null
US
Sign In
Sign Up for Free
Sign Up
We have detected that Javascript is not enabled in your browser. The dynamic nature of our site means that Javascript must be enabled to function properly. Please read our
terms and conditions
for more information.
Next up
Copy and Edit
You need to log in to complete this action!
Register for Free
491461
200_MATEMATICAS
Description
AREA 200 BIO-AGROPECUARIO Quiz on 200_MATEMATICAS, created by simulacro2014 on 18/01/2014.
No tags specified
area 200 bio-agropecuario
area 200 bio-agropecuario
Quiz by
simulacro2014
, updated more than 1 year ago
More
Less
Created by
simulacro2014
almost 12 years ago
Copied by
simulacro2014
almost 12 years ago
11
0
0
Resource summary
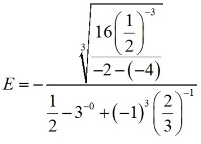
Question 1
Question
El valor numérico de la expresión
Image:
1 (image/jpg)
Answer
a) -3
b) 4
c) 2
d) 5
e) N.A.
Question 2
Question
Hallar el valor numérico de:
Image:
2 (image/jpg)
Answer
a) 3/22
b) -3/22
c) 22/3
d)-22/3
e) N.A.
Question 3
Question
Calcular la solución de la siguiente ecuación: log(X+6) = 1 + log(X-3)
Answer
a) 1
b) -2
c) 4
d) -4
e) N.A.
Question 4
Question
Resolviendo log₇[log₂ x-2]=0, se obtiene:
Answer
a) x=2
b) x=8
c) x=-2
d) x=6
e) N.A.
Question 5
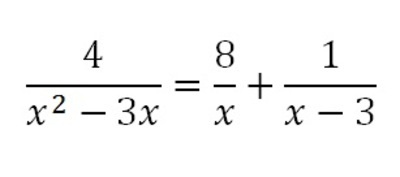
Question
Al resolver la ecuacion, encontrar el valor numerico de 9x-2
Image:
3 (image/jpg)
Answer
a) 29
b) 26
c) 32
d) 30
e) NA
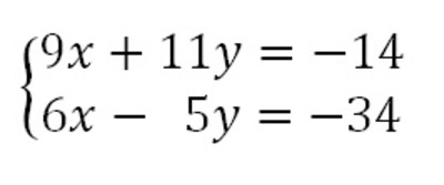
Question 6
Question
Al resolver el sistema, encontrar el valor de Y-X
Image:
4 (image/jpg)
Answer
a) - 6
b) -2
c) 6
d) 8
e) NA
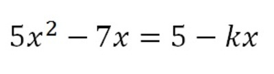
Question 7
Question
La suma de las raices en la ecuacion es 2/5; entonces el valor de k es:
Image:
5 (image/jpg)
Answer
a)-5
b) 5
c) -5/3
d) 6
e) NA
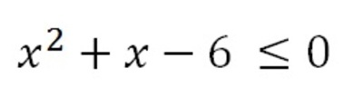
Question 8
Question
Resuelve la siguiente inecuacion:
Image:
6 (image/jpg)
Answer
a) [-3,2]
b)[-3,-5]
c)[3,2]
d)[-3,-2]
e) NA
Question 9
Question
Simplificando la expresión :
Image:
7 (image/jpg)
Answer
a) tagx
b) cosecx
c) cotagx
d) cosx
e) NA
Question 10
Question
si cosecx=29/20 , entonces el valor numérico de:
Image:
8 (image/jpg)
Answer
a) 6/37
b) 7/37
c)7/39
d)6/35
e)NA
Show full summary
Hide full summary
Want to create your own
Quizzes
for
free
with GoConqr?
Learn more
.
Similar
200_BIOLOGÍA
simulacro2014
200_QUIMICA
simulacro2014
200_LENGUAJE
simulacro2014
Browse Library