NUEVO SIMULACRO DE BIOQUIMICA

Description

Simulacro de bioquimica
Ingeniero Diaz
Quiz by Ingeniero Diaz, updated more than 1 year ago
Ingeniero Diaz
Created by Ingeniero Diaz over 9 years ago
411
8

Resource summary

Question 1

Question
El color rojo de las flores está determinado por una proteína formada por los siguientes aminoácidos: Ala – Cis – Val En la siguiente tabla se muestra la secuencia de ARN mensajero (ARNm) que codifica un respectivo aminoácido (a.a.) .Al cosechar flores se observa que algunos presentan manchas blancas en su superficie. Estas manchas se deben a una mutación en sólo uno de los nucleótidos del ADN que forma la proteína. ¿Cuál de las siguientes secuencias de ADN presenta esa mutación?
Answer
  • A. TAT CAT CAA.
  • B. CAT ACG CAA.
  • C. CAT ACG GAA.
  • D. CAT TAT CAA

Question 2

Question
si una realiza ejercicio y no hace calentamiento previo , puede sufrir de calambres esta situación se debe a :
Answer
  • La conversión de piruvato a etanol en ausencia de oxigeno
  • La conversion de puravo a acido acetico en condiciones aerobicas
  • La conversión de ácido piruvico a ácido lactico en condiciones anaerobicas
  • La conversión de ácido piruvico a ácido lactico en condiciones aerobicas

Question 3

Question
en clase de bioquímica se discute la diferencia entre el ARN Y EL ADN y 4 estudiantes afirman lo siguiente BAYRON: En el RNA el uracilo sustituye a la timina. MARIA : En el RNA el uracilo sustituye a la guanina. RAMIRO: El RNA es una cadena sencilla, el DNA es una doble hélice. DEIRA: El DNA está en el núcleo, mientras que el RNA nunca se encuentra en el núcleo. Son FALSAS las afirmaciones de:
Answer
  • BAYRON Y MARIA
  • SOLO MARIA
  • DEIRA Y MARIA
  • RAMIRO Y MARIA

Question 4

Question
El enzima glucosa oxidas aislado a partir del hongo Pcnicillium rtotaturn cataliza la oxi-dación de la β-D -glucosa a D glucono-δ-lactona. Este enzima es altamente específico para el anómero β de la glucosa y no afecta al anómero a. A pesar de esta especificidad, la reacción catalizada por la glucosa oxidasa se usa normalmente en un ensayo clínico de determinación de glucosa total en sangre, es decir, en disoluciones que contienen una mezcla de β-D y α glucosa. Además de permitir la detección de menores cantidades de glucosa. La ventaja ofrece la glucosa oxidasa sobre el reactivo de Fehling en la determinación de la glucosa en sangre según tres estudiantes de bioquímica es: I.Permitir cuantificar la cantidad de glucosa en la sangre en la medida en que se consume la glucosa oxidasa II. La glucosa oxidasa permite además detectar otros azúcares reductores (como por ejemplo la galactosa y el reactivo de Fehling solo reacciona con la glucosa. III. La glucosa oxidasa es específica para la glucosa y no detecta otros azúcares reductores (como por ejemplo la galactosa) que reaccionan con el reactivo de Fehling. IV Permitir cualificar y no cuantificar la cantidad de glucosa en la sangre en la medida en que se consume la glucosa oxidasa. De las siguientes afirmaciones son ciertas
Answer
  • A.I Y II
  • B. I Y III
  • C. III Y IV
  • D. IV Y II

Question 5

Question
Con base en la estructura anterior es correcto afirmar que esta es
Answer
  • Celulosa
  • Fructosa
  • sacarosa
  • Maltosa

Question 6

Question
En el laboratorio, se hicieron crecer bacterias en un medio de cultivo enriquecido con distintas fuentes de carbono, obteniéndose la siguiente curva de crecimiento bacteriano.Cuando las bacterias se hicieron crecer en un medio de cultivo usando lactosa como única fuente de carbono, las mismas requirieron de la enzima inducible β-galactosidasa para desdoblar la lactosa en los siguientes monosacáridos: lactosa --------glucosa + galactosa ¿A qué se debió el aumento en la síntesis de la enzima β-galactosidasa en el medio de cultivo?
Answer
  • a) A la formación de glucosa.
  • b) A la adición de lactosa.
  • c) A la desaparición de lactosa.
  • d) A la degradación de galactosa

Question 7

Question
una persona que sufre de diabetis debe consumir pocas arinas y alimentos bajos en grasa . Esta situación se debe a que:
Answer
  • las arinas se convierten en grasas y las grasas aumentan la produccion de glucosa sanguinea
  • las arinas son polisacaridos y las grasas pueden convertirse en glucidos
  • las arinas son disacaridos y las grasas pertenecen al grupo de los polisacaridos
  • Las arinas son grasas saturadas y estas pueden convertirse en azucares

