Guia 1 Conversión Expresiones Algebraicas a Expresiones Algorítmicas

Description

Recuperaciones 2015 Tecnología e Informática Grados 8°s (Hojas de Calculo) Note on Guia 1 Conversión Expresiones Algebraicas a Expresiones Algorítmicas, created by Francisco Javier León Sandoval on 03/04/2017.
Francisco Javier León Sandoval
Note by Francisco Javier León Sandoval, updated more than 1 year ago
Francisco Javier León Sandoval
Created by Francisco Javier León Sandoval over 8 years ago
8925
0

Resource summary

Page 1

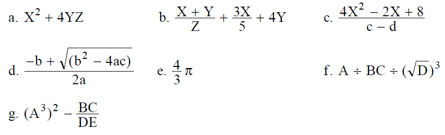
Expresiones algebraicas: Son un conjunto de símbolos, números o variables utilizados en matemáticas para representar relaciones aritméticas. El término algebraico es utilizado en matemáticas pero la computadora es incapaz de reconocer su simbología. Estas expresiones pueden ser Monomios, Binomios, Trinomios o Polinomios. Ejemplos:

Expresiones algorítmicas:Es un conjunto de símbolos, números o variables que representan una instrucción específica y computable para el computador. Las expresiones algorítmicas son utilizadas en los lenguajes de programación para especificar claramente cuál es el orden y el tipo de operación a realizar por el computador.Ejemplosa * a + b * b a^2 + b^2(a + b) * (a + b)b ^ 2 – 4 * a * c4 * x + 5 * y / 3 * z2 * 3.1416 * r ^ 33 + 6 ^ (1 / 2) / 9 mod 2OperadoresLos operadores especifican el tipo de cálculo que se desea realizar con los elementos de una fórmula. Existen cuatro tipos de operadores de cálculo: aritméticos, de comparación, de concatenación de texto y de referencia.Operadores aritméticos. Sirven para ejecutar las operaciones matemáticas básicas como suma, resta, multiplicación o división, combinar números y generar resultados numéricos.Operador aritméticoSignificadoEjemplo+ (signo más)Suma3+3– (signo menos)RestaNegación3–1–1* (asterisco)Multiplicación3*3/ (barra oblicua)División3/3% (signo de porcentaje)Porcentaje20%^ (acento circunflejo)Exponenciación3^2Operadores de comparación. Con ellos se pueden comparar dos valores. Al hacer dicha comparación el resultado es un valor lógico: VERDADERO o FALSO.Operador de comparaciónSignificadoEjemplo= (signo igual)Igual aA1=B1> (signo mayor que)Mayor queA1>B1< (signo menor que)Menor queA1<B1>= (signo mayor o igual que)Mayor o igual que A1>=B1<= (signo menor o igual que)Menor o igual que A1<=B1<> (signo distinto de)Distinto deA1<>B1Operador de concatenación de texto. Usado para para concatenar (unir) una o varias cadenas de texto con el fin de generar un solo elemento de texto.Operador de textoSignificadoEjemplo& ("y" comercial)Conecta o concatena dos valores para generar un valor de texto continuo "North"&"wind" produce "Northwind" Operadores de referencia. Para combinar rangos de celdas que son referencia para el calculo de fórmulas.Operador de referenciaSignificadoEjemplo: (dos puntos)Operador de rango, que genera una referencia a todas las celdas entre dos referencias, éstas incluidasB5:B15; (punto y coma)Operador de unión, que combina varias referencias en una solaSUMA(B5:B15;D5:D15)(espacio)Operador de intersección, que genera una referencia a las celdas comunes a dos referenciasB7:D7 C6:C8El cálculoLas fórmulas realizan sus cálculos en un orden específico. En las hojas de cálculo las fórmulas siempre comienzan por el signo igual (=). Tras el signo igual están los elementos que se van a calcular (operandos); por ejemplo, constantes o referencias a celdas. Éstos se encuentran separados por los operadores de cálculo. Las hojas de cálculo realizan las operaciones de las fórmulas de izquierda a derecha, según el orden específico de cada operador.Prioridad de operadores. Si se combinan varios operadores en una única fórmula, se ejecutarán las operaciones en el orden que se indica en la siguiente tabla. Si una fórmula contiene operadores con la misma prioridad (por ejemplo, si una fórmula contiene un operador de multiplicación y otro de división), Excel evaluarán los operadores de izquierda a derecha.OperadorDescripción: (dos puntos)(un solo espacio); (punto y coma)Operadores de referencia–Negación (como en –1)%Porcentaje^Exponenciación* y /Multiplicación y división+ y -Suma y resta&Conecta dos cadenas de texto (concatenación)=< ><=>=<>ComparaciónUso de paréntesis. Para cambiar prioridad, se escribirán entre paréntesis la parte de la fórmula que se calculará en primer lugar. Por ejemplo, la siguiente fórmula da un resultado de 11 porque se efectúa la multiplicación antes que la suma. La fórmula multiplica 2 por 3 y, a continuación, suma 5 al resultado.=5+2*3 Por el contrario, si se utilizan paréntesis para cambiar la sintaxis, se sumará 5 y 2 y, a continuación, se multiplicará el resultado por 3, con lo que se obtiene 21.=(5+2)*3¿Cómo convertir expresiones algebraicas a algorítmicas?Ya teniendo claro las definiciones anteriores del conocimiento básico de cada expresión algebraica y algorítmica, de los operadores aritméticos y la prioridad de operadores, se procede de la siguiente forma para convertir las expresiones algebraicas en algorítmicas para su uso en la hoja de cálculo.Pasos sugeridos para convertir una expresión algebraica a algorítmica o lineal. Identifica los símbolos usados en la expresión algebraica, para ubicar las formas lineales de los mismos. Se deben respetar los paréntesis originales de la expresión algebraica, los cuales deben aparecer en la expresión lineal, remplazando llaves y corchetes por paréntesis. Se deben identificar las operaciones agrupadas dentro de otras y se encierran en paréntesis para no alterar el resultado deseado. Se inicia con el cambio de expresiones contenidas en paréntesis. Se cambian las expresiones agrupadas, encerrándolas en paréntesis con el fin de no alterar los resultados. Teniendo en cuenta las prioridades de los operadores, un último paso será retirar los paréntesis innecesarios según las operaciones que se desean realizar o simplemente no agregarlos según sea el caso. Bibliografía:Libro de Manual de prácticas - Lógica de Programación

Show full summary Hide full summary

Similar

Examen Macros En Excel
Hugo Andres Truj
SISTEMAS DE ECUACIONES CON HOJAS DE CÁLCULO: ACTIVIDAD
Miguel Salamanca
Excel
Carlos Baron
Hoja de Cálculo Excel
Miguel Angel España
Funciones o Fórmulas en Excel
Esteban Quesada
Operaciones de cálculo en Excel
moni tds
Excel Intermedio conceptos e identificación de referencias.
David Rojas
UNIDAD III: ANÁLISIS DE DATOS EN EXCEL
meli_frezzkii
Uso de fórmulas en Excel.
Xochitl Salas
MAPA CONCEPTUAL FUNCIONES EN EXCEL
Montse Ramos Garcia
Test de evaluación de conocimientos básicos en Excel
Jorge Santiago Pat Castillo