null
US
Sign In
Sign Up for Free
Sign Up
We have detected that Javascript is not enabled in your browser. The dynamic nature of our site means that Javascript must be enabled to function properly. Please read our
terms and conditions
for more information.
Next up
Copy and Edit
You need to log in to complete this action!
Register for Free
3961200
INTEGRALES INDEFINIDAS
Description
Selectividad ANÁLISIS Quiz on INTEGRALES INDEFINIDAS, created by Manuel Ruiz on 05/11/2015.
No tags specified
análisis
selectividad
Quiz by
Manuel Ruiz
, updated more than 1 year ago
More
Less
Created by
Manuel Ruiz
about 10 years ago
634
1
0
Resource summary
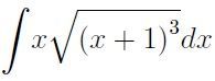
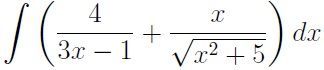
Question 1
Question
El resultado de esta integral es:
Image:
a1ec9be8-794f-48c8-93a6-d98864ca2b6c (image/jpeg)
Answer
Image:
f6262593-2e36-41bd-9f2f-428dbd01fff4 (image/jpeg)
Image:
2a854437-e0f7-4cd9-9aad-5997cdf7ba79 (image/jpeg)
Image:
825fea2b-08cb-421e-8fd2-8cdd3075a6c4 (image/jpeg)
Image:
eaf8711e-fb2f-43cc-9282-674079f451c9 (image/jpeg)
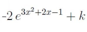
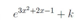
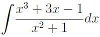
Question 2
Question
El resultado de esta integral es:
Image:
9200b826-3733-4d6f-abe1-f38c51170daf (image/jpeg)
Answer
Image:
56250dca-96d3-4c59-9f34-c679f707034f (image/jpeg)
Image:
5a17304a-a2fc-456a-8d87-305fb779dbf3 (image/jpeg)
Image:
d1a6140b-96bf-47b4-97be-b674347a37ed (image/jpeg)
Image:
8fe5f02a-4d67-4d36-ae6d-2d30cbe283af (image/jpeg)
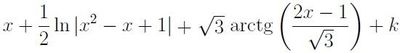
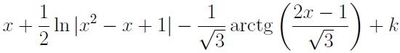
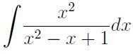
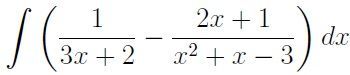
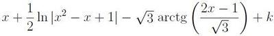
Question 3
Question
El resultado de esta integral es:
Image:
d7e99864-27d3-4e78-b4bb-ccfee0b4d81e (image/jpeg)
Answer
Image:
3d4695ab-610f-4332-851e-edd1e89aaced (image/jpeg)
Image:
24c9ec0b-1e09-4cfd-871f-3fa028509b96 (image/jpeg)
Image:
16b2fc1d-6dc6-407e-bec2-4e4713444b00 (image/jpeg)
Image:
c9caba86-8d63-440a-a89e-f11609825bb5 (image/jpeg)
Question 4
Question
El resultado de esta integral es:
Image:
f40d1ce6-ce3b-40a4-a971-c2eabf5a4f7a (image/jpeg)
Answer
Image:
7de28267-6016-4961-b928-e16e8e1ada42 (image/jpeg)
Image:
e1cdfc87-21e6-4279-92a2-148ffff7e5c9 (image/jpeg)
Image:
564499f6-ed57-40d0-bf0b-99954198df32 (image/jpeg)
Image:
656443d6-dc31-43b2-81e2-a7587ba3480f (image/jpeg)
Question 5
Question
El resultado de esta integral es:
Image:
8c42eedb-c07f-4928-9cfa-504033a167ce (image/jpeg)
Answer
Image:
17af5c16-8738-4f85-9500-ccf8aa1a6bed (image/jpeg)
Image:
6ad39bb9-1fe3-432c-84a4-217e2f8d30eb (image/jpeg)
Image:
61f0ec4f-b1ca-4c11-8459-26226afaa743 (image/jpeg)
Image:
71fded7f-9e28-484f-b345-61ca20a8d4c8 (image/jpeg)
Question 6
Question
El resultado de esta integral es:
Image:
f0642fab-8672-4da6-be91-d6e03273e496 (image/jpeg)
Answer
Image:
c4536029-2841-4bbb-bafb-2181b2648e51 (image/jpeg)
Image:
50ea077e-6c6b-4a98-9bb9-722d1bfc1777 (image/jpeg)
