Examen de Repaso de Biología para Selectividad

Description

Examen de Repaso de Biología para preparar la Selectividad. Fuente: educa.madrid.org.
Cristina Gutierrez
Quiz by Cristina Gutierrez, updated more than 1 year ago More Less
LariSa
Created by LariSa over 11 years ago
Cristina Gutierrez
Copied by Cristina Gutierrez over 4 years ago
1
0

Resource summary

Question 1

Question
El carbono, en el espacio, se dispone como...
Answer
  • un hexaedro.
  • un icosaedro.
  • un tetraedro.
  • un pentaedro.

Question 2

Question
El silicio puede sustituir al carbono en las biomoléculas pues tiene una similar configuración electrónica.
Answer
  • True
  • False

Question 3

Question
Relaciona la fórmula con el nombre del disacarido correspondiente:
Image:
1 (image/jpg)
Answer
  • Celobiosa.
  • Quitobiosa.
  • Isomaltosa.
  • Maltosa.
  • Lactosa.
  • Sacarosa.

Question 4

Question
Relaciona la fórmula con el nombre del disacarido correspondiente:
Image:
2 (image/jpg)
Answer
  • Celobiosa.
  • Quitobiosa.
  • Isomaltosa.
  • Maltosa.
  • Lactosa.
  • Sacarosa.

Question 5

Question
Relaciona la fórmula con el nombre del disacarido correspondiente:
Image:
3 (image/jpg)
Answer
  • Celobiosa.
  • Quitobiosa.
  • Isomaltosa.
  • Maltosa.
  • Lactosa.
  • Sacarosa.

Question 6

Question
¿A qué lípido puede corresponder esta fórmula?
Image:
A (image/png)
Answer
  • Colesterol.
  • Prostaglandina.
  • Acillglicérido.
  • Caucho.

Question 7

Question
Observa la figura e indica que molécula representa:
Image:
A (image/jpg)
Answer
  • Lactosa.
  • Sacarosa.
  • Celobiosa.
  • Maltosa.

Question 8

Question
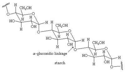
Identifícalo:
Image:
A (image/jpg)
Answer
  • Almidón.
  • Celulosa.
  • Glucógeno.
  • Quitina.

Question 9

Question
El carbono tiene en su última capa...
Answer
  • 3 electrones.
  • 4 electrones.
  • 1 electrón.
  • 2 electrones.

Question 10

Question
Dos carbonos se pueden enlazar por enlaces...
Answer
  • simples.
  • dobles.
  • triples.
  • todos ellos.

Question 11

Question
El principal problema del carbono está en la incapacidad de formar moléculas de más de 25 subunidades
Answer
  • True
  • False

Question 12

Question
La estructura lineal de las moléculas de carbono dificultan la configuración espacial de las biomoléculas de las que forma parte:
Answer
  • True
  • False

Question 13

Question
El carbono es un elemento pesado y por lo tanto estable, condición indispensable para la formación de macromoléculas
Answer
  • True
  • False

Question 14

Question
Todas las biomoléculas orgánicas tienen su base en esqueletos de carbono con uniones a distintos radicales.
Answer
  • True
  • False

Question 15

Question
La amplia variedad de radicales a los que se puede unir el carbono le permite formar muchos tipos de moléculas distintas.
Answer
  • True
  • False

Question 16

Question
El carbono puede formar enlaces estables con otras moléculas, fundamentalmente de tipo:
Answer
  • covalente.
  • puentes de hidrógeno.
  • iónicos.
  • metálicos.

Question 17

Question
Las ceras son ___________ de los ácidos grasos con alcoholes de peso molecular ___________, es decir, son moléculas que se obtienen por esterificación de un ácido graso con un alcohol monovalente lineal de cadena larga.
Answer
  • lanolina, elevado
  • ésteres, elevado
  • cutina, hidrófobo
  • ésteres, hidrófobo

Question 18

Question
El carácter dipolar de los glicerolípidos se interpreta también como comportamiento:
Answer
  • anfipático.
  • irregular.
  • anfolítico.
  • anfótero.
  • ácido-base.

