null
US
Sign In
Sign Up for Free
Sign Up
We have detected that Javascript is not enabled in your browser. The dynamic nature of our site means that Javascript must be enabled to function properly. Please read our
terms and conditions
for more information.
Next up
Copy and Edit
You need to log in to complete this action!
Register for Free
2437296
Dominio y recorrido. Puntos de corte
Description
Actividades para alumnos de 3º de E.S.O. sobre dominio y recorrido de funciones.
No tags specified
matematicas
funciones
3eso
Quiz by
javierph
, updated more than 1 year ago
More
Less
Created by
javierph
over 10 years ago
178
1
0
Resource summary
Question 1
Question
Las horas del día y la temperatura mínima registrada durante cada hora, ¿es una función?
Answer
Sí es función.
No es función.
Question 2
Question
La longitud de una circunferencia y el valor de su diámetro, ¿es una función?
Answer
Sí es función.
No es función.
Question 3
Question
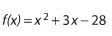
Determina los puntos de corte con los ejes de la siguiente función
Image:
e376fa51-d1d7-4f93-a1eb-64489e24bfda (image/jpg)
Answer
Eje OX: (-7,0); (4,0) Eje OY: (0,-28)
Eje OX: (-4,0); (4,0) Eje OY: (0,-28)
Question 4
Question
Indica el dominio de la siguiente función
Image:
01a73abb-b1ec-424c-9aea-97074ec8e504 (image/jpg)
Answer
El dominio de la función es toda la recta real
El dominio de la función es el intervalo (-3,3)
Question 5
Question
Indica el recorrido de la siguiente función
Image:
7398796e-b19b-4456-b5c4-97901a9d5be0 (image/jpg)
Answer
El recorrido de f(x) es toda la recta real
El recorrido de la función es el intervalo (-1,1).
Show full summary
Hide full summary
Want to create your own
Quizzes
for
free
with GoConqr?
Learn more
.
Similar
Aplicaciones de las derivadas
Marta Arroyo
Funciones Matemáticas
Nathaly Arias
Funciones - Test
sofialeone
Sucesiones Aritméticas
Elaine del Valle
EXAMEN DE MATEMÁTICAS 1ER GRADO SECUNDARIA 5to Bim
FELIPE SOLTERO
Matemáticasen la VidaCotidiana
Diego Santos
Ecuaciones Estadísticas
Diego Santos
FRACCIONES...
JL Cadenas
OPERACIONES CON POLINOMIOS
Leticia Pérez Nicolás
Ejemplos de Preguntas de Pensamiento Analítico
Raúl Fox
Tablas (1) del 0, 1, 2, 3, 4, 5, 6, 7, 8, 9 y 10
Miguel Greciano
Browse Library