Simulador de informática Planteles 1, 4 y 6

Description

Simulador Diagnostico
cblerm21
Quiz by cblerm21, updated more than 1 year ago
cblerm21
Created by cblerm21 about 10 years ago
742
0

Resource summary

Question 1

Question
Las redes informáticas permiten el acceso a información actualizada, si bien esto sería causa de un riesgo compatible con:
Answer
  • Acceso a información errónea
  • Acceso a contenido impropio
  • Exposición del equipo a virus u otros malwares
  • Todas son correctas
  • Ninguno de los anteriores es correcto

Question 2

Question
Los siguientes son criterios que Greenfield señala para el diagnóstico de la adicción a Internet, excepto:
Answer
  • Horas que pasa el usuario/paciente conectado
  • Consecuencias experimentadas debido al solo uso de internet:
  • Ocultar la cantidad de tiempo que se invierte conectado a la red
  • Ser etariamente un adolescente o joven adulto
  • Poder guardar paciencia ante la necesidad de usar el ordenador con fines de conectarse a la red.

Question 3

Question
Un profesor, determino que podrían aprobarían su materia, si su promedio de 3 calificaciones fuera mayor o igual que 7.0 y en caso contrario reprobarían, selecciona ¿cual sería el algoritmo?
Answer
  • 1. Inicio 2. Variables: C1,C2,C3, Promedio entera 3. Escribir “Ingresa Calificaciones”; 4. Lee C1,C2, C3; 5. Promedio= (c1+c2+c3)/3; 6. Si promedio > = 7 entonces 7. Escribir “Alumno Aprobado” 8. Sino 9. Escribir “Alumno NO Aprobado” 10. Finsi 11. Fin
  • 1. Inicio 2. Variables: C1,C2,C3, Promedio entera 34. Lee C1,C2, C3; 5. Promedio= (c1+c2+c3)/3; 6. Si promedio > = 7 entonces 7. Escribir “Alumno Aprobado” 8. Sino 9. Escribir “Alumno NO Aprobado” 10. Finsi 11. Fin
  • 1. Inicio 2. Variables: C1,C2,C3, Promedio entera 3. Escribir “Ingresa Calificaciones”; 4. Lee C1,C2, C3; 5. Promedio= (c1+c2+c3)/3; 6. Si promedio > = 7 entonces 7. Escribir “Alumno Aprobado” 8. Sino 9. Escribir “Alumno NO Aprobado” 11. Fin
  • 1. Inicio 2. Variables: C1,C2,C3, Promedio entera 3. Escribir “Ingresa Calificaciones”; 4. Lee C1,C2, C3; 5. Promedio= (c1+c2+c3)/3; 6. Si promedio > = 7 7. Escribir “Alumno Aprobado” 8. Sino 9. Escribir “Alumno NO Aprobado” 10. Finsi

Question 4

Question
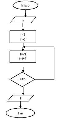
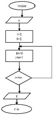
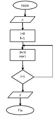
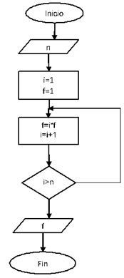
A continuación se presentan cuatro diagramas de flujo. ¿Cuál de ellos muestra el factorial de un número?

Question 5

Question
Un Pseudocódigo es básicamente ?
Answer
  • otro término para el A/DOO
  • un lenguaje de programación utilizado para visualizar diagramas de UML
  • un medio informal para expresar la lógica de un programa
  • un esquema de representación gráfica para modelar sistemas orientados a objetos

Question 6

Question
Se tiene los promedios de los alumnos y se desea conocer la subrutina que muestra con base en el promedio si el alumno Aprobó o Reprobó la asignatura. ¿Cuál de las subrutinas desarrolladas realiza correctamente lo que se solicita?
Answer
  • if ( calificacion >= 6 ) System.out.println( "Aprobado" ); else System.out.println( "Reprobado" ); endif
  • if ( calificacion >= 6 ); System.out.println( "Aprobado" ) else System.out.println( "Reprobado" )
  • if ( calificacion >= 6 ); System.out.println( "Aprobado" ) else System.out.println( "Reprobado" ) Endif
  • if ( calificacion >= 6 ) System.out.println( "Aprobado" ); else System.out.println( "Reprobado" );

Question 7

Question
La suma de 2 números binarios es de 1011101 ¿Cómo se interpreta en el sistema hexadecimal?
Answer
  • d5
  • 5d
  • 135
  • 5c