Question 19

Question
Los compuestos biológicos incluidos bajo la denominación de lípidos tienen en común:
Answer
  • sus propiedades física y químicas.
  • la presencia de enlaces éster.
  • su función de reserva material y energética.
  • ser sustancias ternarias (C, O, y H).
  • todas las características anteriores.

Question 20

Question
Un esfingolípido puede estar compuesto por...
Answer
  • esfingosina, un ácido graso y una base nitrogenada.
  • esfingosina, un ácido graso y galactosa.
  • esfingosina, un ácido graso y un resto de fosfato inorgánico
  • las respuestas anteriores son correctas.
  • las respuestas anteriores son incorrectas.

Question 21

Question
Los lípidos formados por la esterificación de un ac. graso de cadena larga y un alcohol de cadena larga se denominan ceras.
Answer
  • True
  • False

Question 22

Question
Identifica el compuesto que no es un esteroide:
Answer
  • hormonas sexuales.
  • vitamina D.
  • colesterol.
  • xantofila.
  • ácido cólico (biliar).

Question 23

Question
Los sebos son grasas de origen animal con ac. grasos no saturados.
Answer
  • True
  • False

Question 24

Question
Indica la relación "función-lípido" incorrecta:
Answer
  • de reserva - triacilglicérido.
  • vitamínica - vitamina C.
  • energética - ácido graso.
  • estructural - gangliósido.
  • biocatalizadora - corticoide.

Question 25

Question
Indica la relación "función-lípido" incorrecta:
Answer
  • de reserva - triacilglicérido.
  • vitamínica - vitamina C.
  • energética - ácido graso.
  • estructural - gangliósido.
  • biocatalizadora - corticoide.

Question 26

Question
Indica lo correcto respecto al tromboxano:
Answer
  • es un lípido insaponificable.
  • posee un función reguladora.
  • es un derivado de ácidos grasos poliinsaturados.
  • provoca un flujo plaquetario ante una lesión capilar.
  • todas las respuestas son correctas.

Question 27

Question
¿Cual de las siguientes propiedades no corresponde a los lípidos?
Answer
  • Son escasamente solubles en agua.
  • Pueden contener P y S.
  • Su cantidad de oxígeno es muy inferior en proporción a la de carbono e hidrógeno.
  • Son untuosos al tacto.
  • Son solubles en disolventes polares.

Question 28

Question
Uno de estos compuestos es un esteroide que actúa como hormona sexual masculina, ¿Cuál es?
Answer
  • Vitamina D.
  • Cortisona.
  • Testosterona.
  • Colesterol.

Question 29

Question
Uno de estos compuestos es un esteroide que actúa como hormona sexual masculina, ¿Cuál es?
Answer
  • Vitamina D.
  • Cortisona.
  • Testosterona.
  • Colesterol.

Question 30

Question
Los carotenoides...
Answer
  • Son unos pigmentos que cumplen una misión de almacenamiento de energía.
  • Son lípidos de tipo isoprenoide.
  • Junto con los tocoferoles forman parte de las membranas biológicas.
  • Son los principales precursores de la vitamina K.

Question 31

Question
¿De dónde procede el nombre de prostaglandina?
Answer
  • De una sustancia capaz de inhibir la formación de líquido seminal en la próstata.
  • Se encontró en la próstata de un enfermo de cáncer.
  • De un sustancia que resultó eficaz para el tratamiento de enfermedades de próstata.
  • Se aisló a partir de líquido seminal de la próstata.

Question 32

Question
¿Cuantas moléculas de isopreno hay en un diterpeno?
Answer
  • 1
  • 4
  • 3
  • 2

Question 33

Question
Las hormonas sexuales, químicamente son....
Answer
  • Ácidos grasos.
  • Esteroides.
  • Triglicéridos.
  • Fosfolípidos.

Question 34

Question
¿Cuál de los siguientes compuestos es un politerpeno?
Answer
  • Geraniol.
  • Fitol.
  • Carotenoides.
  • Plastoquinona.

