CCBB 2DO EXAMEN

Description

2DO CCBB
JL Px
Quiz by JL Px, updated more than 1 year ago
JL Px
Created by JL Px over 10 years ago
154
1

Resource summary

Question 1

Question
Si A es una matriz de orden 2X3, realizando la transpuesta
Answer
  • Es imposible de resolver debido al cuadrado
  • Produce la inversa de A
  • El resultado es una matriz 2X3
  • Es imposible de ejecutar debido a la transpuesta

Question 2

Question
Cuál es el orden de la matriz
Answer
  • 2X3
  • 3X2
  • 2X2
  • 3X3

Question 3

Question
Si A es una matriz y su determinante es 8 y B es una matriz de orden 2 y su determinante es -1. ¿Cuál es el valor de la operación
Answer
  • -2
  • -4
  • 2
  • 1

Question 4

Question
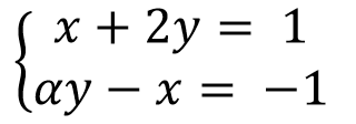
Considere el sistema de ecuaciones:
Answer
  • Si α= -2, entonces el sistema tiene infinitas soluciones.
  • Si α= -2, entonces el sistema tiene solución única
  • Si α= 2, entonces el sistema tiene solución trivial
  • Si α= 2, entonces el sistema no tiene solución

Question 5

Question
El cálculo de los coeficientes de una regresión lineal con el método de los mínimos cuadrados. Dada la siguiente tabla. ¿Cuál es la respuesta al calcular n
Answer
  • 108
  • 117
  • 24
  • 99

Question 6

Question
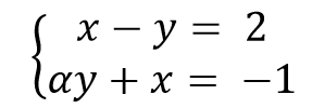
Considere el sistema de ecuaciones: ¿Cuál de las opciones es necesariamente verdadera?
Answer
  • Si α≠ -1 , entonces el sistema tiene solución única.
  • Si α = -1 , entonces el sistema tiene soluciones infinitas.
  • Si α≠ 1 , entonces el sistema no tiene solución
  • Si α = -1 , entonces el sistema tiene solución trivial

Question 7

Question
El valor máximo de un número entero que se puede representar en una computadora (Hipotética) de 4 bits es:
Answer
  • 29
  • 13
  • 4
  • 7

Question 8

Question
La representación decimal del numero binario 1011 es:
Answer
  • 30
  • 11
  • 8
  • 3

Question 9

Question
Si en una matriz cuadrada, una fila es intercambiada por otra entonces el determinante de la matriz resultante
Answer
  • Es el negativo del determinante de la matriz original
  • una fila; dividido para 2
  • Es el mismo de la matriz original, se mantiene
  • una columna; multiplicado por 2

Question 10

Question
Para el cálculo de los coeficientes de una regresión lineal con el método de los mínimos cuadrados. Dada la siguiente tabla ¿Cuál es la respuesta al calcular ∑xi ∑yi ?
Answer
  • 108
  • 117
  • 24
  • 99
Show full summary Hide full summary

Similar

Presentacion Tabla de contenido
Profa Gabriela Ramírez
EXAMEN 1 CCBB
JL Px
Presentacion_B3_Macros
Profa Gabriela Ramírez
LIPIDOS
elena cobos
Autoevaluación_Tabla de contenido
Profa Gabriela Ramírez
Conceptos TIC IV
Profa Gabriela Ramírez
Apuntes_B2_Informes
Profa Gabriela Ramírez
Apuntes TIC IV_1
Profa Gabriela Ramírez
Apuntes TIC IV_2
Profa Gabriela Ramírez
Apuntes TIC IV_3
Profa Gabriela Ramírez