Question 8

Question
De la operación que se encuentra dentro de la imagen, ¿Cuál sería la sintaxis y resultado correcto de la operación realizada dentro de una hoja de cálculo?, si se tiene que A1= 3 B1= -2 y C1= 5
Answer
  • =(A1+C1)*B1-RAIZ(C1*C1)/(C1+B1), -7
  • =((A1+C1)*B1)-RAIZ(C1*C1)/(C1+B1), -17
  • =(((A1+C1)*B1)-RAIZ(C1*C1))/(C1+B1), -7
  • =(((A1+C1)*B1)-RAIZ(C1*C1))/(C1+B1), -17

Question 9

Question
De la operación que se encuentra en la imagen, ¿cuál sería el resultado de la suma entre los 2 números binario?
Answer
  • 1 1 1 0 1 1 1 1
  • 1 0 1 1 0 1 1 1 1 1
  • 1 0 1 1 1 0 1 1 1 1
  • 1 0 1 1 0 0 1 1 1 1

Question 10

Question
De la operación que se encuentra en la imagen, ¿Cuál sería el resultado de la resta entre los 2 números binario?
Answer
  • 0 1 1 1 1 1 1 1 0 0 1
  • 0 1 1 1 1 1 1 1 1 1 1
  • 0 1 1 0 0 1 0 1 0 0 1
  • 0 1 1 1 0 1 0 1 1 0 1

Question 11

Question
Se tiene un valor de 612 en octal ¿Cuál es el valor decimal?
Answer
  • 1555
  • 395
  • 1545
  • 394

Question 12

Question
Para llenar un Yottabyte con Gigabyte ?

Question 13

Question
Es una red en la cual las estaciones están conectadas directamente a un punto central y todas las comunicaciones se han de hacer necesariamente a través de éste.
Answer
  • Bus
  • Anillo
  • Estrella
  • Malla

Question 14

Question
Se caracteriza por tener un único canal de comunicaciones al cual se conectan los diferentes dispositivos. De esta forma todos los dispositivos comparten el mismo canal para comunicarse entre sí.
Answer
  • Estrella
  • Anillo
  • Bus
  • Arbol

Question 15

Question
Un ingeniero de ventas requiere identificar el modelo de base de datos de los productos donde se muestra el siguiente modelo corresponde a la siguiente estructura donde está fundamentada por la relación, es decir, una tabla bidimensional constituida por filas (tuplas) y columnas (atributos), para realizar ventas:
Answer
  • Red
  • SGBD
  • Jerárquico
  • Relacional

Question 16

Question
El siguiente modelo parte de una base de datos integrada por una colección de registros, conectados por medio de enlaces donde la finalidad es ofrecerle cursos a un estudiante que beneficie a su estudio
Answer
  • SGBD
  • Red
  • Jerárquico
  • Relacional

Question 17

Question
En la imagen anterior, la finalidad es manejar de manera ordenada y clara un conjunto de datos que se convertirán en información importante para una organización, es el objetivo principal de:
Answer
  • Jerárquico
  • Relacional
  • Red
  • SGBD

Question 18

Question
El siguiente modelo de bases de datos es un tipo de sistema gestor que organiza la información en forma de árbol genealógico, en el que un nodo puede tener a la vez varios nodos que deriven en el, donde podemos partir del segmento raíz y este tener hijos y convertirse en padre para formar hijos del mismo como se observa en la imagen:
Answer
  • Relacional
  • Red
  • SGBD
  • Jerárquico

Question 19

Question
Al tener el siguiente código donde las condiciones de selección son esencialmente las mismas condiciones usadas en las instrucciones IF (si) en los lenguajes tradicionales de programación. Sin embargo, los nombres de las columnas usados en la condición de la selección dada deben encontrarse en la relación nombrada en la operación de selección ¿Qué vendedor tiene ID 23? VENDEDOR son: ID_VENDEDOR=23 NOMB_VENDEDOR=Berenice Medina ID_JEFE>=20 not OFICINA = “B.C.” % COMISION < 11
Answer
  • VENDEDOR NOMB_VENDEDOR ID_JEFE OFICINA %COMISIÓN 23 FRANCISCO MORENO 35 NAYARIT 9
  • ID_VENDEDOR NOMB_VENDEDOR ID_JEFE OFICINA %COMISIÓN 32 FRANCISCO MORENO 35 NAYARIT 9
  • ID_VENDEDOR NOMB_VENDEDOR ID_JEFE OFICINA %COMISIÓN 023 FRANCISCO MORENO 35 NAYARIT 9
  • ID_VENDEDOR NOMB_VENDEDOR ID_JEFE OFICINA %COMISIÓN 23 FRANCISCO MORENO 35 NAYARIT 9

