null
US
Sign In
Sign Up for Free
Sign Up
We have detected that Javascript is not enabled in your browser. The dynamic nature of our site means that Javascript must be enabled to function properly. Please read our
terms and conditions
for more information.
Next up
Copy and Edit
You need to log in to complete this action!
Register for Free
21880336
ECUACIONES CUADRÁTICAS
Description
Este test hace prueba de tus conocimientos con respecto a un tema de la trigonometría llamada ecuaciones cuadráticas, un tema chevere de trabajar y de aprender.
No tags specified
matemáticas
ecuaciones
trigonometría
terminos
matemáticas - trigonometría
Quiz by
Miguel Jiménez González
, updated more than 1 year ago
More
Less
Created by
Miguel Jiménez González
over 5 years ago
20
0
0
Resource summary
Question 1
Question
¿Que es una Ecuación Cuadrática?
Answer
Es una igualdad polinómica de segundo grado.
Es un monomio.
Es una igualdad polinómica de tercer grado.
Es un trinomio cuadrado perfecto.
Question 2
Question
¿Cómo se expresa una Ecuación Cuadrática?
Answer
ax2+bx+c=0
ax+bx=8
bx+c=0
Question 3
Question
Es un ejemplo de ecuación cuadrática: 9 x2 + x – 1 = 0
Answer
True
False
Question 4
Question
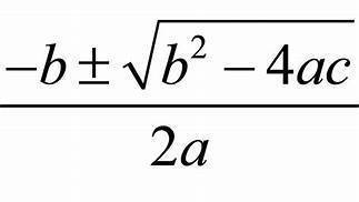
¿Qué método de resolución es?
Image:
Th?Id=Oip (image/jpeg)
Answer
Completando el cuadrado
Formula cuadrática
Factorización
Ninguna de las anteriores
Question 5
Question
Existen métodos de resolución, son:
Answer
factorización, formula cuadrática y completando el cuadrado
Multiplicación y División
Resta y suma
Todas las anteriores
Show full summary
Hide full summary
Want to create your own
Quizzes
for
free
with GoConqr?
Learn more
.
Similar
Ecuaciones (Primer Grado)
Diego Santos
Derivadas
erendira.aviles
CÁLCULOS con [ 3 · 5 · 7 ]
JL Cadenas
Preguntas del Pensamiento Matemático
Diego Santos
Factorización de Expresiones Algebráicas
maya velasquez
Matrices y Determinantes
Diego Santos
Ensayo PSU Matemáticas
Diego Santos
Integrales Indefinidas
Rupert012
El número pi
angel tamayo
METODOS PARA RESOLVER ECUACIONES SIMULTANEAS
José Juan Luna Ortega
EL RINCÓN DE MATEMÁTICAS
dolorstodoli
Browse Library