null
US
Sign In
Sign Up for Free
Sign Up
We have detected that Javascript is not enabled in your browser. The dynamic nature of our site means that Javascript must be enabled to function properly. Please read our
terms and conditions
for more information.
Next up
Copy and Edit
You need to log in to complete this action!
Register for Free
4959525
QUIZ DE FUNCIÓN A TROZOS
Description
Mediante el recurso, los estudiantes podrán evaluar su comprensión en el tema de F. a Trozos
No tags specified
análisis de graficos discontinuos
función a trozos
función a tramos
Quiz by
Rocio Quintero
, updated more than 1 year ago
More
Less
Created by
Rocio Quintero
over 9 years ago
1171
1
0
Resource summary
Question 1
Question
Según la ecuación presentada, es correcto afirmar que:
Image:
4430e6c1-0ff7-4b5c-9171-1aaf63721a60 (image/png)
Answer
Dom = R y Rango = R
Dom = R+ y Rango = R+
Dom = R+ y Rango = R
Dom = R y Rango = R+
Question 2
Question
La gráfica que corresponde a la función es:
Answer
A
Image:
d07c5248-5aa4-4577-9230-96f1dbee862a (image/png)
B
Image:
b35a5814-6a81-483b-a143-6c62baa9b3fe (image/png)
C
Image:
519f07b8-7654-40d8-bac7-548c76cc0070 (image/png)
D
Image:
1d164333-3500-4a7a-acbc-bd531119f516 (image/png)
Question 3
Question
Las discontinuidades que presenta la función son:
Answer
x = -1 y x = 1
x = -1 y y = -1
y = -1 y y = 1
x = -1
Question 4
Question
La función que corresponde a la Gráfica presentada es:
Image:
d41c36a5-1016-426b-b22f-183b6c5af6ec (image/png)
Answer
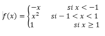
A.
Image:
f6725467-39d1-4f17-9f95-9a08299410a5 (image/png)
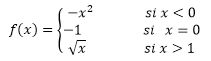
B.
Image:
36d55bc5-4db5-486f-b8b0-4d719b711fa4 (image/png)
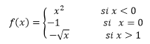
C.
Image:
55b96bf1-bb06-481d-ab24-37d1e2821442 (image/png)
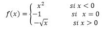
D.
Image:
dca128b8-d58b-4d9c-8b26-842126610d6d (image/png)
Question 5
Question
El Rango de la función presentada es:
Answer
R
R - {0}
R - {-1}
R+
Show full summary
Hide full summary
Want to create your own
Quizzes
for
free
with GoConqr?
Learn more
.
Similar
Browse Library