Question 20

Question
De la imagen anterior ¿Cuál sería el Pseudocódigo correcto?
Answer
  • Mientras <condición> Hacer <instrucciones> Fin_Mientras
  • Hacer <instrucciones> Mientras <condición>
  • Desde <inicialización> Mientras <condición> <incremento/decremento> <instrucciones> Fin_Desde
  • <inicio> Mientras <condición> <instrucciones> Fin_Desde

Question 21

Question
Se Necesita conectar un adaptador de red de computadora a un Switch. se requiere que la conexión sea capaz de enviar y recibir datos simultáneamente. ¿Qué tipo de conexión necesita usted?
Answer
  • Half duplex
  • Full duplex
  • Simplex
  • 100 Mbps

Question 22

Question
Le han indicado conectar una computadora a un grupo de hosts que han sido segmentados a partir de una red regular. ¿Qué tipo de red es esta?
Answer
  • LAN WLAN
  • WLAN
  • WAN
  • VLAN

Question 23

Question
Se necesita enviar un Ping, desde el mismo equipo para saber si esta se encuentra en conectada. ¿Cuál de los siguientes califcaría como sintaxis de línea de comando para hacer eso?
Answer
  • ping localclient
  • ping 128.0.0.1
  • ping loopback
  • ping network adapter

Question 24

Question
Se acaba de instalar un adaptador de red, se configura la dirección IP y máscara de Subred. ¿Qué comando puede utilizar para verifcar que la dirección IP está confgurada y enlistada apropiadamente?
Answer
  • Ping
  • Tracert
  • CMD
  • Ipconfg

Question 25

Question
Se necesita conectar un adaptador de red de computadora a un switch, también que la conexión sea capaz de enviar y recibir datos simultáneamente. ¿Qué tipo de conexión necesita usted?
Answer
  • Half duplex
  • Simplex
  • 100 Mbps
  • Full duplex

Question 26

Question
Se necesita instalar un adaptador de red a una computadora para que pueda conectarse a la red que utiliza cableado de par trenzado. ¿Qué tipo de puerto necesita utilizar el adaptador de red?
Answer
  • RJ11
  • RJ45
  • RG-58
  • Fibra óptica

Question 27

Question
¿Cuál es el dispositivo central más común utilizado en la actualidad para conectar ordenadores a una red?
Answer
  • hub
  • switch
  • SOHO router
  • VPN router

Question 28

Question
¿Què es un SGBD?
Answer
  • Es una relación de datos relacionados interrelacionados y un conjunto de programas para acceder a dichos datos
  • Es aquel que permite tener acceso a los usuarios de datos organizados mediante el modelo de datos
  • Datos no relacionados pero si se pueden modificar
  • Es un programa de Software que no se puede modificar, ni eliminar.

Question 29

Question
¿Cuál es el principal objetivo de un SGBS ?
Answer
  • Diseñar base de datos, y utilizar sus lenguajes
  • Compartir datos a los usuarios
  • Contener información de los usuarios, manipularla, diseñar base de datos y utilizar sus lenguajes.
  • Proporcionar Una forma de almacenar y recuperar información de una base de Datos de manera que sea practica como eficiente

Question 30

Question
La representación simbólica (numérica, alfabética, algorítmica etc.), de un atributo o una característica de una entidad es ?
Answer
  • registro
  • dato
  • información
  • campo

Question 31

Question
Dentro de MySQL ¿Cuál sería la estructura que se usa para leer la fila de un cursor?
Answer
  • INTO <nombre_cursor> INTO <lista_variables>
  • FITCH <nombre_cursor> INTRO <lista_variables>
  • FETCH <nombre_cursor> INTO <lista_variables>
  • INTO <nombre_cursor> FETCH <lista_variables>

Question 32

Question
Dentro de MySQL ¿Qué falta para que se cumpla la siguiente estructura? CREATE PROCEDURE...
Answer
  • ...<sysname, ProcedureName>
  • ...<Procedure_Name, ProcedureName>
  • ...<ProcedureName, sysname, Procedure_Name>
  • ...<Procedure_Name, sysname, ProcedureName>

Question 33

Question
Dentro de MySQL, ¿Qué parámetros se usa para recopilar el procedimiento almacenado?
Answer
  • WITH RECOMPILE.
  • SP_RECOMPILE.
  • Ninguna de las anteriores.
  • A y B son correctas.

