Sistema de Ecuaciones

Description

MAtemática
Ana Machado
Quiz by Ana Machado, updated more than 1 year ago
Ana Machado
Created by Ana Machado over 9 years ago
72
0

Resource summary

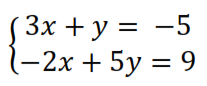
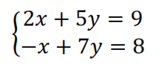
Question 1

Question
Selecciona cual de los siguientes pares ordenados (x;y) satisface a este sistema:
Answer
  • (173/100 ; 11/20)
  • (3/2 ; 1/2)
  • (-173/100 ; 11/20)
  • (-3/2 ; -1/2)

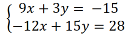
Question 2

Question
indica cual o cuales de los siguientes sistemas es equivalente al dado.

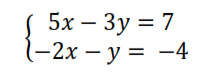
Question 3

Question
Este sistema se denomina Compatible Indeterminado.
Answer
  • True
  • False

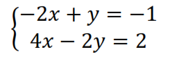
Question 4

Question
Este sistema se denomina Compatible Determinado.
Answer
  • True
  • False

Question 5

Question
Este sistema se denomina Incompatible.
Answer
  • True
  • False

Question 6

Question
¿Qué método analítico consiste en reemplazar una de las ecuaciones del sistema por una combinación lineal de las dos ecuaciones del sistema de la que resulte una ecuación que tenga solo una incógnita?
Answer
  • Método de Igualación
  • Método de Reducción
  • Método de Sustitución

Question 7

Question
¿Qué método analítico consiste en despejar una misma incógnita de ambas ecuaciones del sistema e igualar las expresiones obtenidas?
Answer
  • Método de Sustitución
  • Método de Reducción
  • Método de Igualación

Question 8

Question
¿Qué método analítico consiste en despejar una de las incógnitas de una de las ecuaciones del sistema y sustituir la expresión obtenida en la otra ecuación?
Answer
  • Método de Sustitución
  • Método de Reducción
  • Método de Igualación
Show full summary Hide full summary

Similar

Sistema de ecuaciones
MaruGonzalez
ORIGEN DE LOS LOGARITMOS
Hugo Fernando
Ecuaciones (Primer Grado)
Diego Santos
METODOS PARA RESOLVER ECUACIONES SIMULTANEAS
José Juan Luna Ortega
Ecuaciones Estadísticas
Diego Santos
CÁLCULO MENTAL
JL Cadenas
Derivadas
erendira.aviles
Test 1. I medio
Samuel Campos Cid
20 preguntas sobre sistemas operativos
esmeraldameza100
Matemáticas Avanzadas
Estefi Fernandez
Test de Conocimiento de un Tecnico en Sistemas
julian alberto c