ÁREA A : SIMULACRO UNMSM

Description

Simulacro para las carreras referidas a Ciencias de la Salud Fuerza gente!
Victor Moquillaza
Quiz by Victor Moquillaza, updated more than 1 year ago
Victor Moquillaza
Created by Victor Moquillaza over 10 years ago
803
5

Resource summary

Question 1

Question
RAZONAMIENTO VERBAL SERIES VERBALES 1. Abundante, pletórico, copioso,
Answer
  • Uberrimo
  • Sincero
  • Retórico
  • Nigérrimo
  • Intermitente

Question 2

Question
2. Seleccione el vocablo que no pertenece a la serie verbal
Answer
  • Intendente
  • Centinela
  • Custodio
  • Vigía
  • Guardián

Question 3

Question
ELIMINACIÓN DE ORACIONES 3. (I) Cuando hay crisis económica se suele discriminar a los extranjeros. (II) En la mayoría de países hay discriminación contra los extranjeros y minorías religiosas. (III) Las prácticas discriminatorias tienen, muchas veces, sustento en el propio ordenamiento legal del país. (IV) La discriminación xenófoba es habitual en tiempos de recesión y en casos de inminente guerra. (V) Generalmente, la discriminación apunta a diferencias de religión, raza, sexo y estatus económico.
Answer
  • I
  • II
  • III
  • IV
  • V

Question 4

Question
ELIMINACIÓN DE ORACIONES 4. (I) El realismo científico es una postura filosófica contemporánea que presenta diversas variantes. (II) El aserto fundamental del realismo científico es la idea de la existencia de un mundo exterior. (III) El realismo científico no cuenta con muchos filósofos que lo defiendan ya que la mayoría de los pensadores son antirealistas. (IV) El realismo científico de las teorías aborda la cuestión de la validez de las teorías científicas. (V) El realismo científico de las entidades aborda la cuestión de la existencia de lentes postulados por las teorías.
Answer
  • I
  • II
  • III
  • IV
  • V

Question 5

Question
ELIMINACIÓN DE ORACIONES 5. (I) El faraón egipcio portaba un cetro llamado sekhem como parte de su parafernalia real. (II) El nemes que portaba la cobra sagrada era colocado en la cabeza del faraón. (III) La barba falsa como parte de los ropajes del faraón era usada incluso cuando se trataba de una mujer. (IV) La piel de leopardo era símbolo distintivo de los altos sacerdotes del dios Amón. (V) Sendos lingotes de oro ataviaban las muñecas y el brazo de los faraones.
Answer
  • I
  • II
  • III
  • IV
  • V

Question 6

Question
TEXTO 6. Pues la verdad es lo que voy a decir, atenienses. En el puesto en el que uno se coloca porque considera que es el mejor, o en el que es colocado por un superior, allí deben según creo, permanecer y arriesgarse sin tener en cuenta ni la muerte ni cosa alguna, más que la deshonra. En efecto, atenienses, hubiese obrado yo dignamente, si , después de haber permanecido como cualquier otro en el puesto que me ordenaron los generales que pusisteis al frente mío en Potidea, en Antípolis y en Delión, y haber corrido el riesgo de morir, ahora que la divinidad me ordena, según he creido y aceptado, que debo vivir filosofando y examinándome a mí mismo y a los demás, abandonara mi puesto por temor a la muerte o a cualquier otra cosa. Sería indigno y realmente alguien podría con justicia traerme ante el tribunal diciendo que no creo que haya dioses, por desobedecer al oráculo, temer a la muerte y creerme sabio sin serlo. En efecto, atenienses, temer la muerte no es otra cosa que creer ser sabio sin serlo, pues es creer que uno sabe lo que no sabe. Pues nadie conoce la muerte, ni siquiera si es, precisamente, el mayor de todos los bienes del hombre, pero le temen como si supiesen con certeza que es el peor de los males. Sin embargo ¿Cómo no va a ser la más reprochable la de creer saber lo que no se sabe? Yo, atenienses, también quizá me diferencio en esto de la mayor parte de los hombres, y, por consiguiente, si dijera que soy más sabio que alguien en algo, sería en esto, en que no sabiendo suficientemente sobre las cosas de Hades, también reconozco no saberlo. Pero si sé que es malo y vergonzoso cometer injusticia y desobedecer al que es mejor, sea dios u hombre. En comparación con los males que sé son males, jamás temeré ni evitaré lo que no sé si es incluso un bien. -------------------------------------------------- ¿Cuál es el tema central del texto?
Answer
  • La indiferencia del filósofo frente a las injusticias de la vida
  • El acto execrable de injusticia que sufre el filósofo
  • La actitud del sabio frente a la muerte y el deshonor
  • La aceptación estoica de la muerte como parte de la vida
  • La iniquidad como asunto del debate filosófico antiguo.