Question 34

Question
El comando ___________ es usado para obtener información acerca de como MySQL podría ejecutar una consulta.
Answer
  • ANALIZE
  • DESCRIBE
  • EXPLAIN
  • SHOW

Question 35

Question
Dentro de MySQL, ?Que sentencia es correcta?
Answer
  • RENAME DATABASE
  • RENAME TABLE
  • RENAME INDEX
  • RENAME TRIGGER

Question 36

Question
Se tiene el siguiente un programa en C, ¿Cuál es el resultado? #include int main() { int i; for ( i=0 ; i<5 ; i++ ) { printf( "Hola\n" ); } }
Answer
  • Hola 0
  • Hola 5 veces
  • Hola 100 veces
  • Hola 1

Question 37

Question
Se tiene un programa en C++, selecciona donde se encuentra el error #include int main() { int numero; printf( "Introduce un número: " ); scanf( "%d", numero ); printf( "\nHas introducido el número %d.\n", numero ); return 0; }
Answer
  • ,
  • &
  • &d
  • Nada le falta

Question 38

Question
En el siguiente programa hay un fallo muy gordo y muy habitual en la programación C ¿Cuál sería? int main(){ int a, b, c; a = 5; b = a; c = ( a * b ); printf( "%i",c ); getch(); }
Answer
  • nada
  • declaracion de variables
  • librerias
  • las dos anteriores

Question 39

Question
Dentro de un programa en Java, ¿Cuál es la salida de la siguiente condición? public static void main(String[] args) { int a = 1; boolean b = false; if (a < O | b == true){ System.out.println("Soy verdadero"); } else { System.out.println("Soy falso"); } }
Answer
  • Soy verdadero
  • Logica incorrecta
  • Soy falso
  • NaN

Question 40

Question
Dentro de un programa en java ¿Cuál es el resultado que proporcionaria en la pantalla? public static void main(String[ ] args) { double value = 0; if (value |= 0 && 1 / value < 1000) { System.out.println("El valor no es demasiado pequeño."); } else ( System.out.println("El valor es demasiado pequeño."); } }
Answer
  • El valor no es demasiado pequeño.
  • El valor es demasiado pequeño.
  • NaN
  • Error

Question 41

Question
Dentro de un programa en Java, ¿Cuál sería el resultado del siguiente código? public static void main(String [ ] args) { int target = 144, sqrt = 1; while (++sqrt * sqrt != target) ; System.out.println("sqrt(" + target + ") = " + sqrt); }
Answer
  • sqrt(144) = 1
  • sqrt(144) = 0
  • sqrt(144) = 144
  • sqrt(144) = 12

Question 42

Question
Con base en la forma en que transmiten datos, las redes se clasifican en:
Answer
  • Mediante Wi Fi y Bluethooth
  • Guiados y no guiados
  • Por fibra óptica y microondas.
  • Backbone y backhaul

Question 43

Question
Se define como el conjunto de reglas que rigen y regulan el intercambio de información y recursos a través de una red.
Answer
  • Bus de datos
  • Normas de transmisión de datos
  • Protocolos de red
  • Reglas de comunicación WWW

Question 44

Question
Se define como el mapa físico o lógico que puede tener una red para intercambiar datos.
Answer
  • Topología de red
  • Distribución de nodos
  • Sistema de distribución de datos
  • Interconexión de computadores

Question 45

Question
En un diagrama Entidad Relación existe una relación n:m entre dos entidades: Alumno y Profesor. Esto indica que, un profesor puede dar clases a muchos alumnos, y un alumno puede tener muchos profesores, ¿Cuántas tablas, como mínimo, son necesarias para realizar en el modelo físico esa relación en primera forma normal si se hace utilizando una base de datos relacional?
Answer
  • Dos
  • Tres
  • Cuatro
  • Cinco

Question 46

Question
Una relación 1:M entre 2 tablas (A y B), da lugar a:
Answer
  • Tabla A con sus atributos. Tabla B con sus atributos.
  • Tabla A con sus atributos. Tabla B con sus atributos más los de la clave primaria de la entidad A.
  • Tabla B con sus atributos. Tabla A con sus atributos más los de la clave primaria de la entidad B.
  • Se obtienen 3 tablas: Tabla A, Tabla B más la tabla R (la resultante de la relación).

