psu1

Description

preguntas ensayo demre 2015
hernan moraga
Quiz by hernan moraga, updated more than 1 year ago
hernan moraga
Created by hernan moraga almost 10 years ago
82
1

Resource summary

Question 1

Question
El valor de ( 0,1 : 0,01) . 0,1 =
Answer
  • 1
  • 10
  • 0,1
  • 0,01

Question 2

Question
El número 12,58623333 redondeado a la centésima es:
Answer
  • 12,57
  • 12,58
  • 12,59
  • 12,586

Question 3

Question
En la recta numérica se ubican los puntos a, b, c y d. ¿En cuál de las siguientes operaciones el resultado es siempre menor que 1?
Answer
  • d +a
  • a.b
  • a-c
  • d-c

Question 4

Question
Perico viaja un trayecto de 800 km. Si la cuarta parte lo realiza en bus, los tres quintos del resto en vión y lo que queda en tren.¿Cuántos km viajó en tren?
Answer
  • 240 km
  • 480 km
  • 360 km
  • 320 km

Question 5

Question
Transforma a fracción el número decimal periódico
Answer
  • 125/10
  • 125/9
  • 113/9
  • 113/10

Question 6

Question 7

Question
Perico entra a una librería con el objetivo de gastar exactamente $ 100.000 en comprar 70 lápices. En la librería tienen solo dos tipos de lápices, uno vale $ 1.500 y el otro vale $ 1.200. ¿Cuántos lápices de cada tipo debe comprar en la librería, para cumplir su objetivo?
Answer
  • 53 y 17
  • 54 y 16
  • 53 y 16
  • Perico no puede cumplir su objetivo.

Question 8

Question
Una cuerda de 243 cm se corta sucesivamente, de manera que después de cada corte se escoge la mayor cuerda resultante, cuya longitud es 2/3 de la longitud de la cuerda anterior. ¿Cuál es la longitud de la mayor cuerda resultante luego de cinco cortes?
Answer
  • 32,4 cm
  • 72,9 cm
  • 32 cm
  • 40,5 cm

Question 9

Question
¿Cuál de las siguientes expresiones tiene un valor diferente a dos por raíz de 5?

Question 10

Question
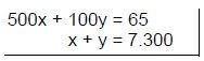
Perico ahorró dinero juntando en total 65 monedas entre monedas de $ 100 y de $ 500. Si en total ahorró $ 7.300, ¿cuál de los siguientes sistemas permite encontrar la cantidad (y) de monedas de $ 500 que ahorró, sabiendo que x es la cantidad de monedas de $ 100?
Show full summary Hide full summary

Similar

CÁLCULO MENTAL
JL Cadenas
Funciones - Test
sofialeone
Enseñando las matemáticas con el uso de las TICs
danilo2506
ORIGEN DE LOS LOGARITMOS
Hugo Fernando
Circulo y circunferencia
jessica silveira
Notación Científica mapa mental
arojasaci17
Sistemas de ecuaciones lineales método cramer
Patricio Cáceres
La enseñanza de la Geometría
Sabina Sosa
Lógica: tablas de verdad. Actividades (Àlex Lluch)
Àlex Lluch
PROPIEDADES DE LAS PROPORCIONES
AlejoLop12 RMC
SUCESIONES NUMÉRICAS
Maria Elena Ramirez Dominguez