MATEMATICAS ONCE COLEGIO MILITAR

Description

Quiz on MATEMATICAS ONCE COLEGIO MILITAR, created by jomava1978 on 27/08/2015.
jomava1978
Quiz by jomava1978, updated more than 1 year ago
jomava1978
Created by jomava1978 about 10 years ago
37
0

Resource summary

Question 1

Question
El concepto de derivada de una función matemática se halla íntimamente relacionado con la noción de límite. Así, la derivada se entiende como la variación que experimenta la función de forma instantánea, es decir, entre cada dos puntos de su dominio suficientemente próximos entre sí
Answer
  • True
  • False

Question 2

Question
A PARTIR DE ESTA PREGUNTA, USTED DEBE JUSTIFICAR SUS RESPUESTAS EN LA HOJA DE OPERACIONES, ESTA TENDRÁ UNA VALORACIÓN EN LA CALIFICACIÓN FINAL DE LA PRUEBA (LA PRIMERA CASILLA DE LA HOJA DE RESPUESTAS ES VERDADERO, LA SEGUNDA CASILLA CORRESPONDE A FALSO).
Answer
  • True
  • False

Question 3

Question
Dentro del ejercicio planteado, parte del proceso para llegar a la respuesta es

Question 4

Question
No olvides justificar tu respuesta
Answer
  • True
  • False

Question 5

Question
Responde y justifica en tu hoja de operaciones
Answer
  • True
  • False

Question 6

Question
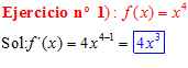
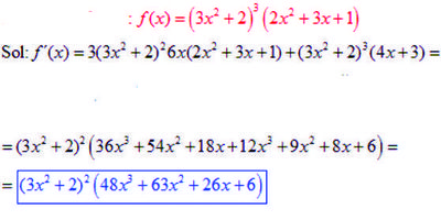
4. Aplicando las reglas de derivación de funciones se puede determinar que la derivada de la función y=3 sen(x) - 2 cos(x) y'=3 Dx (sen x) - 2 Dx (cos x) y'=3 cos (x) + 2 sen (x)
Answer
  • True
  • False

Question 7

Question
Una combinación es una selección de objetos en el cual importa el orden en que se escojan:
Answer
  • True
  • False

Question 8

Question
De entre 8 personas debemos formar un comité de cinco miembros. ¿Cuántas diferentes posibilidades existen para formar el comité? Solución: Esta es una combinación porque el orden si importa.
Answer
  • True
  • False

Question 9

Question
Con 3 mujeres y 5 varones: a) ¿Cuántos triunviratos que tengan 2 personas del mismo sexo se pueden formar? b) ¿Cuántas hileras de 8 personas se pueden formar si las mujeres no pueden ocupar ni el primer ni el último lugar? c) ¿Cuántas hileras de 7 personas se pueden formar si personas del mismo sexo no pueden ocupar lugares consecutivos?
Answer
  • a) 45 b)1440 c) 720
  • a) 45 b)14400 c) 72
  • a) 45 b)14400 c) 720
  • a) 35 b)14400 c) 720

Question 10

Question
Una rata es colocada en una caja con tres pulsadores de colores rojo, azul y blanco. Si pulsa dos veces las palancas al azar: a) ¿Cuál es la probabilidad de que las dos veces pulse la roja? b) ¿Cuál es la probabilidad de que pulse la primera vez o la segunda o ambas la tecla azul?
Answer
  • a) P(R1 Ç R2) = P(R1) · P(R2) = 1/3 · 1/3 = 1/9
  • P(A1 È A2) = 0,8 P(A1) = 0,6 P(A2) = 0,5
  • P(A1 Ç A2) = 0,6 + 0,5 – 0,8 = 0,3
  • b) P(A1 È A2) = P(A1) + P(A2) – P(A1 Ç A2) = 1/3 + 1/3 – 1/9 = 5/9
Show full summary Hide full summary

Similar

Sucesiones Aritméticas
Elaine del Valle
Aplicaciones de las derivadas
Marta Arroyo
EXAMEN DE MATEMÁTICAS 1ER GRADO SECUNDARIA 5to Bim
FELIPE SOLTERO
Matemáticasen la VidaCotidiana
Diego Santos
Ecuaciones Estadísticas
Diego Santos
FRACCIONES...
JL Cadenas
OPERACIONES CON POLINOMIOS
Leticia Pérez Nicolás
Ejemplos de Preguntas de Pensamiento Analítico
Raúl Fox
Tablas (1) del 0, 1, 2, 3, 4, 5, 6, 7, 8, 9 y 10
Miguel Greciano
FRACCIONES...
Ulises Yo
Números Racionales - Parte 1
Samuel Campos Cid