Question 47

Question
¿Cuál de los siguientes elementos es INCORRECTO en un Diagrama de Flujo de Datos?
Answer
  • Un proceso en el que sus datos de entrada provienen directamente de un almacén de datos y que van a parar a otro almacén de datos.
  • Un proceso que no explosiona en otro DFD de menor nivel.
  • Un proceso en el que no entra o del que no sale ningún flujo de datos.
  • Un proceso del que salen exactamente los mismos campos de datos que han entrado, independientemente de que el valor de esos datos haya cambiado o no.

Question 48

Question
Existen diversos tipos de sistemas gestores de bases de datos (SGBD) en función del modelo lógico en el cual se basan. Indique a que tipo pertenece el SGBD IMS de IBM:
Answer
  • Modelo lógico en red.
  • Modelo lógico orientado a objetos.
  • Modelo lógico relacional.
  • Modelo lógico jerárquico.

Question 49

Question
En MySQL, para crear una tabla con la misma estructura que otra tabla pero vacía, se puede utilizar
Answer
  • CREATE TABLE ... SELECT
  • CLONE TABLE
  • CREATE TABLE ... LIKE
  • Las anteriores respuestas no son correctas

Question 50

Question
Se tiene un programa en PhP, ¿Qué muestra el siguiente código? <?php $perro= "Gato"; $gato = &$perro; $gato = "Perro"; echo $perro . " " . $gato; ?>
Answer
  • Perro Gato.
  • Gato Perro.
  • Gato Gato.
  • Perro Perro.

Question 51

Question
¿Qué funciones se emplean para abrir y cerrar una conexión en PHP?
Answer
  • mysql_open() y mysql_close()
  • mysql_open() y mysql_disconnect()
  • mysql_connect() y mysql_close()
  • mysql_connect() y mysql_disconnect()

Question 52

Question
¿A qué se refiere el término "pharming" dentro del mundo informático y de Internet?
Answer
  • Fraude que consiste en la manipulación de las direcciones DNS logrando así que la URL tecleada en el navegador de Internet no nos lleve a la página web de la entidad bancaria buscada, sino a otra página web idéntica y que los delincuentes han creado expresamente para desviar el tráfico de la misma.
  • Estafa relaciona con la recepción de ofertas de empleo o disposiciones de dinero a través de correo electrónico.
  • Recepción masiva de correos electrónicos publicitarios no solicitados.
  • Fraude que consiste en el que la víctima recibe un correo electrónico de su entidad bancaria, supuestamente, en el que se le ofrece un teléfono gratuito al que ha de llamar. Una grabación le pide los datos de su tarjeta y las claves de la misma.

Question 53

Question
¿Puede darse el caso de un sistema que sea, a la vez, multiusuario y monotarea?
Answer
  • Sí, pero sólo si se utiliza un sistema gestión de identidades que controle el acceso de los usuarios, de tal forma que actúe como semáforo.
  • Sí, en ese caso se admiten varios usuarios al mismo tiempo, pero cada uno de ellos puede estar haciendo sólo una tarea a la vez.
  • No, si es multiusuario, siempre será multitarea
  • Sí, pero sólo si el número de usuarios es de 2, como máximo, ejecutando tareas alternativamente.

Question 54

Question
Un sistema multiprocesador en el que todas las CPU comparten la memoria corresponde a un modelo del tipo:
Answer
  • SMP.
  • MPP.
  • MPP o SMP.
  • Ninguno, puesto que en un sistema multiprocesador las CPU nunca comparten memoria.

Question 55

Question
Los controles ActiveX pueden ser escritos:
Answer
  • Únicamente en C++, para proveer neutralidad tecnológica frente a los modelos J2EE y .Net.
  • Únicamente en Microsoft Visual Basic, al ser tecnología propietaria.
  • Únicamente en Java, dada su enfoque el entorno web reusable.
  • En casi todos los lenguajes de programación, incluyendo Java, C++ y Microsoft Visual Basic.

Question 56

Question
¿Cuál es el uso de una dirección IP 0.0.0.0?
Answer
  • Se usa para difusión en una subred local.
  • La usa inicialmente un host cuando arranca.
  • Se usa para difundir un mensaje a todos los nodos de una red distante.
  • Se usa para pruebas de realimentación.

Question 57

Question
En el contexto de la gestión de memoria virtual, un «fallo de página» se produce cuando ?
Answer
  • Existe un problema físico en la unidad de memoria, que queda desactivada.
  • Se está buscando una página y no está en memoria ni tampoco en el disco.
  • No se encuentra una página en el disco, por ejemplo, por estar éste dañado.
  • Se está buscando una página y ésta no está cargada en memoria, por lo que habrá que buscarla en el disco.

