Ecuaciones Cuadráticas

Description

Concepto básicos de las ecuaciones cuadráticas (fórmula general)
yovanyguerra
Quiz by yovanyguerra, updated more than 1 year ago
yovanyguerra
Created by yovanyguerra almost 10 years ago
189
1

Resource summary

Question 1

Question
Una ecuación cuadrática es la que tiene como mayor exponente en su variable el número dos (2)
Answer
  • True
  • False

Question 2

Question
Una ecuaciones cuadrática que figura describe gráficamente
Answer
  • una recta
  • una parabola
  • una hiperbola

Question 3

Question
En una ecuación cuadrática, cuando b y c son distinto de cero, es una ecuación: [blank_start]completa[blank_end]
Answer
  • completa

Question 4

Question
Los Griegos fueron los que iniciaron el estudio de las Ecuaciones Cuadráticas
Answer
  • True
  • False

Question 5

Question
Fue el personaje que impulso el estudio de las Ecuaciones Cuadráticas: [blank_start]Diofanto de Alejandría[blank_end]
Answer
  • Diofanto de Alejandría

Question 6

Question
¿Cuáles son los tipos de Ecuaciones cuadráticas estudiadas?
Answer
  • Completas e Incompletas
  • Lineales
  • polinomiales

Question 7

Question
La fórmula general de la ecuación cuadrática es

Question 8

Question
Este radicando sólo existe cuando la raíz cuadrada es [blank_start]positiva[blank_end]
Answer
  • positiva

Question 9

Question
Si ∆ es positivo, la ecuación cuadrática tiene
Answer
  • ninguna solución
  • dos soluciones
  • una única solución

Question 10

Question
Si ∆ es negativo, la ecuación cuadrática [blank_start]no tiene solución[blank_end]
Answer
  • no tiene solución

Question 11

Question
Si ∆ es cero, la ecuación cuadrática tiene una única solución
Answer
  • True
  • False

Question 12

Question
Cuando en una ecuación cuadrática b = 0,, se dice que es una ecuación completa
Answer
  • True
  • False

Question 13

Question
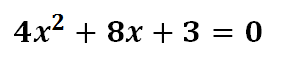
Cuál de las siguientes ecuaciones es una ecuación cuadratica

Question 14

Question
Cuando A es igual a cero, la ecuación representa una ecuación lineal
Answer
  • True
  • False

Question 15

Question
En una ecuación cuadrática que coeficiente numérico , sabiendo que son A, B y C, cual nunca debe faltar [blank_start]A[blank_end]
Answer
  • A
Show full summary Hide full summary

Similar

Ecuaciones (Primer Grado)
Diego Santos
METODOS PARA RESOLVER ECUACIONES SIMULTANEAS
José Juan Luna Ortega
Ecuaciones Estadísticas
Diego Santos
Sistema de ecuaciones
MaruGonzalez
Derivadas
erendira.aviles
ORIGEN DE LOS LOGARITMOS
Hugo Fernando
Test 1. I medio
Samuel Campos Cid
Matemáticas Avanzadas
Estefi Fernandez
Resolución de ecuaciones cuadráticas
Jeanine Pimentel
Resolución de ecuaciones Cuadráticas
Melissa Marrero Marte
Ecuaciones Cuadráticas
Loreley Villar