Question 7

Question
TEXTO 7. Pues la verdad es lo que voy a decir, atenienses. En el puesto en el que uno se coloca porque considera que es el mejor, o en el que es colocado por un superior, allí deben según creo, permanecer y arriesgarse sin tener en cuenta ni la muerte ni cosa alguna, más que la deshonra. En efecto, atenienses, hubiese obrado yo dignamente, si , después de haber permanecido como cualquier otro en el puesto que me ordenaron los generales que pusisteis al frente mío en Potidea, en Antípolis y en Delión, y haber corrido el riesgo de morir, ahora que la divinidad me ordena, según he creido y aceptado, que debo vivir filosofando y examinándome a mí mismo y a los demás, abandonara mi puesto por temor a la muerte o a cualquier otra cosa. Sería indigno y realmente alguien podría con justicia traerme ante el tribunal diciendo que no creo que haya dioses, por desobedecer al oráculo, temer a la muerte y creerme sabio sin serlo. En efecto, atenienses, temer la muerte no es otra cosa que creer ser sabio sin serlo, pues es creer que uno sabe lo que no sabe. Pues nadie conoce la muerte, ni siquiera si es, precisamente, el mayor de todos los bienes del hombre, pero le temen como si supiesen con certeza que es el peor de los males. Sin embargo ¿Cómo no va a ser la más reprochable la de creer saber lo que no se sabe? Yo, atenienses, también quizá me diferencio en esto de la mayor parte de los hombres, y, por consiguiente, si dijera que soy más sabio que alguien en algo, sería en esto, en que no sabiendo suficientemente sobre las cosas de Hades, también reconozco no saberlo. Pero si sé que es malo y vergonzoso cometer injusticia y desobedecer al que es mejor, sea dios u hombre. En comparación con los males que sé son males, jamás temeré ni evitaré lo que no sé si es incluso un bien. ------------------------------------------------- El término VERGONZOSO connota
Answer
  • Descomedimiento
  • Menoscabo
  • Impudicia
  • Indecencia
  • Deshonor

Question 8

Question
TEXTO 8. Pues la verdad es lo que voy a decir, atenienses. En el puesto en el que uno se coloca porque considera que es el mejor, o en el que es colocado por un superior, allí deben según creo, permanecer y arriesgarse sin tener en cuenta ni la muerte ni cosa alguna, más que la deshonra. En efecto, atenienses, hubiese obrado yo dignamente, si , después de haber permanecido como cualquier otro en el puesto que me ordenaron los generales que pusisteis al frente mío en Potidea, en Antípolis y en Delión, y haber corrido el riesgo de morir, ahora que la divinidad me ordena, según he creido y aceptado, que debo vivir filosofando y examinándome a mí mismo y a los demás, abandonara mi puesto por temor a la muerte o a cualquier otra cosa. Sería indigno y realmente alguien podría con justicia traerme ante el tribunal diciendo que no creo que haya dioses, por desobedecer al oráculo, temer a la muerte y creerme sabio sin serlo. En efecto, atenienses, temer la muerte no es otra cosa que creer ser sabio sin serlo, pues es creer que uno sabe lo que no sabe. Pues nadie conoce la muerte, ni siquiera si es, precisamente, el mayor de todos los bienes del hombre, pero le temen como si supiesen con certeza que es el peor de los males. Sin embargo ¿Cómo no va a ser la más reprochable la de creer saber lo que no se sabe? Yo, atenienses, también quizá me diferencio en esto de la mayor parte de los hombres, y, por consiguiente, si dijera que soy más sabio que alguien en algo, sería en esto, en que no sabiendo suficientemente sobre las cosas de Hades, también reconozco no saberlo. Pero si sé que es malo y vergonzoso cometer injusticia y desobedecer al que es mejor, sea dios u hombre. En comparación con los males que sé son males, jamás temeré ni evitaré lo que no sé si es incluso un bien. ------------------------------------------------------------- Se infiere del texto que sabio es aquel que
Answer
  • Conoce lo que trasciende el saber humano
  • Admite el conocimiento de su ignorancia
  • Acepta la existencia de un destino divino
  • Decide arriesgarse frente a la muerte
  • Examina escrupulosamente a los demás

