Cuestionario 2° Bimestre

Description

Examen correspondiente a 2° bimestre Primaria ciclo escolar 2015-2016
Amin Zarate de la Cruz
Quiz by Amin Zarate de la Cruz, updated more than 1 year ago
Amin Zarate de la Cruz
Created by Amin Zarate de la Cruz almost 10 years ago
709
0

Resource summary

Question 1

Question
Lee el siguiente texto y contesta los reactivos 1 al 5 ¿QUÉ ES UN TORNADO? Un tornado es un torbellino violento que se extiende desde las nubes hasta la superficie terrestre. Después de unos minutos se desplaza rápidamente y sus vientos pueden alcanzar velocidades de 400 kilómetros por hora o más; sin embargo cambian de dirección de forma errática y causan gran destrucción. Algunas veces ocurren durante una tormenta eléctrica o un huracán. En promedio, los tornados dejan devastación en una franja de 15 km de largo por 180 m. de ancho pero algunos llegan a destrozar áreas de 80 km de largo por 1.6 km de ancho. La fuerza más destructiva de los tornados está en el embudo. Al desplazarse rápidamente hacia arriba en espiral, ese embudo succiona casas, árboles y puede elevar objetos tan pesados como un auto, un árbol o una vaca. ¿Cuál de las siguientes preguntas nos ayuda a aumentar la información en el texto anterior?
Answer
  • ¿Qué es un tornado?
  • ¿Cuándo ocurre un tornado?
  • ¿Cuántas clases de tornado existen?
  • ¿Cuáles son las consecuencias de un tornado?

Question 2

Question
2. ¿Qué tipo de palabras son las que están resaltadas en el texto (Después, sin embargo) y para qué se usan?
Answer
  • Nexos: se usan para unir oraciones.
  • Sutantivos: se usan para nombrar.
  • Adjetivos: son para describir.
  • Verbos: nos indican acciones.

Question 3

Question
¿Cuál es la pregunta adecuada para investigar sobre los tornados?
Answer
  • ¿Ayer hubo un tornado?
  • ¿Qué es un tornado?
  • ¿Qué opinas sobre los tornados?
  • ¿Un tornado es bueno o malo?

Question 4

Question
¿Cuál de los siguientes nombres de libros, me sirve para investigar sobre los tornados?
Answer
  • Diccionario Bilingüe.
  • Relatos de leyendas.
  • Historia de la Reforma.
  • Desastres naturales

Question 5

Question
Por medio de la siguiente pregunta, se puede localizar la causa-efecto de un tornado.
Answer
  • ¿Cuántos tipos de tornados existen?
  • ¿Qué ocasiona un tornado?
  • ¿Hace cuánto tiempo existen los tornados?
  • ¿Había tornados en la era prehispánica?

Question 6

Question
Las leyendas son narraciones que pasan de generación en generación con historias extraordinarias y fantásticas.
Answer
  • True
  • False

Question 7

Question
Lee el siguiente texto y contesta “Se veía un lugar común, con un monte al horizonte y arbustos por doquier, pero a media noche las piedras que estaban en el piso cruzando el arroyo empezaban a tomar vida. Se escuchaban voces platicando, las piedras habían despertado. Eran personas que le pidieron a Dios quedarse en su tierra que tanto querían y se los concedió pero convertidos en piedras, con la oportunidad de revivir solo en las noches por un momento…” De acuerdo al texto anterior, elige el hecho fantástico.
Answer
  • Se veía un lugar común.
  • Las piedras habían despertado.
  • Había un monte al horizonte
  • Con arbustos por doquier

Question 8

Question
¿Por qué razón la narración de una leyenda se modifica?
Answer
  • Porque los escritores cambian.
  • Porque los sucesos cambian.
  • Por el cambio de lengua.
  • Por el transcurso del tiempo y al pasar de boca en boca

Question 9

Question
Son características de las leyendas, excepto:
Answer
  • Todos sus elementos son fantásticos.
  • Ubican un suceso de algún lugar real o específico.
  • Además de ser por escrito se cuentan oralmente.
  • Tienen diferentes versiones según quien las cuente.

Question 10

Question
Elige una familia lexica
Answer
  • Martillo, martes, marítimo.
  • Fuerza, fuerte, fuego.
  • Cocina, cocinero, cocinar.
  • Collar, collado, coyol.