Question 58

Question
Es un error insalvable del sistema detectado por el kernel en oposición a los errores similares detectados en el código del espacio de usuario.
Answer
  • Kernel Panic, o “Pantalla azul de la muerte” en Windows
  • Kernel Panic en Mac Os
  • Kernel Panic en Linux
  • “Kernel Panic” en el iPhone

Question 59

Question
El núcleo de un sistema operativo que no facilita ninguna abstracción, pero permiten el uso de bibliotecas que proporcionan mayor funcionalidad gracias al acceso directo o casi directo al hardware es ?
Answer
  • Monolíticos
  • Micronúcleos
  • Híbridos
  • Exonúcleos

Question 60

Question
Dentro de Word 2013, ¿Qué es un esquema?
Answer
  • Un resumen estructurado en niveles jerárquicamente organizados.
  • Una lista numerada.
  • El índice del documento.
  • Todas las respuestas son falsas.

Question 61

Question
Dentro de Word 2013, ¿Qué son los mapas de documento y las tablas de contenidos?
Answer
  • Tipos de esquemas.
  • Formas de visualizar un documento.
  • Herramientas similares a los esquemas, con distintas funciones.
  • Todas las respuestas son falsas.

Question 62

Question
Dentro de Word, ¿Qué es una tabla de contenidos?
Answer
  • Una tabla de datos.
  • Una base de datos formada por varias tablas.
  • Un esquema con listas anidadas.
  • Un índice.

Question 63

Question
Dentro de Word 2013, un documento maestro puede contener...
Answer
  • lo mismo que un documento normal.
  • enlaces a otros archivos de Word.
  • A y B son ciertas.
  • A y B son falsas.

Question 64

Question
Dentro de Word 2013, ¿Qué tipos de documentos es más recomendable utilizar como maestros?
Answer
  • Las plantillas.
  • Los breves.
  • Los extensos.
  • Los que tienen muchos gráficos.

Question 65

Question
¿Qué significa TOC en Word?
Answer
  • Trastorno obsesivo compulsivo.
  • Table of Contents.
  • Tabla obsoleta de colores.
  • Tabla de obturación de cabeceras.

Question 66

Question
¿Cómo insertamos un marcador si ya tenemos el texto seleccionado?
Answer
  • CTRL+F5.
  • CTRL+MAYÚS+F5.
  • MAYÚS+F5.
  • ALT+MAYÚS+F5.

Question 67

Question
Dentro de Word, ¿Cómo nos situamos en un marcador ya existente?
Answer
  • Desde la opción Ir a de la pestaña Inicio > Buscar.
  • Con las teclas CTRL+I.
  • A y B son ciertas.
  • A y B son falsas.

Question 68

Question
¿Dónde encontramos la opción de aplicar una contraseña al documento en Word?
Answer
  • En la pestaña Archivo > Información.
  • En la pestaña Archivo > Proteger.
  • En la pestaña Revisar > Contraseña.
  • En la pestaña Revisar > Edición.

Question 69

Question
¿Dónde encontramos las opciones del Centro de confianza de Word?
Answer
  • En Archivo > Seguridad.
  • En Archivo > Información.
  • En Archivo > Confianza.
  • En Archivo > Opciones.

Question 70

Question
¿Qué es el IRM?
Answer
  • Internet Response Management.
  • Interface Research Management.
  • Information Right Management.
  • Information Review Management.

Question 71

Question
¿Cómo se crea una macro dentro de Word 2013?
Answer
  • Debemos necesariamente conocer Visual Basic para escribir las instrucciones que se realizarán en el editor de Visual.
  • Ponemos en marcha una grabadora de acciones y todo lo que hagamos hasta el momento de parar la grabación será lo que ejecute la macro.
  • Con el editor de macros.
  • Las macros no se crean, sino que se modifican las ya existentes.

Question 72

Question
Si queremos crear un botón en la cinta o en la barra de acceso rápido que ejecute una macro, ¿cómo lo haremos?
Answer
  • Desde Archivo > Opciones.
  • Desde Archivo > Información.
  • Desde Insertar > Macro.
  • Desde Vista > Macro.

