábolaLR = 4p

La parábola se da al cortar un cono recto con un plano cuyo ángulo de inclinación respecto al eje de revolución del cono sea igual al presentado por su generatriz.

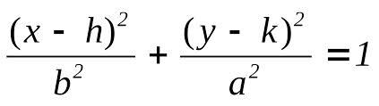
Elipse: La elipse es el lugar geométrico de todos los puntos de un plano, tales que la suma de las distancias a otros dos puntos fijos llamados focos es constante.

La elipse es básicamente una circunferencia con excentricidad mayor a 0 es decir, distancia entre dos focos

La ecuación de la elipse es muy similar a la hipérbola, siendo diferente en los signos, los términos (x - h)2 y (y - k)2 están sumados ( + ) es decir se adicionan entre sí

Esta es una ecuación de una elipse con sus vértices más alejados en el eje y, por lo que a es el divisor de el término y

Por el contrario, esta elipse tiene sus vértices más alejados en el eje x

a: Distancia del centro a uno de los vértices más alejados b: Distancia del centro a uno de los vértices cercanos Centro: (h, k)c: Distancia del centro al foco

a > b

Circunferencia: Una circunferencia es el lugar geométrico de los puntos de un plano que equidistan de otro punto fijo y coplanario llamado centro en una cantidad constante llamada radio.

Una circunferencia está dada por la ecuación:

Siendo el centro (a, b)

- Elementos de la circunferencia:Centro: es el punto interior equidistante de todos los puntos de la circunferencia.Radio: El radio de una circunferencia es el segmento que une el centro de la circunferencia con un punto cualquiera de la misma. El radio mide la mitad del diámetro. El radio es igual a la longitud de la circunferencia dividida entre 2π. Diámetro: El diámetro de una circunferencia es el segmento que une dos puntos de la circunferencia y pasa por el centro. El diámetro mide el doble del radio. El diámetro es igual a la longitud de la circunferencia dividida entre π.Cuerda: La cuerda es un segmento que une dos puntos de la circunferencia. El diámetro es la cuerda de longitud máxima.Recta secante: Es la línea que corta a la circunferencia en dos puntos. Recta tangente: Es la línea que toca a la circunferencia en un sólo punto. Punto de Tangencia: es el punto de contacto de la recta tangente con la circunferencia. Arco: El arco de la circunferencia es cada una de las partes en que una cuerda divide a la circunferencia. Un arco de circunferencia se denota con el símbolo sobre las letras de los puntos extremos del arco. Semicircunferencia: cada uno de los dos arcos delimitados por los extremos de un diámetro.

Show full summary Hide full summary

Similar

El número pi
angel tamayo
Fórmulas Geométricas (Perímetros)
Diego Santos
Factorización de expresiones algebraicas_1
Juan Beltran
Factorización de expresiones algebraicas_2
Juan Beltran
Test Cuerpos Geométricos
Ruth Pérez Sánchez
FRACCIONES...
JL Cadenas
FRACCIONES...
Ulises Yo
CÁLCULOS con [ 3 · 5 · 7 ]
JL Cadenas
CÁLCULO MENTAL
JL Cadenas
Preguntas del Pensamiento Matemático
Diego Santos
Factorización de Expresiones Algebráicas
maya velasquez