Question 8

Question
Cuando los organismos hibernan deben tener suficiente energía para mantenerse con vida durante el período de inactividad ¿Cuál es la secuencia correcta de fuentes de energía que utilizará?
Answer
  • a) Carbohidratos, grasas y proteínas.
  • b) Grasas, proteínas y carbohidratos.
  • c) Carbohidratos, proteínas y grasas.
  • d) Proteínas, carbohidratos y grasas

Question 9

Question
Uno de los metodos para obtener biogas en a travez de la fermentación anaerobia. si en condiciones anaerobicas hay caña de azucar en presencia de levadura el biogas obtenido sera:
Answer
  • metano
  • propano
  • CO
  • CO2

Question 10

Question
La salsa de soja se prepara fermentando una mezcla salada de semillas de soja y trigo junto con varios microorganismos, entre ellos la levadura, durante un periodo de 8 a 12 meses. Las salsa resultante (después de eliminar los sólidos)es rica en lactato y etanol. Es necesario eliminar el oxigeno del tanque de fermentación para que la salsa de soja no tenga un fuerte sabor a vinagre (el vinagre es acido acético diluido). Que podría ocurrir si en el proceso no se garantiza la ausencia de oxigeno
Answer
  • A.se produciría piruvato en lugar de lactato
  • B. Se producía piruvato en vez de alcohol etílico en el proceso
  • C. se produciría una alta concentración de acetil CoA en vez de lactato
  • D. se produciría una alta concentración de acetil CoA en vez de etanol

Question 11

Question
Tres estudiantes de bioquímica realizan las siguientes afirmaciones con relación a los carbohidratos o glúcidos MARIA: Se encuentra en los tejidos vegetales y animales, como almidón o glucógeno. YOSIMAR: Son los responsables del sabor dulce de muchos frutos. JEAN CARLOS :Forman parte de los ácidos nucleicos Son correctas :
Answer
  • maria y yosima
  • Yosimar
  • Jean Carlos
  • Todos

Question 12

Question
Se considera un lipido sapinificable de tipo
Answer
  • Triglicerido
  • glicerido
  • esfingolipido
  • GLicerolipido

Question 13

Question
Si se tienen dos moléculas de glucosa en el proceso de glucolisis ; la ganancia neta de energia sera
Answer
  • 7ATP
  • 14ATP
  • 9ATP
  • 18 ATP

Question 14

Question
El resultado de la fermentacion anaerobica de la leche en presencia de lactobacilus sera:
Answer
  • alcohol etilico
  • metanol
  • Lactato
  • Piruvato

Question 15

Question
Cual NO es correcta con relación a la diferencia entre la glucolisis y glucogenesis
Answer
  • En una el proceso es catabolismo y el otro es anabolico
  • las enzima para la transformacion de fosfoenolpiruvato a piruvato es el piruvato quinasa y en proceso inverso es una enzima carboxilaza
  • En la glucoslis hay una ganancia de 7 ATP por cada molecula de glucosa y en la Glucogenesis no hay
  • La glucolisis da como producto final piruvato y en la glucogenesis glucogeno

Question 16

Question
unos puntos de reserva de glucógeno en los animales vertebrados enpecificamente se enecuentra en :
Answer
  • tejidos oseos
  • tejidos musculares
  • tejidos biliares
  • tejidos nerviosos

Question 17

Question
Que tipo de lipido es el que se muestra a continuación
Answer
  • terpeno
  • esfingolipido
  • glicerolipido
  • esteroide

Question 18

Question
los esteroides se caracterizar por generar efectos secundarios en el organismo. esto se debe a :
Answer
  • Que son difíciles de degradar por sus anillo cerrados a través de la orina
  • son dificiles de degradar por la presencia de dobles enlaces del grupo ispreno
  • Son dificiles de degradar por la presencia del grupo esfigolipido
  • Son dificiles de degradar por la solubilidad que tienen en la sangre que los bioacumula

Question 19

Question
con base en esta grafica es correcto afirmar que la reaccion metabolica es
Answer
  • exergonica
  • Endergonica
  • su variacion de entalpia es negativa
  • requiere una pequeña cantidad de energía de activación

Question 20

Question
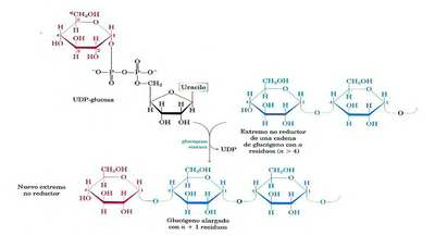
El siguiente esquema que se muestra a continuación muestra
Answer
  • catabolismo de colageno
  • catabolismo del glucogeno
  • anabolismo de la celulosa
  • anabolismo del glucogeno
Show full summary Hide full summary

Similar