null
US
Sign In
Sign Up for Free
Sign Up
We have detected that Javascript is not enabled in your browser. The dynamic nature of our site means that Javascript must be enabled to function properly. Please read our
terms and conditions
for more information.
Next up
Copy and Edit
You need to log in to complete this action!
Register for Free
14823979
Suma y resta de polinomios
Description
Test en Suma y resta de polinomios, creado por Pahoran Arroyo en 28/08/2018.
No tags specified
matemáticas
primero
Quiz by
Pahoran Arroyo
, updated more than 1 year ago
More
Less
Created by
Pahoran Arroyo
about 7 years ago
20
0
0
Resource summary
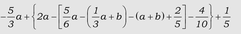
Question 1
Question
Elimina y reduce términos semejantes
Image:
53 Aa04 D7 37 Fd 48 B3 Af9 D 0 A9 B218860 Ec (binary/octet-stream)
Answer
7a-1
8a-1
2a-1
15a-5
Question 2
Question
Elimina y reduce los términos semejantes
Image:
Carga móvil (image/jpeg)
Answer
Image:
Carga móvil (image/jpeg)
Image:
Carga móvil (image/jpeg)
Image:
Carga móvil (image/jpeg)
Question 3
Question
Elimina y reduce los términos semejantes
Image:
Carga móvil (image/jpeg)
Answer
Image:
Carga móvil (image/jpeg)
Image:
Carga móvil (image/jpeg)
Image:
Carga móvil (image/jpeg)
Question 4
Question
Elimina y reduce los términos semejantes
Image:
Carga móvil (image/jpeg)
Answer
Image:
Carga móvil (image/jpeg)
Image:
Carga móvil (image/jpeg)
Image:
Carga móvil (image/jpeg)
Question 5
Question
Elimina y reduce los términos semejantes
Image:
Carga móvil (image/jpeg)
Answer
Image:
Carga móvil (image/jpeg)
Image:
Carga móvil (image/jpeg)
Image:
Carga móvil (image/jpeg)
Question 6
Question
Elimina y reduce los términos semejantes
Image:
Carga móvil (image/jpeg)
Answer
Image:
Carga móvil (image/jpeg)
Image:
Carga móvil (image/jpeg)
Image:
Carga móvil (image/jpeg)
Question 7
Question
Elimina y reduce los términos semejantes
Image:
Carga móvil (image/jpeg)
Answer
x(-xy-2m+6n+8x+52)
x(-xy-2m+6n+8x-52)
x(-xy-2n+8x-52)
Question 8
Question
Elimina y reduce los términos semejantes
Image:
Carga móvil (image/jpeg)
Answer
Image:
Carga móvil (image/jpeg)
Image:
Carga móvil (image/jpeg)
Image:
Carga móvil (image/jpeg)
Show full summary
Hide full summary
Want to create your own
Quizzes
for
free
with GoConqr?
Learn more
.
Similar
Ecuaciones (Primer Grado)
Diego Santos
Fórmulas Geométricas (Perímetros)
Diego Santos
7 Técnicas para Aprender Matemáticas
maya velasquez
Matemáticasen la VidaCotidiana
Diego Santos
FRACCIONES...
JL Cadenas
FRACCIONES...
Ulises Yo
Factorización de expresiones algebraicas_1
Juan Beltran
CÁLCULOS con [ 3 · 5 · 7 ]
JL Cadenas
Preguntas del Pensamiento Matemático
Diego Santos
Factorización de Expresiones Algebráicas
maya velasquez
Matrices y Determinantes
Diego Santos
Browse Library