Question 73

Question
Dentro de Word, ¿Podemos ejecutar una macro pulsando una combinación de teclas?
Answer
  • Sí, aunque no directamente. Con CTRL+ALT+1 abrimos la lista de macros y ahí seleccionamos la que queremos ejecutar.
  • Sí, siempre y cuando le hayamos creado un atajo de teclado.
  • No, al menos no las que nosotros creamos. Sólo las que vienen incluidas con Word.
  • No

Question 74

Question
Dentro de Word, ¿Dónde encontramos las opciones para compartir un documento por correo, sharepoint o skydrive?
Answer
  • Archivo > Publicar.
  • Archivo > Compartir.
  • Archivo > Enviar.
  • Archivo > Guardar y enviar.

Question 75

Question
¿Cómo se realiza el envío de correos electrónicos desde Word?
Answer
  • Word se encarga de todo siempre y cuando tenga conexión a internet.
  • Word prepara el mensaje para que sea enviado desde un gestor de correo como Outlook.
  • Word muestra instrucciones detalladas para realizar cada una de las acciones desde el servicio web de correo.
  • Word no dispone de opciones de envío por correo.

Question 76

Question
¿Qué es Sharepoint?
Answer
  • Una aplicación incluida en Office que permite centralizar los recursos, especialmente útil para empresas con oficinas en distintos puntos geográficos.
  • Un espacio virtual de 25GB que ofrece Microsoft para almacenar documentos.
  • A y B son ciertas.
  • A y B son falsas.

Question 77

Question
¿Cómo es el entorno de Word para la edición de entradas de blog?
Answer
  • Las mismas pestañas que utilizamos normalmente, a las que se incluye la ficha Entrada de blog.
  • El mismo de siempre. Redactaremos el documento como siempre y luego en Archivo lo publicaremos como entrada. La única diferencia es que sólo estará disponible la vista Diseño web.
  • Es un entorno personalizado al que se accede a través del navegador web, desde la página de Office.
  • Es un entorno con menos herramientas en la cinta de las habituales, específicas para esta tarea, que se muestran en una ventana nueva.

Question 78

Question
¿Podemos gestionar diversos blogs desde Word?
Answer
  • Sí, configurando su acceso, siempre y cuando estén asociados con Microsoft (como WordPress).
  • Sí, configurando su acceso. No tienen por qué estar en el mismo servidor, pueden ser de diversas compañías e incluso de otras personas que nos hayan permitido colaborar en su blog.
  • Sí, aunque hay una restricción de hasta 3 blogs.
  • No, sólo tendremos configurado uno a la vez, aunque podemos ir cambiándolo.

Question 79

Question
Dentro de excel, de las siguientes fórmulas, ¿cuál NO es correcta?
Answer
  • =SUMA(A1:F5)
  • =B23/SUMA(A1:B5)
  • =MAXIMO(A1:D5)
  • =PROMEDIO(A1:B5;D1:E5)

Question 80

Question
Las formas son formas geométricas que se pueden insertar en la hoja de cálculo. ¿Cómo se organizan?
Answer
  • Con palabras clave, de forma que sea más sencillo encontrarlas.
  • En su menú, donde se encuentran organizadas por categorías.
  • No se organizan de ninguna forma.
  • Todas son falsas.

Question 81

Question
Dentro de Excel, Si importamos un archivo de texto plano, ¿según qué criterio separaremos la información en celdas?
Answer
  • Cada salto de línea representa una fila nueva, y cada tabulación una columna.
  • Cada salto de línea representa una fila nueva, y algunos signos especiales, como la coma o el punto y coma sirven para delimitar las columnas.
  • Cada salto de línea representa una fila nueva, y las columnas las delimitamos nosotros, indicando cuántos caracteres pertenecen a cada una.
  • Todas las respuestas son ciertas, la separación dependerá de nuestra elección en el asistente según nuestras necesidades.

Question 82

Question
Dentro de Excel, Las macros sirven para ?
Answer
  • Automatizar tareas, de forma que con sólo pulsar un botón se ejecuten varias acciones.
  • Automatizar tareas, de forma que con sólo pulsar un botón se ejecuta una única acción.
  • Automatizar tareas, siempre y cuando sean de formato.
  • Automatizar tareas, siempre y cuando sean para modificar los valores de los datos.

Question 83

Question
Dentro de Excel, Por defecto, al abrir un libro que contiene macros...
Answer
  • Las macros están habilitadas, pero podremos deshabilitarlas por seguridad si no confiamos en la fiabilidad y la procedencia del archivo.
  • Las macros están deshabilitadas por seguridad; las deberemos habilitar.
  • Deberemos indicar qué archivo de Visual basic queremos cargar para disponer de la librería de macros, en la pestaña Archivo.
  • Deberemos ir a la pestaña Programación e Importar macros desde visual basic.

