null
US
Sign In
Sign Up for Free
Sign Up
We have detected that Javascript is not enabled in your browser. The dynamic nature of our site means that Javascript must be enabled to function properly. Please read our
terms and conditions
for more information.
Next up
Copy and Edit
You need to log in to complete this action!
Register for Free
4841946
Test
Description
Test
No tags specified
monomio
prueba
matematicas
matemática
examen
Quiz by
baqs_19
, updated more than 1 year ago
More
Less
Created by
baqs_19
over 9 years ago
5
0
0
Resource summary
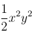
Question 1
Question
Responde a la imagen.
Image:
c36ecddb-4468-454f-8669-c85786a2df00 (image/png)
Answer
Image:
62f320fa-f48e-4532-8180-d74c46d083e3 (image/png)
Image:
eb1937d7-1c90-4cd6-b1bc-215ded75b554 (image/png)
Image:
2347fe13-c475-4104-8072-e0dd5fe530d6 (image/png)
Question 2
Question
Responde a la imagen.
Image:
7b26e9d2-2cdf-4f0a-83d6-d0072117cd4a (image/png)
Answer
Image:
b6248909-25fe-41b9-abe5-6ef32642e5db (image/png)
Image:
7e2e8252-3ade-4b7c-933b-75f4b8f1a805 (image/png)
Image:
c345fc6c-1b48-407e-9c62-1d59e50e5b31 (image/png)
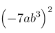
Question 3
Question
Responde a la imagen.
Image:
ce3d0e8e-0223-4b60-b43a-4350fcc8b567 (image/png)
Answer
Image:
3da3fd29-7bf6-42a2-af6d-dec38c9c2ca0 (image/png)
Image:
3b8773e7-e11d-4e68-81c9-fb8ddadc2dcb (image/png)
Image:
d2c2290e-441b-417d-8968-a93f6263ec12 (image/png)
Show full summary
Hide full summary
Want to create your own
Quizzes
for
free
with GoConqr?
Learn more
.
Similar
Sucesiones Aritméticas
Elaine del Valle
Aplicaciones de las derivadas
Marta Arroyo
EXAMEN DE MATEMÁTICAS 1ER GRADO SECUNDARIA 5to Bim
FELIPE SOLTERO
Fracciones
Ernesto Mazariegos
CÁLCULO MENTAL
JL Cadenas
Ecuaciones Estadísticas
Diego Santos
Matemáticasen la VidaCotidiana
Diego Santos
FRACCIONES...
JL Cadenas
Ejemplos de Preguntas de Pensamiento Analítico
Raúl Fox
FRACCIONES...
Ulises Yo
Números Racionales - Parte 1
Samuel Campos Cid
Browse Library