Fracciones

Description

Matemática
Ana Machado
Note by Ana Machado, updated more than 1 year ago
Ana Machado
Created by Ana Machado over 9 years ago
76
1

Resource summary

Page 2

Adición:

La suma de dos fracciones de igual denominador es una fracción cuyo numerador es la suma de los numeradores y su denominador es el mismo que el de los sumandos.Para sumar fracciones de distinto denominador reduces ambas fracciones a un denominador común, y luego hallas su suma.

Page 3

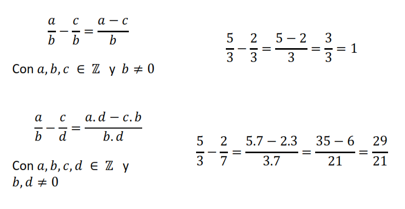
Sustracción:

La operación Sustracción se comporta de igual manera que la Adición, entonces:La resta de dos fracciones de igual denominador es una fracción cuyo numerador es la resta de los numeradores y su denominador es el mismo que el de los sumandos.Para restar fracciones de distinto denominador reduces ambas fracciones a un denominador común, y luego hallas su resta.

Page 4

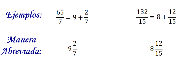
Número Mixto:

La división de 17 entre 5 da como cociente entero 3 y resto 2, lo que podemos escribir:

Una fracción mayor que la unidad se puede escribir como la suma de un natural y una fracción menor que la unidad.

Page 5

Multiplicación:

Para multiplicar dos fracciones se multiplican sus numeradores y sus denominadores respectivamente entre sí.Para multiplicar un número entero por una fracción; se multiplica el entero por el numerador y se mantiene el denominador.

Page 6

Inversa de una Fracción:

Dos números a y b se llaman inversos si su producto es igual a 1.

Page 7

División:

Para dividir dos fracciones, multiplicamos numerador de la primera fracción por el denominador de la segunda para obtener el numerador del cociente, después multiplicamos denominador de la primera por numerador de la segunda para obtener el denominador del cociente.O lo que es lo mismo, multiplicamos la primera fracción por la inversa de la segunda.

Show full summary Hide full summary

Similar

FRACCIONES...
JL Cadenas
FRACCIONES...
Ulises Yo
Fracciones
Ernesto Mazariegos
Integrales Indefinidas
Rupert012
suma y resta de fracciones de igual denominador
marlonh20092009
REPASO DE FRACCIONES. 2º DE ESO
Alberto Garcia
Mapa Mental
laugaitan_1217
NUMEROS FRACCIONARIOS 2016
JAIME A
Números Racionales
Medardo Gomez
Operaciones con fraccciones
Alonso Alvarado
CÁLCULOS con [ 3 · 5 · 7 ]
JL Cadenas