null
US
Sign In
Sign Up for Free
Sign Up
We have detected that Javascript is not enabled in your browser. The dynamic nature of our site means that Javascript must be enabled to function properly. Please read our
terms and conditions
for more information.
Next up
Copy and Edit
You need to log in to complete this action!
Register for Free
5187373
Test limites-- Joseph Ramirez y Carlos Mario Montaño
Description
Quiz on Test limites-- Joseph Ramirez y Carlos Mario Montaño, created by josephnicol28 on 19/04/2016.
Quiz by
josephnicol28
, updated more than 1 year ago
More
Less
Created by
josephnicol28
over 9 years ago
84
1
1
Resource summary
Question 1
Question
El limite de f(x) es
Image:
b0f3d39a-32be-46c1-b73c-f3d9aede82b3 (image/jpeg)
Answer
3
1/3
1/2
1/9
Question 2
Question
El limite 6/2 pertenece a
Answer
Image:
7f3438f7-b6f7-46e4-ade7-fffe3a9f3e23 (image/jpeg)
Image:
6b2be678-fa57-4833-8fbb-a805d59d5e10 (image/jpeg)
Image:
6b3813ac-cb69-4484-867a-55d977c75d07 (image/jpeg)
Image:
9e7ed0dc-7921-4396-b1cd-7d481c9b89dc (image/jpeg)
Question 3
Question
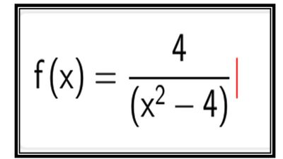
La respectiva grafica de f(x) es
Image:
406c112a-5c0b-44f6-a505-162123136ad4 (image/jpeg)
Answer
Image:
8e54edc1-1186-4d03-ab4a-3dafd5174b00 (image/jpeg)
Image:
d9c507a4-0a41-4504-be44-6d7048f3e72c (image/jpeg)
Image:
f733ea89-079e-4829-b9cc-f48d5d38b97b (image/jpeg)
Image:
85f0fff2-7d0f-4d62-aa91-788ced8241e7 (image/jpeg)
Question 4
Question
Si el limite cuando x tiende a menos infinito es 4, estamos hablando de una asintota vertical.
Answer
True
False
Question 5
Question
Según la plantilla, el limite de f(x) es
Image:
873a43cc-5156-4aa4-a70a-c4e4a9c44cc7 (image/jpeg)
Answer
0
1
2
Ninguna de las anteriores
Show full summary
Hide full summary
Want to create your own
Quizzes
for
free
with GoConqr?
Learn more
.
Similar
Browse Library