VOLÚMENES DE SÓLIDOS DE REVOLUCIÓN

Description

CALCULO II Note on VOLÚMENES DE SÓLIDOS DE REVOLUCIÓN , created by Erika Carolina Chuncha Ashqui on 13/06/2017.
Erika Carolina Chuncha Ashqui
Note by Erika Carolina Chuncha Ashqui, updated more than 1 year ago
Erika Carolina Chuncha Ashqui
Created by Erika Carolina Chuncha Ashqui over 8 years ago
145
0

Resource summary

Page 1

VOLÚMENES DE SÓLIDOS DE REVOLUCIÓN

Un sólido de revolución es un cuerpo que puede obtenerse mediante una operación geométrica de rotación de una superficie plana alrededor de una recta que se contenida en su mismo plano. En principio, cualquier cuerpo con simetría axial o cilíndricas es un sólido de revolución.Se denomina sólido de revolución o volumen de revolución, al sólido obtenido al rotar una región del plano alrededor de una recta ubicada en el mismo, las cuales pueden o no cruzarse. Dicha recta se denomina eje de revolución.Sea f una función continua y positiva en el intervalo [a,b]. Si la región R indicada en la figura rota alrededor del eje X, ésta genera un sólido de revolución cuyo volumen tratamos de determinar.Al hacer girar dicha longitud de una curva alrededor de un eje, siempre engendra una circunferencia y por ende crea un volumen de revolución, este volumen es calculable aplicando el siguiente análisis: 1. Girando la franja indicada alrededor del eje x, manteniendo la base de la franja fija en el eje de giro, se crea un volumen en forma de una moneda, de donde se deduce que el volumen es igual al área del círculo multiplicado por el espesor.

2. Si se gira una franja horizontal alrededor del eje x tomando como base un radio Y, la franja se movilizará en su totalidad haciendo un recorrido de 2TT, formando un cilindro hueco cuyo volumen vendría dado por:

En forma similar, se puede deducir fórmulas cuando se trabaje con el otro eje. El sentido de la franja, horizontal o vertical para el análisis, dependerá de la facilidad que el planteamiento presente para la integración y solución del problema.

https://leidyholguin.files.wordpress.com/2010/09/solidosderevolucion.pdf

Page 2

Ejercicios

Ejemplo : Calcular el volumen que se engendra al girar el área limitada por x=0, x=4, lafunción y=x^2 , ubicada en el primer cuadrante: a) alrededor del eje x, b) alrededor del eje y.a) alrededor del eje x

b) alrededor del eje y

Page 3

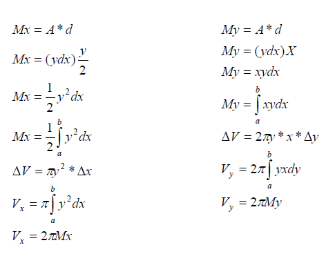
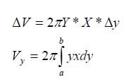
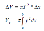
FORMULAS ENTRE MOMENTOS Y VOLÚMENES.

Con la finalidad de optimizar el tiempo de cálculo, se puede encontrar una relación defórmulas entre momentos y volúmenes:

Show full summary Hide full summary

Similar

Sin título
danlack