Question 9

Question
TEXTO 9. Pues la verdad es lo que voy a decir, atenienses. En el puesto en el que uno se coloca porque considera que es el mejor, o en el que es colocado por un superior, allí deben según creo, permanecer y arriesgarse sin tener en cuenta ni la muerte ni cosa alguna, más que la deshonra. En efecto, atenienses, hubiese obrado yo dignamente, si , después de haber permanecido como cualquier otro en el puesto que me ordenaron los generales que pusisteis al frente mío en Potidea, en Antípolis y en Delión, y haber corrido el riesgo de morir, ahora que la divinidad me ordena, según he creido y aceptado, que debo vivir filosofando y examinándome a mí mismo y a los demás, abandonara mi puesto por temor a la muerte o a cualquier otra cosa. Sería indigno y realmente alguien podría con justicia traerme ante el tribunal diciendo que no creo que haya dioses, por desobedecer al oráculo, temer a la muerte y creerme sabio sin serlo. En efecto, atenienses, temer la muerte no es otra cosa que creer ser sabio sin serlo, pues es creer que uno sabe lo que no sabe. Pues nadie conoce la muerte, ni siquiera si es, precisamente, el mayor de todos los bienes del hombre, pero le temen como si supiesen con certeza que es el peor de los males. Sin embargo ¿Cómo no va a ser la más reprochable la de creer saber lo que no se sabe? Yo, atenienses, también quizá me diferencio en esto de la mayor parte de los hombres, y, por consiguiente, si dijera que soy más sabio que alguien en algo, sería en esto, en que no sabiendo suficientemente sobre las cosas de Hades, también reconozco no saberlo. Pero si sé que es malo y vergonzoso cometer injusticia y desobedecer al que es mejor, sea dios u hombre. En comparación con los males que sé son males, jamás temeré ni evitaré lo que no sé si es incluso un bien. ------------------------------------------------------------------------------- Es incompatible con la posición del filósofo admitir que
Answer
  • Sería un acto racional procesar a alguien que desoiga al oráculo
  • La deshonra debe preocuparnos más que cualquier peligro
  • Se debe vivir filosofando y examinándose uno mismo
  • La naturaleza de la muerte es algo que no se sabe con certeza
  • Abandonó su labor filosófica debido a un temor irracional

Question 10

Question
TEXTO 10. Pues la verdad es lo que voy a decir, atenienses. En el puesto en el que uno se coloca porque considera que es el mejor, o en el que es colocado por un superior, allí deben según creo, permanecer y arriesgarse sin tener en cuenta ni la muerte ni cosa alguna, más que la deshonra. En efecto, atenienses, hubiese obrado yo dignamente, si , después de haber permanecido como cualquier otro en el puesto que me ordenaron los generales que pusisteis al frente mío en Potidea, en Antípolis y en Delión, y haber corrido el riesgo de morir, ahora que la divinidad me ordena, según he creido y aceptado, que debo vivir filosofando y examinándome a mí mismo y a los demás, abandonara mi puesto por temor a la muerte o a cualquier otra cosa. Sería indigno y realmente alguien podría con justicia traerme ante el tribunal diciendo que no creo que haya dioses, por desobedecer al oráculo, temer a la muerte y creerme sabio sin serlo. En efecto, atenienses, temer la muerte no es otra cosa que creer ser sabio sin serlo, pues es creer que uno sabe lo que no sabe. Pues nadie conoce la muerte, ni siquiera si es, precisamente, el mayor de todos los bienes del hombre, pero le temen como si supiesen con certeza que es el peor de los males. Sin embargo ¿Cómo no va a ser la más reprochable la de creer saber lo que no se sabe? Yo, atenienses, también quizá me diferencio en esto de la mayor parte de los hombres, y, por consiguiente, si dijera que soy más sabio que alguien en algo, sería en esto, en que no sabiendo suficientemente sobre las cosas de Hades, también reconozco no saberlo. Pero si sé que es malo y vergonzoso cometer injusticia y desobedecer al que es mejor, sea dios u hombre. En comparación con los males que sé son males, jamás temeré ni evitaré lo que no sé si es incluso un bien. ----------------------------------------------------------------- Si la muerte hubiese sido algo claro y distinguible para el intelecto humano,
Answer
  • El filósofo temería o anhelaría la misma
  • La ignorancia del filósofo se vería confirmada
  • Se la asumiría con la mayor indiferencia
  • No sería ni un bien ni un mal para el filósofo
  • La verdad convencional se vería corroborada

