Parcial Análisis Numérico Corte 1

Description

Parcial 1 Análisis Numérico Quiz on Parcial Análisis Numérico Corte 1 , created by Luis Ferro on 10/03/2016.
Luis  Ferro
Quiz by Luis Ferro, updated more than 1 year ago
Luis  Ferro
Created by Luis Ferro over 9 years ago
155
1

Resource summary

Question 1

Question
Las funciones f y g mostradas en la imagen, se desea determinar uno de los puntos de cortes de estas dos funciones usando el método de Newton. La solución que se obtiene utilizando como dato inicial x=0,012 con un error del 0,0001

Question 2

Question
La función f(x) tiene una cantidad infinita de raíces, se quiere emplear el método de la bisección para encontrar una solución aproximada de la primera raíz de la ecuación , en el intervalo [0.1, 0.5], con una exactitud de 0.01 .
Answer
  • x=0.453125
  • x=0.473824
  • x=0.371231
  • x=0.405325

Question 3

Question
La función f(x) tiene una cantidad infinita de raíces, Aproximar mediante el método de Newton-Raphson la raíz de f(x)=0 , tomando como valor inicial x=0.6, con una exactitud de 0.00001
Answer
  • x=0.45253
  • x=0.40523
  • x=0.36713
  • x=0.41789

Question 4

Question
Se quiere con la función dada usando método de punto fijo estimar la raíz de dicha ecuación con una aproximación de 3 cifras decimales exactas.
Answer
  • x=0.5669485
  • x=0.5019415
  • x=0.6666777
  • x=0.567143

Question 5

Question
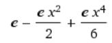
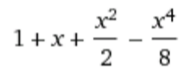
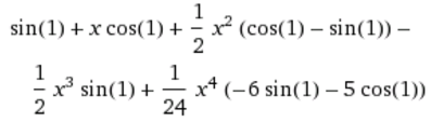
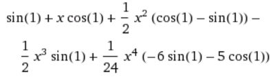
Encontrar las serie de Taylor de grado 4 en el punto a=0
Show full summary Hide full summary

Similar

Método numérico de aproximación por Taylor.
Brayan Alexander Ospina Vasquez