null
US
Sign In
Sign Up for Free
Sign Up
We have detected that Javascript is not enabled in your browser. The dynamic nature of our site means that Javascript must be enabled to function properly. Please read our
terms and conditions
for more information.
Next up
Copy and Edit
You need to log in to complete this action!
Register for Free
4948299
Test Trigonometria
Description
JUAN DAVID MEJIA CRIOLLO 99051319105 JUAN JOSE MARIN LOPEZ 99040312680
Quiz by
Juan D Mejia
, updated more than 1 year ago
More
Less
Created by
Juan D Mejia
over 9 years ago
160
2
1
Resource summary
Question 1
Question
Desde un punto P del suelo vemos una bandera en lo más alto de una torre. Los ángulos A y B de la figura miden 30º y 45º respectivamente. Si el mástil de la bandera mide 3 m, calcular la altura del edificio.
Image:
f535934b-8143-4e1d-82f3-f7dee82c51f0 (image/png)
Answer
26 m
2/√3-5 m
3/√3-1 m
10 m
Question 2
Question
la gráfica pertenece a la función y = 2 + 2cos(x/2)
Image:
9a65bf6e-25ba-4709-95ef-9b2fe0b57ea3 (image/png)
Answer
True
False
Question 3
Question
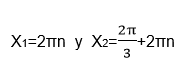
El resultado de la ecuación es:
Image:
961183ed-b599-4576-a8aa-ca72c8887de5 (image/png)
Answer
Image:
bc1f80b9-9119-4300-9b9e-50819b31dc45 (image/png)
Image:
f1cbcbc5-071e-4912-bbc6-926d37b03a2c (image/png)
Image:
1228db76-609e-49d6-b7b3-f0dc5dadd8d3 (image/png)
Image:
cf38c908-4cd4-4d36-9bf9-02a7d2bf24b5 (image/png)
Question 4
Question
cual es la ampliación
Image:
997bb5a9-8633-4a03-a780-28b38696a67b (image/png)
Answer
3
1
2π
π/2
Question 5
Question
Cuales identidades son correctas 1. sen(2x)=2sen(x)cos(X) 2. cos(2x)= Cos(X)sen(x)+sen(X)cos(X) 3. 1+cot^2(x)=csc^2(x) 4. sen(A+B)= sen(A)cos(B)+sen(B)cos(A)
Answer
1 y 3
2 y 4
2,3 y 4
1,3 y 4
Show full summary
Hide full summary
Want to create your own
Quizzes
for
free
with GoConqr?
Learn more
.
Similar
Browse Library