Question 11

Question
RAZONAMIENTO MATEMÁTICO 11. Habían 32 pingüinos delante de un pingüino, 32 pingüinos detrás de un pingüino, y uno en medio. Si los pingüinos están formados en línea recta, ¿Cuál es el menor número de pingüinos que hay en la formación?
Answer
  • 40
  • 43
  • 33
  • 23
  • 41

Question 12

Question
RM 12. Si se sabe que las profesiones de Luis, Julio, Joel y Alex son: matemático, ingeniero, químico y odontólogo; no necesariamente en ese orden. Si se sabe que: - Luis está casado con la hermana del ingeniero - Julio y el odontólogo van a trabajar en la movilidad del ingeniero - Los solteros, Joel y el matemático son hijos únicos - Julio y Alex son amigos del químico el cual está casado - Joel es cuñado de Luis ¿Quién es el ingeniero y quién es el odontólogo, respectivamente?
Answer
  • Joel , Alex
  • Luis, Julio
  • Joel, Luis
  • Alex, Joel
  • Luis, Alex

Question 13

Question
RM 13. José encontró un calendario de un cierto año, y observó que un cierto mes tenía la máxima cantidad de sábados, domingos y lunes. ¿Qué día de la semana fue el 17 de dicho mes?
Answer
  • Lunes
  • Martes
  • Miércoles
  • Jueves
  • Sábado

Question 14

Question
RM 14. En una competencia Carmen obtuvo 2 puntos menos que María, Emma 3 puntos menos que Carmen y Nancy 3 puntos más que Vilma. Si Vilma obtuvo 4 puntos más que María. ¿Cuántos puntos más obtuvo Vilma que Emma?
Answer
  • 9
  • 5
  • 4
  • 12
  • 7

Question 15

Question
RM 15. Los promedios de las edades de 30 varones adultos, 50 mujeres adultas y 20 niños son 20,18 y 10 años respectivamente. Si disminuimos 3 años a cada varón adulto, aumentamos 3 años a cada mujer adulta y disminuimos 3 a cada niño. ¿Cuál sería el promedio de las edades de todas las personas?
Answer
  • 18 años
  • 15 años
  • 19 años
  • 17 años
  • 21 años

Question 16

Question
16. Una persona recorrió 680 Km en 10 horas; una parte del recorrido lo realizó en taxi y la otra parte en microbús, cuyas velocidades fueron de 80 Km/h y de 60 Km/h, respectivamente. ¿Cuántos kilómetros recorrió en microbús?
Answer
  • 300
  • 320
  • 400
  • 280
  • 360

Question 17

Question
17. Sesenta y tres obreros se comprometen en realizar una obra en 18 días. Si después de cuatro días de trabajo se contratan x obreros, con lo cual la obra se termina cinco días antes de lo previsto, halle el valor de x.
Answer
  • 35
  • 40
  • 45
  • 50
  • 30

Question 18

Question
18. Halle el valor de S =1 + (3/4) + (1/2) + (5/16) + (3/16) + (7/64) + ….
Answer
  • 2
  • 7/2
  • 3
  • 3/2
  • 9

Question 19

Question
En la figura, el área de la región rectangular ABCD es 60 m2. Si M y N son puntos medios, halle el área de la región sombreada.
Answer
  • 16 m2
  • 10 m2
  • 15 m2
  • 12 m2
  • 13 m2

Question 20

Question
20. Sea t1, t2, t3, t4…. Una progresión aritmética. Si t1 + t3 + t5 = 36 y t6 = 18, hallar la suma de los 6 primeros términos de la progresión aritmética.
Answer
  • 68
  • 78
  • 66
  • 62
  • 70

Question 21

Question
ARITMÉTICA 21. La suma, diferencia y el producto de la media aritmética y media geométrica de dos números enteros positivos están en la misma relación que los números 9, 1 y 40. ¿Cuál es el mayor de los números?
Answer
  • 9
  • 16
  • 10
  • 18
  • 12

Question 22

Question
22. Dada la sucesión 3; 10; 17; 24… ¿Cuántos términos son de tres cifras?
Answer
  • 129
  • 130
  • 131
  • 132
  • 133