Question 84

Question
Dentro de excel, Tenemos una lista de tareas con la siguiente estructura: La Columna A contiene la tarea, la Columna B el día de la semana en que se ha de realizar. Queremos ordenarla. ¿Cuál crees que es la forma más óptima de hacerlo?
Answer
  • Lo más acertado sería ordenar las tareas (columna A) por órden alfabético ascendente, de la A a la Z.
  • Lo más acertado sería ordenar los días de la semana (columna B) por órden alfabético ascendente, de la A a la Z.
  • Lo más acertado sería marcar con colores cada uno de los días de la semana y ordenar por colores en vez de por valores.
  • Lo más acertado sería ordenar los días de la semana con un criterio de lista personalizada.

Question 85

Question
Dentro de Powerpoint, ¿Dónde encontramos las opciones para compartir un documento por correo, SharePoint o SkyDrive?
Answer
  • Archivo > Publicar.
  • Archivo > Compartir.
  • Archivo > Enviar.
  • Archivo > Guardar y enviar.

Question 86

Question
Dentro de Access, ¿Cuál es el campo que más frecuentemente se suele utilizar para relacionar tablas?
Answer
  • La clave primaria.
  • La clave combinada.
  • Los campos de tipo fecha.
  • Los campos de tipo Objeto OLE.

Question 87

Question
Dentro de Access, Tenemos un campo llamado f_nac y queremos que se muestre como Fecha de nacimiento, ¿cuál sería la sintaxis adecuada a introducir en la cuadrícula QBE?
Answer
  • f_nac as Fecha de nacimiento
  • Fecha de nacimiento as f_nac
  • f_nac: Fecha de nacimiento.
  • Fecha de nacimiento: f_nac

Question 88

Question
Dentro de Access, queremos que se muestren los datos de todos los alumnos que están apuntados a algún curso actualmente. ¿Qué tipo de combinación deberemos de realizar?
Answer
  • Del tipo 1: Incluye las filas donde los campos combinados de ambas tablas sean iguales.
  • Del tipo 2: Incluye todos los registros de la primera tabla y sólo los registros donde los campos combinados sean iguales a la segunda.
  • Del tipo 2: Incluye todos los registros de la segunda tabla y sólo los registros donde los campos combinados sean iguales a la primera.
  • Ninguna de las anteriores

Question 89

Question
Dentro de Access, la información del encabezado de informe...
Answer
  • Se repetirá en cada una de las páginas del informe, en la zona superior.
  • Se repetirá en cada una de las páginas del informe, en la zona inferior.
  • Se mostrará una sola vez, al principio del informe.
  • Se mostrará una sola vez, al final del informe.

Question 90

Question
Dentro de Access, Quieres imprimir un informe sobre tus clientes. El informe ya lo tenías creado, pero hay una columna que no quieres que se muestre (DNI) para esta impresión, ¿qué harás?
Answer
  • Crear un nuevo informe, total, con el asistente no cuesta apenas.
  • Eliminar los controles que representan el título y el valor del DNI de la zona Encabezado de página y Detalle.
  • Cambiar la propiedad Visible de los controles para el DNI a No.
  • Imprimirlo al cual y luego tachar la columna.

Question 91

Question
Dentro de Access, para cerrar un informe mediante una macro utilizaremos la acción...
Answer
  • CerrarInforme.
  • CerrarVentana.
  • Cerrar.
  • Todas las respuestas son ciertas.

Question 92

Question
Dentro de Access, en un Panel de control, el comando Abrir el formulario en modo Edición te permite...
Answer
  • Abrir el formulario para editarlo en Vista de Diseño.
  • Abrir el formulario para poder editar sus registros.
  • Abrir el formulario para poder editar sus registros pero no introducir nuevos.
  • Ninguna de las anteriores.

Question 93

Question
Dentro de Access, desde las opciones de la base de datos podemos hacer que la base de datos se compacte automáticamente.
Answer
  • Sí, cada vez que se cierre.
  • Sí, cada vez que se abra.
  • Sí, es posible programar una compactación para un día y hora en particular.
  • Todas las anteriores son correctas.
Show full summary Hide full summary

Similar

Gestor de Contratación Pública (1)
GepiEC
Test sobre masculinidad
William Murillo
examen
saul alor
PRUEBA
MAC CAM
Test
jtanaka
Test bloque 5
Denisse Alegria
Independencia de México
Alejanda Aias
Todos mis RECURSOS...
Ulises Yo
Test de Inglés para la Prepa Abierta 3
Raúl Fox