Image:
d129cb20-644b-4b99-bfe5-49d638d5eccb (image/jpeg)
Image:
62515568-3374-45f0-a9d7-29d35191e69a (image/jpeg)
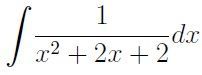
Question 7
Question
El resultado de esta integral es:
Image:
2cdc42cb-4ff5-489a-b6bf-80c043aebf74 (image/jpeg)
Answer
Image:
08de5fd6-c416-4649-a2d6-e2303a2db2fa (image/jpeg)
Image:
61f6ab51-9020-476f-baef-22415414423f (image/jpeg)
Image:
f564fedc-b32d-40b2-9e0b-36cf97eedab3 (image/jpeg)
Image:
8ba96877-11ed-429e-80d1-4667dc296884 (image/jpeg)
Question 8
Question
El resultado de esta integral es:
Image:
5f4b82cd-a411-43fa-904f-e1776962ff28 (image/jpeg)
Answer
Image:
26f57798-b8c0-469e-9fbc-4138f1278c03 (image/jpeg)
Image:
74b33ff1-a4cf-4243-a19a-c93e65213e0a (image/jpeg)
Image:
3af94801-dc4f-4461-867f-47d9b12548a5 (image/jpeg)
Image:
71ab22c3-9bbc-47ff-bfd4-36d3e2715e5c (image/jpeg)
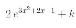
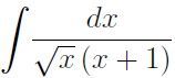
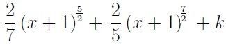
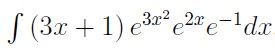
Question 9
Question
El resultado de esta integral es:
Image:
4366ae27-0a41-4c47-9f55-d79d7582fa7b (image/jpeg)
Answer
Image:
2f2e70a2-6d3c-4f6e-bc9c-ce7b6cc07ce4 (image/jpeg)
Image:
a958322b-1add-440c-b253-9e8c01b17544 (image/jpeg)
Image:
2acfc5e0-6bab-48c8-a190-f3446456168e (image/jpeg)
Image:
47a9793b-abe8-40d6-af0a-9a49e4c06d8b (image/jpeg)
Question 10
Question
El resultado de esta integral es:
Image:
7fe10348-3630-4d0f-81db-158c3068f2f3 (image/jpeg)
Answer
Image:
6c2bb0f3-b495-4302-8e03-0844e65fb2c0 (image/jpeg)
Image:
834fbea6-1af3-4965-b579-25aba8fbb243 (image/jpeg)
Image:
a58bb8ce-97d1-440d-b983-89c8662e79f9 (image/jpeg)
Image:
69c2037c-82eb-4516-bbcc-9210dd97fcdd (image/jpeg)
Question 11
Question
El resultado de esta integral es:
Image:
ae26e06f-55d5-4882-85cb-c85e49c1a6f9 (image/jpeg)
Answer
Image:
6e8584fb-c948-4553-b92f-b289af6b995f (image/jpeg)
Image:
15400f56-92db-4ce1-b4d0-d1bc52832009 (image/jpeg)
Image:
8d6f7407-dc64-40cd-a14c-a9853fef104e (image/jpeg)
Image:
1a503dcf-7620-4101-a210-0d04005bca1f (image/jpeg)
Question 12
Question
El resultado de esta integral es:
Image:
82d7fb3b-a756-418c-bb2b-2f13f15b5df0 (image/jpeg)
Answer
Image:
7ea6c52b-b7dc-4b07-9c4c-8209e9e79a6a (image/jpeg)
Image:
8468195f-7f2e-42b9-a04e-eca0eb77097b (image/jpeg)
Image:
d9e152da-437a-475a-9a7b-cc0e81401a05 (image/jpeg)
Image:
d0cedcd2-7c1b-483e-814e-511715543ce3 (image/jpeg)
Show full summary
Hide full summary
Want to create your own
Quizzes
for
free
with GoConqr?
Learn more
.
Similar
Integrales Indefinidas
Rupert012
Enseñando las matemáticas con el uso de las TICs
danilo2506
Funciones - Test
sofialeone
ANÁLISIS MORFOLÓGICO...
Ulises Yo
ANALISIS PEST NESTLE
chore13_viry
Análisis Financiero
kaross_114
El Discurso Público
randystreetbenal
Mapa conceptual teatro renacentista
Victor Garay
ANALISIS ENTORNO_ALPINA
Patricia Arjona G.
PROCESOS INTEGRADORES DEL PENSAMIENTO
Esteban Arias
ANALISIS FODA (HELADOS NESTLE)
Susana Castañeda
Browse Library