null
US
Sign In
Sign Up for Free
Sign Up
We have detected that Javascript is not enabled in your browser. The dynamic nature of our site means that Javascript must be enabled to function properly. Please read our
terms and conditions
for more information.
Next up
Copy and Edit
You need to log in to complete this action!
Register for Free
4962074
Test Trigonométrica- Cristian Calero y Cristian Murcia
Description
Quiz on Test Trigonométrica- Cristian Calero y Cristian Murcia, created by Eduardo Murcia on 28/03/2016.
Quiz by
Eduardo Murcia
, updated more than 1 year ago
More
Less
Created by
Eduardo Murcia
over 9 years ago
113
1
0
Resource summary
Question 1
Question
¿Cuanta amplitud tiene la gráfica de y=csc(x)?
Answer
A. 1
B. 2
C. 2π
D. Infinita
Question 2
Question
En el circulo unitario, ¿Como determinamos que valores corresponden al seno y al coseno respectivamente?
Answer
A. Mirando los valores en Y y los valores en X, respectivamente.
B. Mirando los valores en X y los valores en Y, respectivamente.
C. Utilizando transportador y/o compás.
D. Utilizando el cuadro de los Notables.
E. Utilizando solamente los valores del segundo y cuarto cuadrante, respectivamente.
F. A dedo
Question 3
Question
¿Cual es la identidad adecuada para Cos (A-B)?
Answer
A. Cos(A) Sen(B) + Sen(A) Cos(B)
B. Sen(A) Sen(B) + Cos(A) Cos(B)
C. Cos(A) Cos(B) - Sen(A) Sen(B)
D. Sen(A) Cos(B) - Sen(B) Cos(A)
Question 4
Question
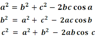
De las siguientes formulas, ¿Cual corresponde a la Ley del Seno?
Answer
Image:
8acf2e55-aef5-41ad-a971-aff84ece540b (image/png)
Image:
6be6ed3d-04b9-4b84-bb0c-a784070888bb (image/png)
Image:
90f4687c-a256-436d-921f-112c05e91d3d (image/png)
Image:
83c7ff99-f8d3-4d92-89cd-e10fa78ea8ac (image/jpeg)
Question 5
Question
¿Como se expresa la funcion trigonometrica inversa de Y=Sen(x)
Answer
Y=1/sen(x)
Y=arcsen(x)
Y=arccos(x)
Y=1-sen(x)
Show full summary
Hide full summary
Want to create your own
Quizzes
for
free
with GoConqr?
Learn more
.
Similar
Browse Library