null
US
Sign In
Sign Up for Free
Sign Up
We have detected that Javascript is not enabled in your browser. The dynamic nature of our site means that Javascript must be enabled to function properly. Please read our
terms and conditions
for more information.
Next up
Copy and Edit
You need to log in to complete this action!
Register for Free
7418059
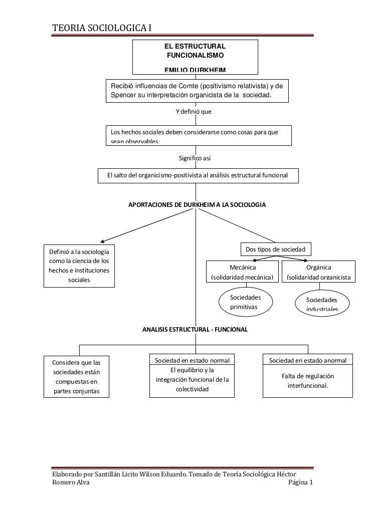
Funcionalismo Estructural - created from Mind Map
Description
Tercero Introducción a las ciencias sociales Note on Funcionalismo Estructural - created from Mind Map, created by María de la Luz Roa Álvarez on 21/01/2017.
No tags specified
introducción a las ciencias sociales
tercero
Note by
María de la Luz Roa Álvarez
, updated more than 1 year ago
More
Less
Created by
Estefania Ramirez Benitez
about 9 years ago
Copied to Note by
Estefania Ramirez Benitez
about 9 years ago
Copied by
María de la Luz Roa Álvarez
almost 9 years ago
11
0
0
Resource summary
Page 1
df3f84b3-f8d3-44b7-be58-b389aa6050cc (image/jpg)
Page 2
Show full summary
Hide full summary
Want to create your own
Notes
for
free
with GoConqr?
Learn more
.
Similar
El estudio de los fenomenos sociales
angel Vladimir
Disciplinas antropológicas
María Piña
DOCUMENTAL KARL MARX
mariely
EXAMEN TEORÍAS SOCIOLÓGICAS
mariely
Tipos de Conocimiento
Leonel Campos
Revolución Francesa
Daniel Valenzuela
INTRODUCCION A LAS CIENCIAS SOCIALES
Nina Salomón
Ciencias Sociales
fuentesmiguel200
Teoría comprensiva
Fatima Garcia
Paradigma de la modernidad: siglos XVI a XX
Deba Garcia
TEORIAS SOCIOLÓGICAS
mariely
Browse Library