null
US
Sign In
Sign Up for Free
Sign Up
We have detected that Javascript is not enabled in your browser. The dynamic nature of our site means that Javascript must be enabled to function properly. Please read our
terms and conditions
for more information.
Next up
Copy and Edit
You need to log in to complete this action!
Register for Free
5133841
Sistemas de Ecuaciones
Description
Test sistemas de ecuaciones
No tags specified
matemáticas sistemas secundaria
sistemas lineales
sistemas dos incógnitas
matemáticas
sistemas de ecuaciones
Quiz by
doloresmateo2012
, updated more than 1 year ago
More
Less
Created by
doloresmateo2012
over 9 years ago
102
0
0
Resource summary
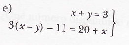
Question 1
Question
La solución del sistema de ecuaciones(sustitución) es:
Image:
2015a9f1-2d2a-4fe5-9305-afe2f16fab87 (image/png)
Answer
x=-1 y=3
x=1 y=-3
x=-1 y=-3
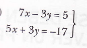
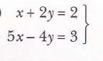
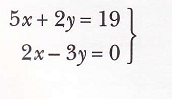
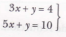
Question 2
Question
La solución del sistema de ecuaciones (igualación) es:
Image:
21c268eb-dc89-451c-b103-6d66ad38f02f (image/png)
Answer
x=-4 y=-2
x=4 y=2
x=-2 y=4
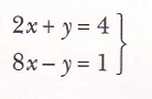
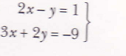
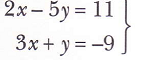
Question 3
Question
La solución del sistema de ecuaciones (reducción) es el par ordenado (-2,-3)
Image:
929d9302-8d38-4cc8-a864-299e0f9f1c4f (image/png)
Answer
True
False
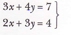
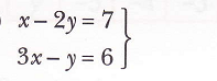
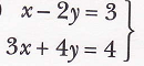
Question 4
Question
La solución del sistema de ecuaciones (sustitución) es:
Image:
95a5d018-2372-4a5a-b2ed-5991825a7d64 (image/png)
Answer
(-2,-3)
(-3,-2)
(2,3)
Question 5
Question
La solución del sistema de ecuaciones (igualación) es:
Image:
eaa6a6fc-f876-428c-8fd7-f7ddf94a9c7e (image/png)
Answer
x=-5 y=1
x=5 y=1
x=5 y=-1
Question 6
Question
La solución del sistema de ecuaciones (reducción) es:
Image:
33fa65e0-aef7-4c3b-b8f6-a5f7974650cd (image/png)
Answer
x=3 y=-5
x=5 y=3
x=-5 y=3
Question 7
Question
El sistema de ecuaciones (sustitución) tiene por solución:
Image:
6c24f322-2bda-486a-87d5-417df0749bb9 (image/png)
Answer
(2,-2)
(-1/2;2)
(2;-1/2)
Question 8
Question
El sistema de ecuaciones (igualación) tiene por solución:
Image:
1ac4f34f-742c-4cb0-8eaa-4ab4684e1e6c (image/png)
Answer
(-1,-3)
(-3,-1)
(1,3)
Question 9
Question
El siguiente sistema (sustitución) tiene como soluciones:
Image:
2d874dd7-7137-4765-92bc-d8bc54bc77cc (image/png)
Answer
(2,3)
(1/2;3)
(3,2)
Question 10
Question
El siguiente sistema de ecuaciones (igualación) tiene por solución
Image:
369dcefe-63b0-4046-9eb0-6d98c3bac21a (image/png)
Answer
(-1;1/2)
(1;1/2)
(1;-1/2)
Question 11
Question
El sistema de ecuaciones (reducción) tiene como soluciones:
Image:
83d4ec57-0d5a-47f8-944d-004294b4b24c (image/png)
Answer
(3,2)
(2,3)
(-2,3)
Question 12
Question
El sistema de ecuaciones (reducción) tiene como soluciones:
Image:
57a541b0-3d20-428d-b7ed-ebecfe3ee848 (image/png)
Answer
(-5,-2)
(5,-2)
(-2,-5)
Question 13
Question
Las soluciones del sistema son:
Image:
953abe03-1c0e-4aa4-840f-7740667b8daf (image/png)
Answer
(3,-4)
(-4,3)
(-3,-4)
Question 14
Question
El sistema tiene por soluciones:
Image:
88b23cc1-f0a0-4038-85c1-1e5893a0a410 (image/png)
Answer
x=8 y=-5
x=-5 y=8
x=5 y=8
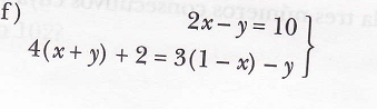
Question 15
Question
El sistema (reducción) tiene como soluciones:
Image:
43ab33ce-93c5-4c4f-b204-fee26d246223 (image/png)
Answer
x=-1 y=-4
x=1 y=4
x=-4 y=-1
Show full summary
Hide full summary
Want to create your own
Quizzes
for
free
with GoConqr?
Learn more
.
Similar
Ecuaciones (Primer Grado)
Diego Santos
Fórmulas Geométricas (Perímetros)
Diego Santos
7 Técnicas para Aprender Matemáticas
maya velasquez
Matemáticasen la VidaCotidiana
Diego Santos
FRACCIONES...
JL Cadenas
FRACCIONES...
Ulises Yo
Factorización de expresiones algebraicas_1
Juan Beltran
CÁLCULOS con [ 3 · 5 · 7 ]
JL Cadenas
Preguntas del Pensamiento Matemático
Diego Santos
Factorización de Expresiones Algebráicas
maya velasquez
Matrices y Determinantes
Diego Santos
Browse Library