Question 23

Answer
  • 8
  • 4
  • 10
  • 2
  • 6

Question 24

Question
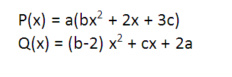
24. Sean los polinomios idénticos donde a, b y c son diferentes de cero, halle el valor de T = a . b .c
Answer
  • 5
  • 1/3
  • 3
  • 2/3
  • 7/3

Question 25

Question
GEOGRAFÍA 25. En la figura, 2AN = 5NC y AP = 15m. Halle CB
Answer
  • 16 m
  • 13 m
  • 18 m
  • 14 m
  • 15 m

Question 26

Question
26. Un cuadrilátero ABCD está inscrito en una circunferencia de diámetro AD. Si AB = BC = 6m y AD = 18m, halle CD.
Answer
  • 15 m
  • 10 m
  • 13 m
  • 14 m
  • 12 m

Question 27

Question
TRIGONOMETRÍA 27. Simplifique la expresión
Answer
  • Sen5
  • Ctg5
  • -Tg5
  • -Cos5
  • 2Tg37

Question 28

Question
LENGUAJE 28. Señale la opción en la que hay más consonantes bilabiales
Answer
  • Trajo la pomada anoche
  • Raúl compró una casa
  • Las botas son pequeñas
  • Traeré la lámpara nueva
  • La blusa está de moda

Question 29

Question
29. Señale la alternativa en la que aparecen más determinantes
Answer
  • Algunos llegaron muy temprano a la fiesta
  • Esos dos obreros ganan mil nuevos soles
  • Sus amigos trajeron este regalo para Pablo
  • Varios alumnos participaron en el concurso
  • Aquello no fue analizado en el laboratorio

Question 30

Question
30. Marque la opción en la que se presenta oración desiderativa
Answer
  • Quisiera comprar un automóvil
  • Tal vez viaje a Buenos Aires
  • Quizá vaya con ellos a Huacho
  • Dime si te otorgaron el préstamo
  • Posiblemente retorne el sábado

Question 31

Question
31. Identifique la opción en la que hay uso correcto de las mayúsculas.
Answer
  • Los profesores dijeron: ¨todos deben asistir¨
  • Pronto vamos a celebrar El Día del libro.
  • La familia Palacios visitó el nevado Pastoruri.
  • El ingeniero Fernando la Rosa es muy gentil.
  • El Mar Peruano presenta gran Biodiversidad.

Question 32

Question
LITERATURA 32. Marque la alternativa que complete correctamente el siguiente enunciado sobre la obra de Abraham Valdelomar. ¨El autor presenta con frecuencia dentro de sus cuentos y sus poemas imágenes…¨
Answer
  • Familiares de su infancia rural
  • Costumbristas de la costa norte
  • Exóticas, referidas a la edad media
  • Patrióticas y de gran heroísmo
  • Vanguardistas y postmodernistas

Question 33

Question
PSICOLOGÍA 33. Según Piaget, plantear situaciones en términos hipotéticos, corresponde al pensamiento
Answer
  • Lógico abstracto
  • Lógico concreto
  • Preoperacional
  • Sensoriomotor
  • Operacional

Question 34

Question
EDUCACIÓN CÍVICA 34. Órgano de control de la Constitución que está facultado para declarar la inconstitucionalidad de una norma es
Answer
  • El tribunal Constitucional
  • La Defensoría del Pueblo
  • El Jurado Nacional de Elecciones
  • La Contraloría General de la República
  • El Ministerio Público

Question 35

Question
HISTORIA DEL PERÚ 35. En la cosmovisión andina el hanan pacha era el mundo
Answer
  • Subterráneo, residencia de los muertos.
  • Sagrado donde se originaban los ayllus.
  • De unión cosmogónico entre dos mundos.
  • De arriba, morada principal de los dioses.
  • De aquí, vivienda de todos los hombres.

Question 36

Question
HISTORIA UNIVERSAL 36. Es considerada una de las causas principalesde la Segunda Guerra Mundial
Answer
  • El temor de occidente a la expansión de la URSS.
  • El nacionalismo eslavo en los Balcanes.
  • El asesinato del archiduque Francisco Fernando.
  • El expansionismo alemán.
  • El antisemitismo nazi.

Question 37

Question
GEOGRAFÍA 37. El bosque ecuatorial, bioma localizado en las regiones próximas al ecuador, posee un clima favorable a la producción de
Answer
  • Pinos, abetos y brezos.
  • Cactus, palera, nopal y gramíneas.
  • Caracolillos, espiguilla y gageas.
  • Robles, nogales y hayas.
  • Caoba, bambú, helechos y orquídeas.

