PRUEBAS DE MATEMÁTICAS GRADO DECIMO

GoConqr Review

Pon a prueba tus conocimientos sobre matemáticas con este genial test SABER grado 10. Responde el cuestionario estilo ICFES y al finalizar verifica tus respuestas.
jennydaza28
Quiz by jennydaza28, updated more than 1 year ago
jennydaza28
Created by jennydaza28 about 10 years ago
9108
31

Resource summary

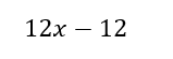
Question 1

Question
Observa la figura que se muestra a continuación.
Answer
  • I solamente
  • I y II solamente
  • II y III solamente
  • III solamente

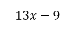
Question 2

Question
En la gráfica se muestran dos rectangulos. De la figura es correcto afirmar que:
Answer

Question 3

Question
Camila realiza una tarea para su clase de Artes. Ella recorta una figura rectangular que tiene 22 cm de perímetro y 30 cm2 de área. ¿Cuál de las siguientes figuras recortó Camila?

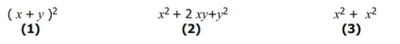
Question 4

Question
En las expresiones algebraicas que aparecen a continuacion x, y son numeros reales cualesquiera. ¿Cuál o cuáles de las siguientes afirmaciones, sobre las expresiones (1), (2) y (3), es o son verdaderas? I. Las expresiones (1) y (3) son equivalentes. II. Las expresiones (2) y (3) son equivalentes. III. Las expresiones (1) y (2) son equivalentes.
Answer
  • I solamente
  • I y II solamente
  • III solamente
  • II y III solamente

Question 5

Question
Para determinar el uniforme de un equipo de fútbol se debe elegir entre 3 colores de medias, 2 colores de pantaloneta y 4 colores de camiseta. Todas las combinaciones de medias, pantalonetas y camisetas son posibles. ¿Cuál es la expresión que permite calcular el número de posibilidades distintas que hay de escoger el uniforme?
Answer
  • 3 + 2 + 4
  • 3 x 2 x 4
  • 3 x 4 + 2
  • (3 + 2) x 4
Show full summary Hide full summary

Similar

CÁLCULOS con [ 3 · 5 · 7 ]
JL Cadenas
Matrices y Determinantes
Diego Santos
Preguntas del Pensamiento Matemático
Diego Santos
Factorización de Expresiones Algebráicas
maya velasquez
Ensayo PSU Matemáticas
Diego Santos
Derivadas
erendira.aviles
Integrales Indefinidas
Rupert012
El número pi
angel tamayo
EL RINCÓN DE MATEMÁTICAS
dolorstodoli
Fórmulas Geométricas (Perímetros)
Diego Santos
7 Técnicas para Aprender Matemáticas
maya velasquez