null
US
Sign In
Sign Up for Free
Sign Up
We have detected that Javascript is not enabled in your browser. The dynamic nature of our site means that Javascript must be enabled to function properly. Please read our
terms and conditions
for more information.
Next up
Copy and Edit
You need to log in to complete this action!
Register for Free
1955299
prueba 1
Description
Pruebas para presentar exámenes de admision
No tags specified
razonamiento matemático
tercero
Quiz by
Oscar Otero Portillo
, updated more than 1 year ago
More
Less
Created by
Oscar Otero Portillo
over 10 years ago
6
0
0
Resource summary
Question 1
Question
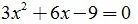
Determina la solución a la ecuación:
Image:
ae7b1c51-51df-4854-b896-6e6a3fd8b2d1 (image/jpg)
Answer
- 4
-3
3
no tiene solución en lo números reales
-1
Show full summary
Hide full summary
Want to create your own
Quizzes
for
free
with GoConqr?
Learn more
.
Similar
Método del Cangrejo
iepramoncastilla
ESCUELA AXIOLOGICA
a.kas94
Test 1 - Razonamiento
Karen Ivonne Anton Dioses
Aplicaciones de la derivada
wmuniz
Maderas
hector.lammoglia
Prueba Dicpac6
Dicpac Capa
Test 1
proyectos1273
Documento de Prueba
enricbolbu
Viaje a Venecia
Cris Velz
Nutrientes
Javier Navares
Prueba 1
Isaac Jurado Mor
Browse Library