Question 35

Question
Las HDL:
Answer
  • Favorecen directamente la digestión y absorción de las grasas.
  • Son lipoproteínas de densidad intermedia.
  • Transportan el exceso de colesterol de los tejidos hasta el hígado.
  • Son los precursores de los quilomicrones.

Question 36

Question
En el transporte por sangre y linfa de los lípidos está implicado:
Answer
  • El isopreno.
  • El mentol.
  • El gonano.
  • El colesterol.

Question 37

Question
Son polisacáridos de reserva energética:
Answer
  • Almidón y glucógeno.
  • Glucosa y almidón.
  • Todos los citados anteriormente.
  • Almidón y celulosa.
  • Celulosa y glucógeno.

Question 38

Question
La fracción no glucídica en un heterósido recibe el nombre de aglucón.
Answer
  • True
  • False

Question 39

Question
Las enzimas que hidrolizan el almidón se llaman amilopectina.
Answer
  • True
  • False

Question 40

Question
De las moléculas que forman el almidón, la amilasa está ramificada.
Answer
  • True
  • False

Question 41

Question
El compuesto soluble en agua es la...
Answer
  • Fructosa.
  • Sacarosa.
  • Galactosa.

Question 42

Question
¿Qué es un enlace hemicetal?
Answer
  • Un enlace no covalente entre un grupo aldehído y un grupo amina.
  • Un enlace no covalente entre un grupo aldehído y un alcohol.
  • Un enlace covalente entre un grupo aldehído y un alcohol.
  • Un enlace covalente entre un grupo cetona y un alcohol.

Question 43

Question
Las pentosas y hexosas en solución...
Answer
  • Tienen un carbono asimétrico más.
  • Pierden el carácter reductor.
  • Constituyen acetales.
  • Son más cíclicas.
  • Pierden el carácter reductor precisamente por estar en solución.

Question 44

Question
Pasa agua de la zona de mayor concentración de sales a la de menor concentración
Answer
  • Ósmosís.
  • Ósmosis inversa.
  • Difusión simple.
  • Diálisis.

Question 45

Question
El agua pasa de la zona de mayor concentración a la de menor concentración.
Answer
  • Ósmosís.
  • Ósmosis inversa.
  • Difusión simple.
  • Diálisis.

Question 46

Question
Se aplica en la desalación de agua marina.
Answer
  • Ósmosís.
  • Ósmosis inversa.
  • Difusión simple.
  • Diálisis.

Question 47

Question
Paso de agua y moléculas a favor del gradiente de concentración.
Answer
  • Ósmosís.
  • Ósmosis inversa.
  • Difusión simple.
  • Diálisis.

Question 48

Question
Separa moléculas de una solución por sus diferencias en el índice de difusión.
Answer
  • Ósmosís.
  • Ósmosis inversa.
  • Difusión simple.
  • Diálisis.

Question 49

Question
Actuá como esqueleto hidrostático en algunos animales: Elevada cohesión molecular.
Answer
  • True
  • False

Question 50

Question
Permite el desplazamiento de animales sobre su superficie: Elevada constante dieléctrica.
Answer
  • True
  • False
Show full summary Hide full summary

Similar

TEST REPASO BIOLOGÍA CELULAR
VICTOR MANUEL VITORIA RUIZ
PASAPALABRA  sobre  ANATOMÍA
JL Cadenas
Práctica de Biología para la Prepa 1
Raúl Fox
1. LA CÉLULA
Vivi Riquero
Examen de Repaso de Biología
Diego Santos
TEST MICROBIOLOGÍA e INMUNOLOGÍA
VICTOR MANUEL VITORIA RUIZ
Biología para la PSU
Lolo Reyes
Práctica de Biología para la Prepa 2
Raúl Fox
test del sistema nervioso central
johana elizabeth lopez ceron
Segunda Guerra Mundial 1939-1945
maya velasquez
Los Reyes Católicos Fechas Clave
maya velasquez