null
US
Sign In
Sign Up for Free
Sign Up
We have detected that Javascript is not enabled in your browser. The dynamic nature of our site means that Javascript must be enabled to function properly. Please read our
terms and conditions
for more information.
Next up
Copy and Edit
You need to log in to complete this action!
Register for Free
5389660
Test de Límites (Luis Carlos López - Esteban Hurtado)
Description
Quiz on Test de Límites (Luis Carlos López - Esteban Hurtado), created by Esteban Hurtado on 11/05/2016.
Quiz by
Esteban Hurtado
, updated more than 1 year ago
More
Less
Created by
Esteban Hurtado
over 9 years ago
33
2
0
Resource summary
Question 1
Question
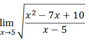
El valor del límite es:
Image:
c690e7f8-a509-4d4d-a0e4-603e848468ed (image/png)
Answer
a) 1
b) 0
c) -1
d) No Existe.
Question 2
Question
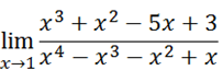
El valor del límite es =
Image:
b80cd8d7-d939-49ee-9c71-cc65dfcfdcf8 (image/png)
Answer
a) 2
b) 1
c) -1
d) 3
Question 3
Question
El límite es:
Image:
c5658922-4d30-4f18-92b1-8724efcecb91 (image/png)
Answer
Image:
7348bd9d-1281-46a2-99bb-cd859d22323f (image/png)
Image:
f1a13cfb-9f73-4b57-9acb-b5587d82d278 (image/png)
Image:
371ff3ed-4a59-4807-ae4c-af6741e6960b (image/png)
Image:
fde299bf-b57c-48f6-8cf6-d4a3af597be6 (image/png)
Question 4
Question
Los Límites Infinitos definen Asíntotas Verticales.
Answer
True
False
Question 5
Question
Su límite es =
Image:
a9ab2d56-8341-4616-a73d-2e4b45425c54 (image/png)
Answer
a) C
b) K
c) L
d) No Existe.
Show full summary
Hide full summary
Want to create your own
Quizzes
for
free
with GoConqr?
Learn more
.
Similar
Browse Library