null
US
Sign In
Sign Up for Free
Sign Up
We have detected that Javascript is not enabled in your browser. The dynamic nature of our site means that Javascript must be enabled to function properly. Please read our
terms and conditions
for more information.
Next up
Copy and Edit
You need to log in to complete this action!
Register for Free
1912041
Leyes de Kirchhoff (Voltaje y corriente)
GoConqr Review
Pon a prueba todo lo que sabes sobre las leyes de Kirchhoff, el voltaje y la corriente, con este genial test. Al finalizar los ejercicios recuerda corroborar tus respuestas.
No tags specified
electrónica
kirchhoff
leyes
tecnologia
secundaria
leyes de kirchhoff ejercicios resueltos
ejercicios leyes de kirchhoff
leyes de kirchhoff formulas
Quiz by
dianamardp
, updated more than 1 year ago
More
Less
Created by
dianamardp
almost 11 years ago
5889
21
1
Resource summary
Question 1
Question
Cuál del las tres leyes es utilizada para un circuito con conexión serie?
Answer
Ley de Ohm
Ley de Corrientes de Kirchhoff
Ley de voltajes de Kirchhoff
Question 2
Question
Leyes que son utilizadas en la obtención de la intensidad eléctrica y la diferencia de potencial en un circuito eléctrico
Answer
Leyes de Kirchhoff
Ley de Ohm
Ley de Watt
Question 3
Question
Dice que los voltajes aplicados en cualquier circuito simple suman cero
Answer
Ley de Corriente de Kirchhoff
Ley de Voltajes de Kirchhoff
Ley de Watt
Question 4
Question
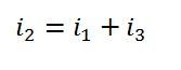
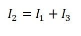
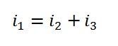
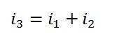
Si en un nodo de un circuito eléctrico, las corrientes i1 e i3 son salientes y la corriente i2 es entrante la ecuación del nodo es
Answer
Image:
e18212e5-58ba-49da-9d2b-de35d79c331d (image/jpg)
Image:
c6aaa6c9-9e4e-4ef6-bd05-18ae165bd4cd (image/jpg)
Image:
6e2c9ac5-bb06-4300-85d2-ec15f48ea7d4 (image/jpg)
Question 5
Question
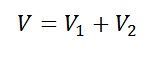
Al aplicar la Ley de Voltaje de Kirchhoff de la figura se obtiene la siguiente ecuación
Image:
f39099cb-9dd3-46b7-aaa5-4ad99f0877b1 (image/jpg)
Answer
Image:
96621fcb-9a62-4676-bb79-68d65b872831 (image/jpg)
Image:
ebbabcff-7e7a-4c3d-b584-97b549a0f8ba (image/jpg)
Image:
e70af927-0a88-4b9f-a62f-6b6a2ca4449e (image/jpg)
Question 6
Question
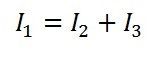
Dice que la suma que corrientes que entran a un nodo es igual a la suma de las corrientes que salen
Answer
Ley de Voltajes de Kirchhoff
Ley de Corrientes de Kirchhoff
Ley de Ohm
Question 7
Question
La polaridad de una caída de voltaje indica el sentido de flujo de corriente
Answer
True
False
Question 8
Question
Teniendo en cuenta los datos de la figura, hallar los valores de las corrientes faltantes (I1, I2, I3)
Image:
4045f05c-d08f-4711-9fe4-2358aef5ce89 (image/jpg)
Answer
Image:
48dd1e3e-bc3b-4c9b-b7f7-22c8cd80c17e (image/jpg)
Image:
e58d8925-fe26-4ab1-a05f-2187ae3c7b27 (image/jpg)
Image:
a48d6ccb-aa00-4897-bbaa-89de098e05da (image/jpg)
Question 9
Question
Teniendo en cuenta los valores de los voltajes de la siguiente figura, se puede concluir que los voltajes en R2, R3 y R4 son:
Image:
b0a6fb09-88f4-4634-8608-3a9a5aac2cd0 (image/jpg)
Answer
Image:
49eb7c9a-0352-4118-bdb3-4575f8b8942b (image/jpg)
Image:
6042aec3-4737-4468-80d8-6e311c78869e (image/jpg)
Image:
2a47a842-f0ca-41aa-9c77-a444fa63ce5d (image/jpg)
Question 10
Question
Teniendo en cuenta la figura, que ecuación representa la Ley de Corrientes de Kirchhoff en el nodo A
Image:
9167cbe7-c55b-4637-bf6d-4440770acf12 (image/jpg)
Answer
Image:
66a38691-7296-4dea-ab01-3c60b06efdc1 (image/jpg)
Image:
121e1f17-81d1-489f-a7c8-7afd336602ab (image/jpg)
Image:
28ee6a2b-41ab-4474-a92c-4db910b156c5 (image/jpg)
Show full summary
Hide full summary
Want to create your own
Quizzes
for
free
with GoConqr?
Learn more
.
Similar
tema 6 : ELECTRÓNICA
alejandrauscola
CUADRO SINOPTICO
gnatalia_1296
EXAMEN DE MATEMÁTICAS 1ER GRADO SECUNDARIA 5to Bim
FELIPE SOLTERO
1. Electricidad y carga eléctrica
ro sal
Tema 2: Revoluciones liberales y movimientos nacionalistas en Europa
Joaquín Ruiz Abellán
FRACCIONES...
JL Cadenas
Partes de la célula animal y vegetal
Cami Puaque
Ecología de los Seres Vivos
Cami Puaque
Tema 2: Constitución Esañola (I)
Francisco Afonso
Juego de 10 Preguntas de Ciencia
maya velasquez
Glosario propiedades de la materia
Cami Puaque
Browse Library