Examen final Ofimatica Cristopher Sotomayor

Description

Examen final de ofimatica de word y excel 2007
Cristopher Sotom
Quiz by Cristopher Sotom, updated more than 1 year ago
Cristopher Sotom
Created by Cristopher Sotom over 10 years ago
62
0

Resource summary

Question 1

Question
¿Cómo abrir el programa Microsoft Word? En Word
Answer
  • Tecla windows + R Escribimos word
  • Botón de Inicio de Windows / Todos los programas / Microsoft Office / Microsoft Word
  • Tecla windows + R Escribimos winword
  • Tecla windows + R Escribimos wimword

Question 2

Question
¿Cómo guardar un documento? En Word
Answer
  • Botón inicio / Guardar
  • Control + V
  • Control + G

Question 3

Question
¿Seleccionar el texto y Copiar ? En Word
Answer
  • Ficha Inicio / Grupo portapapeles / Opción Copiar
  • Ficha Inicio / Grupo portapapeles
  • Ficha Inicio / Grupo fuente / Opción Copiar

Question 4

Question
¿Cómo colocar el texto en negrita? En Word
Answer
  • - Acudir al grupo de opciones Fuente en la ficha Inicio
  • - Acudir al grupo de opciones Fuente en la ficha Insertar
  • Acurdir al grupo de opciones portapapeles en la ficha inicio

Question 5

Question
¿Donde podemos aumentar la sangría ? En Word
Answer
  • Cinta Inicio - Fuente
  • Cinta insertar - Fuente
  • Cinta Inicio - Parrafo

Question 6

Question
¿Donde puedo borrar todo el formato en word?
Answer
  • Cinta Inicio - Fuente
  • Cinta Inicio - Porta papeles
  • Cinta Inicio - párrafo
  • Cinta Inicio - Edición

Question 7

Question
¿ Donde puedo agregar una portada ? en word
Answer
  • Cinta Insertar - Paginas
  • Cinta Insertar - Ilustraciones
  • Cinta Insertar - Formato de pagina

Question 8

Question
¿Donde puedo agregar una figura en word?
Answer
  • Cinta Insertar - Ilustraciones
  • Cinta Insertar - paginas
  • Cinta Inicio - Ilustraciones

Question 9

Question
¿Donde puedo agregar un cuadro de texto en word ?
Answer
  • Cinta Insertar - Texto
  • Cinta Insertar - Cuadro de texto
  • Cinta Insertar - Objeto

Question 10

Question
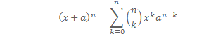
Donde puedo ubicar esto
Answer
  • Cinta insertar - Simbologia
  • Cinta insertar - Símbolos
  • Cinta insertar - Ecuación

Question 11

Question
¿Donde puedo insertar los bordes de paginas ?
Answer
  • Cinta Diseño - Fondo de pagina
  • Cinta Diseño - Bordes de pagina
  • Cinta insertar - Fondo de pagina

Question 12

Question
¿Donde puedo insertar la marca de agua en un documento en word ?
Answer
  • Cinta Diseño - Fondo de pagina
  • Cinta Inicio - Fondo de pagina
  • Cinta Diseño - marca de agua

Question 13

Question
¿Donde puedo seleccionar las columnas ?
Answer
  • Cinta Diseño de pagina - configurar pagina - Columnas
  • Cinta Diseño de pagina - configuración de pagina - Columnas
  • Cinta Diseño - configurar pagina - Columnas

Question 14

Question
¿Donde puedo configurar la sangría de forma manual ?
Answer
  • Cinta Diseño de pagina - parrafo
  • Cinta Diseño - parrafo

Question 15

Question
¿Donde puedo agregar un indice con tabla de contenidos?
Answer
  • Cinta referencia - Indice
  • Cinta referencia - tabla de contenidos

Question 16

Question
¿Cómo corregir ortografía y gramática?
Answer
  • Desde la opción Ortografía y gramática del grupo de opciones Revisión de la ficha Revisar.
  • Desde la opción gramática del grupo de opciones Revisión de la ficha Revisar.
  • Desde la opción Ortografía del grupo de opciones Revisión de la ficha Revisar.

Question 17

Question
¿Cómo cambiar la orientación de la página?
Answer
  • Desde la opción Orientación del grupo de opciones Configurar Página de la ficha Diseño de página.
  • Configurar Página de la ficha Diseño.

Question 18

Question
¿Cómo insertar un hipervínculo?
Answer
  • Desde la opción Hipervínculo del grupo de opciones Vínculos de la ficha Insertar.
  • Desde la opción Hipervínculo del grupo de opciones Insertar de la ficha Insertar.
  • Desde la opción Hipervínculo del grupo de opciones Vínculos de la ficha Inicio.