Question 11

Question
Mantener informado al público sobre temas de interés es una función de los boletines informativos.
Answer
  • True
  • False

Question 12

Question
Son características que debe tener un boletín informativo en su contenido, excepto:
Answer
  • Párrafos breves y directos.
  • Fotografías e ilustraciones.
  • Lenguaje sencillo y accesible.
  • Diálogos y acotaciones.

Question 13

Question
Lee el siguiente fragmento de boletín informativo y contesta el reactivo 13 y 14. Boletín informativo para las familias El videojuego es un programa informático que representa una realidad simulada. Sirve para el entretenimiento y se basa en la interacción entre varias personas y el dispositivo. El videojuego no sólo se utiliza en la consola, sino que muchos de nuestros adolescentes juegan a través del móvil o las páginas web. Puesto que es una herramienta muy utilizada por nuestros hijos, debemos tener mucho cuidado al hacer la compra de un videojuego. El contenido de algunos no es adecuado a la edad del niño, mientras que otros están llenos de agresión y violencia social… ¿Cuál es el tema del boletín anterior?
Answer
  • La violencia social.
  • El videojuego y su contenido.
  • Cómo comprar un videojuego.
  • Los adolescentes y sus juegos favoritos.

Question 14

Question
El boletín va dirigido a padres e hijos
Answer
  • True
  • False

Question 15

Question
Son tres aspectos que se deben revisar cuidadosamente al redactar un boletín informativo
Answer
  • El contenido.
  • La edición.
  • La difusión.
  • Los videos

Question 16

Question
Si Don Federico juntó $3570 de ganancia en la taquería en una semana, ¿cuánto obtuvo por día?
Answer
  • 500
  • 510
  • 450
  • 550

Question 17

Question
Si en una papelería se adquirieron 200 libretas con un valor de $4700, ¿cuánto costó cada una?
Answer
  • $20.3
  • $28.0
  • $23.5
  • $21.0

Question 18

Question
Observa lo siguiente y contesta los reactivos 18 y 19. ¿Cuál es la ganancia por cada paleta vendida?
Answer
  • $5
  • $4
  • $3
  • $2

Question 19

Question
¿Cuáles son los valores que faltan en la tabla de proporcionalidad?
Answer
  • 7 y 27
  • 4 y 24.
  • 6 y 26.
  • 8 y 28.

Question 20

Question
Un ciempiés puede llegar a medir hasta 27.5 cm, mientras que un alacrán puede medir hasta 8 cm, ¿cuánto más mide el ciempiés que el alacrán?
Answer
  • 16 cm.
  • 19.5 cm.
  • 17.5 cm.
  • 20 cm.

Question 21

Question
¿Cuál es el triángulo que tiene la altura marcada correctamente?

Question 22

Question
Monserrat tiene $98.00 que ha ahorrado en un mes, pero quiere usarlo en 5 recreos, ¿cuánto podrá gastar en cada recreo?
Answer
  • $20.00
  • $19.60
  • $14.90
  • $9.00

Question 23

Question
Lee la siguiente frase y decide su reflexión: “Todos los triángulos tienen tres alturas”
Answer
  • Es verdad porque tienen tres lados.
  • Es falso pues solo tienen una base.
  • Es falso pues tienen 6.
  • Es verdad y se dividen entre 3.

Question 24

Question
Si queremos ubicar sobre la siguiente recta la fracción 14/8.
Answer
  • b

Question 25

Question
Cual es la letra en la que se encuentra ubicado el número 18.
Answer
  • a

Question 26

Question
Elige la opción que sea igual a 18/7.

