Límites y continuidad

Description

Ejercicios interactivos
Manuel Ruiz
Quiz by Manuel Ruiz, updated more than 1 year ago
Manuel Ruiz
Created by Manuel Ruiz about 10 years ago
303
1

Resource summary

Question 1

Question
El valor de este límite es:
Answer
  • Infinito
  • - Infinito
  • Cero
  • No tiene límite

Question 2

Question
El TEOREMA DE BOLZANO puede enunciarse como: Sea f una función continua en un intervalo cerrado [blank_start][a, b][blank_end] y tal f(a) y f(b) son de [blank_start]distinto[blank_end] signo. Entonces existe algún c ∈ [blank_start](a, b)[blank_end] tal que f(c) = 0, es decir, su gráfica corta al eje [blank_start]X[blank_end] en algún punto del intervalo (a, b).
Answer
  • [a, b]
  • distinto
  • X
  • (a, b)

Question 3

Question
La función f(x) = sen (x) está acotada superiormente y tiene un extremo en y = 1 que no es un máximo absoluto
Answer
  • True
  • False

Question 4

Question
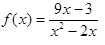
Las asíntotas de esta función son:
Answer
  • x = 0 y x = 2
  • x = 2 e y = 0
  • x = 0 e y = 2x -1
  • x = 0; x = 2 e y = 0

Question 5

Question
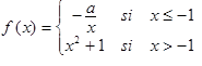
El valor de a para que esta función sea continua en todo R es:
Answer
  • a=-2
  • a=2
  • a=1
  • a=-1

Question 6

Question
Para que este límite sea finito, el valor de a ha de ser:
Answer
  • a = 1
  • a = 2
  • a = 0
  • Para cualquier valor de a el límite es infinito

Question 7

Question
Una función tiene en un punto una discontinuidad inevitable esencial o de [blank_start]segunda especie[blank_end] si alguno de los límites laterales [blank_start]no existen[blank_end]
Answer
  • segunda especie
  • no existen

Question 8

Question
¿Cuál/es de las siguientes afirmaciones es/son correctas?
Answer
  • Los infinitos potenciales son de grado mayor a los exponenciales.
  • Para ángulos pequeños el seno del ángulo es equivalente a la tangente del ángulo,
  • Para que una función sea continua en un punto es necesario y suficiente que los límites laterales en dicho punto sean iguales.
  • Para eliminar las indeterminaciones de tipo infinito menos infinito en la que intervienen expresiones con radicales se multiplica y divide por el conjugado de la expresión radical.

Question 9

Question
El límite de esta función es 0
Answer
  • True
  • False

Question 10

Question
¿En cuáles de los siguientes intervalos hay soluciones de la ecuación?
Answer
  • (-1, 0)
  • (5, 6)
  • (3, 4)
  • (-3, -1)
  • (0, 2)
Show full summary Hide full summary

Similar

Funciones - Test
sofialeone
Enseñando las matemáticas con el uso de las TICs
danilo2506
ANÁLISIS MORFOLÓGICO...
Ulises Yo
ANALISIS PEST NESTLE
chore13_viry
Análisis Financiero
kaross_114
El Discurso Público
randystreetbenal
Mapa conceptual teatro renacentista
Victor Garay
ANALISIS ENTORNO_ALPINA
Patricia Arjona G.
PROCESOS INTEGRADORES DEL PENSAMIENTO
Esteban Arias
ANALISIS FODA (HELADOS NESTLE)
Susana Castañeda