Question 38

Question
ECONOMÍA 38. El trabajo y el capital son considerados como factores
Answer
  • Originario y derivado
  • Originario y originario
  • Derivado y complementario
  • Originario y complementario
  • Derivado y derivado

Question 39

Question
FILOSOFÍA 39. Que existen dos mundos, uno sensible y otro intangible es lo que sostiene
Answer
  • Aristóteles
  • Protágoras
  • Sócrates
  • Epicuro
  • Platón

Question 40

Question
FÍSICA 40. Un móvil tarda 15 s en recorrer 225 m. Si sale del reposo con movimiento uniformemente acelerado, ¿cuál es su aceleración?
Answer
  • 2 m/s2
  • 1 m/s2
  • 2.5 m/s2
  • 1.5 m/s2
  • 3 m/s2

Question 41

Question
41. Calcule la magnitud de la fuerza de contacto que experimentan los bloques, si no existe rozamiento en el piso.
Answer
  • 40 N
  • 35 N
  • 60 N
  • 20 N
  • 46 N

Question 42

Question
42. Un conductor grueso y rectilíneo de resistencia R es cortado longitudinalmente en n partes iguales. Si estas partes se conectan en serie. ¿A qué es igual la resistencia equivalente de la nueva conexión?
Answer
  • R
  • nR
  • R/n
  • (n al cuadrado) R
  • R / (n al cuadrado)

Question 43

Question
QUÍMICA 43. En la naturaleza, las mezclas pueden clasificarse como homogéneas o heterogéneas. Indique la secuencia de verdad (V) o falsedad (F) para una mezcla homogénea. ( ) Presenta una sola fase ( ) Es conocida como solución ( ) Sus componentes se pueden distinguir de otros
Answer
  • VFV
  • VVF
  • VFF
  • FFV
  • VVV

Question 44

Question
44. Un elemento E en su estado basal tiene a su último electrón con los siguientes números cuánticos (3,1,0,-1/2). Marque la respuesta correcta sobre este elemento.
Answer
  • Es un elemento representativo que pertenece al grupo VA
  • Ganando 1e la configuración electrónica del ión termina en 3s2 3p6
  • En su periodo presenta el más alto valor de radio
  • Su energía de ionización es menor que la del Na(11)
  • Pertenece a la misma familia que el N(7)

Question 45

Question
45. Un frasco tiene un volumen de 1067.3 mL pesa 134.6g, si se llena con un gas desconocido a 735 mmHg y 31 grados C su peso es de 137,46g. Determine el peso molecular del gas.
Answer
  • 79.7
  • 78.6
  • 87.5
  • 97.7
  • 72.5

Question 46

Question
BIOLOGÍA 46. El área auditiva del cerebro se encuentra en el lóbulo
Answer
  • Frontal
  • Parietal
  • Temporal
  • De Rolando
  • Occipital

Question 47

Question
47. Dominio de la biología que estudia las etapas previas al estado fetal
Answer
  • Embriología
  • Paleontología
  • Bioquímica
  • Virología
  • Histología

Question 48

Question
48. Una de las principales características de las células procariotas es que
Answer
  • Carecen de carioteca
  • Poseen ribosomas grandes
  • Presentan mitocondria
  • Carecen de centriolos
  • No presentan cloroplastos

Question 49

Question
49. En la dominancia incompleta
Answer
  • La F1 híbrida presenta el fenotipo del alelo recesivo
  • La proporción fenotípica y genotípica es idéntica en la F2
  • La F1 de las flores de dogo es blanca
  • Toda la F2 presenta genotipo intermedio
  • Hay un gen dominante

Question 50

Question
50. Parques Nacionales representativos de las áreas naturales protegidas por el Estado
Answer
  • Manu y Rio Abiseo
  • Cutervo y Paracas
  • Paracas y Lanchay
  • Calipuy y Tingo María
  • Manglares de tumbes y Paracas
Show full summary Hide full summary

Similar

Prueba de lectura
Deisy Medina
Prueba Matematicas
Deisy Medina
Investigación
silvanoperazaiti
PRINCIPIOS ETICOS UNIVERSALES
andonyjosi20
VENTAJAS Y DESVENTAJAS DE UNA BASE DE DATOS RELACIONAL
Patricia Cualchi