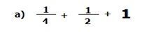
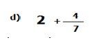
Question 27

Question
Joaquín se ganó $5000 con un billete de lotería y decidió compartir el premio con su mamá y su hermana de la siguiente manera: Joaquín se quedó con 2/5 , del total del premio, a su mamá le dio 2/3 de lo que quedaba y el resto se lo dio a su hermana, ¿qué fracción del total le tocó a su hermana?
Answer
  • 1/3
  • 2/3
  • 1/5
  • 2/5

Question 28

Question
¿Cuál será el área de la siguiente figura considerando que cada cuadro es igual a 1 cm2?
Answer
  • 21 cm2
  • 22 cm2
  • 23 cm2
  • 24 cm2

Question 29

Question
Don Diego va a sembrar maíz en un terreno en forma de romboide y necesita conocer primero su área. Sus medidas son las siguientes: ¿Cuál será su área?
Answer
  • 115 m2
  • 3216 m2
  • 230 m2
  • 19 m2

Question 30

Question
Don Pancho, amigo de Don Diego, tambien tiene un terreno como el siguiente, al cual quiere sembrarle limón:
Answer
  • 1710 m2
  • 83 m2
  • 855 m2
  • 1000 m2

Question 31

Question
¿Qué es la biodiversidad?
Answer
  • Es la variedad de culturas que tiene un país
  • Es la variedad de lenguas indígenas.
  • Es la variedad de costumbres de una comunidad
  • Es la variedad de seres vivos en la Tierra.

Question 32

Question
Los organismos que habitan la Tierra, se han dividio en 5 reinos, ¿a qué reino pertenece la hormiga?

Question 33

Question
Elige la frase verdadera.
Answer
  • “Los seres vivos no se relacionan”.
  • “Las plantas son seres sin vida”.
  • “Los seres vivos se relacionan con su entorno: otros seres vivos y su medio físico”.
  • “Los hongos son del reino protista”.

Question 34

Question
Es el conjunto de organismos que viven en un área determinada y que establecen relaciones entre ellos y los factores abióticos (agua y clima).
Answer
  • Ecosistema
  • Seres bióticos
  • La naturaleza
  • Seres sin vida

Question 35

Question
Es la región natural que se caracteriza por tener temperaturas de 17 a 30° C. También posee enorme variedad de flora y fauna con árboles de hasta 25 metros.
Answer
  • Zona de arrecifes.
  • Desierto.
  • Estuario.
  • Bosque tropical.

Question 36

Question
Se caracteriza por escasez de lluvia la mayor parte del año y presenta temperaturas extremas entre el día y la noche.
Answer
  • Zona de arrecifes.
  • Desierto.
  • Estuario
  • Bosque tropical

Question 37

Question
En la zona costera existen lagunas donde se mezcla el agua dulce con la salada, a la cual se le conoce como:
Answer
  • Zona de arrecifes.
  • Desierto.
  • Estuario.
  • Bosque tropical..

Question 38

Question
¿Quién ha provocado la alteración de extensas áreas verdes y la disminución o desaparición de diversas especies?
Answer
  • El efecto invernadero.
  • El movimiento de la Tierra.
  • El crecimiento de las ciudades y la demanda de servicios y recursos.
  • El agua

Question 39

Question
Con el desarrollo de la agricultura y el pastoreo, los seres humanos ya no tuvieron la necesidad de desplazarse y se establecieron, fue así que se conviertieron en:
Answer
  • Nómadas
  • Pastores
  • Sedentarios
  • Pescadores

Question 40

Question
Los siguientes son recursos no renovables:
Answer
  • El metal y petróleo.
  • El gas y los animales
  • El algodón y el pino.
  • El agua y el pasto.

Question 41

Question
Son recursos renovables, excepto:
Answer
  • Los peces.
  • El gas natural.
  • Los pinos
  • La madera.

Question 42

Question
¿A qué llamamos sotobosque?
Answer
  • Al corte de los árboles.
  • A la vegetación que crece a la sombra de los árboles.
  • Al plantío de árboles.
  • A los árboles cuando se secan.

Question 43

Question
¿Cuál es una de las causas de que un ecosistema sea alterado?
Answer
  • Cuando existe la tala inmoderada de árboles.
  • Cuando regamos las plantas.
  • Cuando pescamos para comer.
  • Cuando hay cambio de estación del año.

Question 44

Question
Elige el que no es un contaminante producido en casa:
Answer
  • Detergentes
  • Aceites.
  • Materia orgánica.
  • Sustancias tóxicas industriales.

Question 45

Question
Son acciones para aprovechar adecuadamente el agua, excepto:
Answer
  • Utilizar detergentes biodegradables.
  • Regar las plantas a las 2 de la tarde.
  • Cerrar la llave mientras te cepillas los dientes.
  • Bañarse en el menor tiempo posible.
Show full summary Hide full summary