Question 19

Question
¿Cómo reemplazar un texto?
Answer
  • Desde la opción Reemplazar en el grupo de opciones Edición de la ficha Inicio
  • Desde la opción suprimir en el grupo de opciones Edición de la ficha Inicio
  • Desde la opción Reemplazar en el grupo de opciones Edición de la ficha insertar

Question 20

Question
Las columnas se representan con
Answer
  • Numeros
  • Simbolos
  • letras

Question 21

Question
Las filas se representan con
Answer
  • letras
  • numero
  • símbolos
  • Números y símbolos

Question 22

Question
La operación matemáticas siguiente =(b2+c2+d2)/3 corresponde a
Answer
  • La multiplicación de 3 datos
  • el promedio de 3 datos
  • la suma de 3 datos
  • la división de 3 datos y multiplicados por si mismo

Question 23

Question
Los operadores basicos que se utilizan en excel son
Answer
  • +-*/
  • +-x/
  • <>+-*/

Question 24

Question
Punto de intersección entre una fila y una columna
Answer
  • un cuadro
  • una celda
  • un punto

Question 25

Question
En excel cual de las siguientes formulas es correcta
Answer
  • =A1:10
  • =A2+D20
  • =división(a1:a10)

Question 26

Question
Con "D2:F5" estamos refiriéndonos a:
Answer
  • A las casillas D2 y F5
  • El rango que empieza en D2 y termina en F5
  • El rango que empieza en F5 y termina en D2
  • La division entre el contenido de la celda D2 y el de F5

Question 27

Question
Si queremos Sumar el rango A1:B3. La funcion correcta es
Answer
  • =suma(a1:b3)
  • suma(a1:b3)
  • =+(a1:b3)
  • =(a1:b3)

Question 28

Question
Si una celda se muestra así ################# que significa
Answer
  • La celda no tiene espacio suficiente para mostrar el valor
  • La celda tiene problemas en la función
  • El valor de los datos es incorrecto o ilegible

Question 29

Question
El nombre para nombrar una celda es
Answer
  • primero la letra de la columna y despues el numero de fila
  • primero la letra de la fila y despues el numero de la columna

Question 30

Question
excel es una aplicación de tipo
Answer
  • presentación eletronica
  • hoja de calculos
  • documento grafico
  • base de datos

Question 31

Question
En una hoja de excel, la celda activa se distingue de las demas por
Answer
  • un borde color azul
  • un borde de color mas oscuro
  • un borde intermitente
  • un borde punteado

Question 32

Question
¿Es posible insertar una fecha en una celda de excel?
Answer
  • si porque es un dato que no varia
  • si porque es una categoría de dato
  • no porque no es una categoría de dato

Question 33

Question
un libro de excel tiene x cantidad de hojas al iniciar
Answer
  • 3 hojas
  • muchas hojas
  • 1 hoja
  • 2 hojas

Question 34

Question
las funciones de excel pueden ser
Answer
  • logicas
  • aritmeticas
  • estadisticas
  • todas son correctas

Question 35

Question
donde puedo agregar un word dentro de excel
Answer
  • Cinta insertar - texto - objeto
  • Cinta diseño - objeto
  • cinta insertar - objeto

Question 36

Question
Donde puedo agregar lo siguiente
Answer
  • Cinta inicio - simbolos
  • cinta insertar - simbolos
  • cinta insertar - ecuación

Question 37

Question
para que sirve el siguiente boton
Answer
  • Activa el diseño de las celdas seleccionadas
  • Activa el filtrado de las celdas seleccionadas
Show full summary Hide full summary

Similar

Las versiones de Office 2007, 2010 y 2013
kellyta_solange2
DIFERENCIAS ENTRE WORD 2007,2010,2013
LEONELA CALLES
Mapa conceptual Circular externa No. 022 del 2007 de la superfinanciera
Alex Piedrahita
Guia practica de Autoguardado de Office
Edgardo Yocupicio Ruiz
MICROSOFT OFFICE
Módulo II TIC
Microsoft Excel
Marianela Satto
Microsoft Office Word
Lizbeth Mata
Test sobre Microsoft Word
Luis Soto
Exámen Estatal de Diagnóstico de Informática II
Dennis López
UNIDAD DE INFORMACIÓN Y ANÁLISIS FINANCIERO DECRETO 586 / 587 DE 2007
EL MEJOR
Diferencias entre WORD 2007-2010-2013
tu.nena_brends