Examen ordinario calculo integral 2019

Description

20 reactivos
JOSE MARTIN LOPEZ BARAJAS
Quiz by JOSE MARTIN LOPEZ BARAJAS, updated more than 1 year ago
JOSE MARTIN LOPEZ BARAJAS
Created by JOSE MARTIN LOPEZ BARAJAS over 9 years ago
551
1

Resource summary

Question 1

Question
La definición correcta de la diferencial es:
Answer
  • El producto del incremento de la variable independiente por el producto de la variables dependiente.
  • El producto de la derivada por el incremento de la variable independiente.
  • El producto de la integral por la variable dependiente.
  • El producto de la variable dependiente por la integral indefinida.

Question 2

Question
Una de las aplicaciones directas del calculo integral es:
Answer
  • Encontrar el área entre dos curvas.
  • Localizar los puntos de una recta.
  • Calcular la taza de mortalidad de una población.
  • El punto de equilibrio de una empresa.

Question 3

Question
Al calcular el área de la siguiente parábola - x2 + 4x entre los intervalos x= 0 y x=4 ¿en contramatamos como respuesta?
Answer
  • 32/3 unidades cuadradas.
  • 33/2 unidades cuadradas.
  • 43/2 unidades cuadradas.
  • 37/3 unidades cuadradas.

Question 4

Question
Hallar el área de la región limitada por la parábola y2=4x y la recta y=2x-4
Answer
  • 9 unidades cuadradas.
  • 18 unidades cuadradas.
  • 15 unidades cuadrada.
  • 7 unidades cuadradas.

Question 5

Question
Hallar el área limitada por la recta x + y = 10, el eje OX y las ordenadas de x = 2 y x = 8.
Answer
  • 30 unidades cuadradas.
  • 36 unidades cuadradas.
  • 24 unidades cuadradas.
  • 18 unidades cuadradas.

Question 6

Question
Calcular el área del recinto limitado por la curva y = 9 − x2 y el eje OX.
Answer
  • 36 unidades cuadradas.
  • 24 unidades cuadradas.
  • 30 unidades cuadradas.
  • 20 unidades cuadradas.

Question 7

Question
Al calcular el área limitada por la recta y los limites de integración que aparecen en la imagen ¿se obtiene como resultado?:
Answer
  • 6 unidades cuadradas.
  • 8 unidades cuadradas.
  • 12 unidades cuadradas.
  • 10 unidades cuadradas.

Question 8

Question
Calcular el área limitada por la curva y = 6x2 − 3x3 y el eje de abscisas.
Answer
  • 4 unidades cuadradas.
  • 6 unidades cuadradas.
  • 8 unidades cuadradas.
  • 10 unidades cuadradas.

Question 9

Question
El resultado correcto de la integral definida es:
Answer
  • x5 - 2x3 + 3x + C
  • x2 - 2x3 + 3x + C
  • x5 -+2x3 + 3x + C
  • x5 - 2x3 - 3x + C

Question 10

Question
Al resolver la siguiente integral se obtiene como resultado.
Answer
  • cuatro séptimos de x elevada a la siete cuartos mas la constante de integración.
  • siete cuartos de x elevada a cuatro séptimos mas la constante de integración.
  • cuatro séptimos de x elevada a la cuatro séptimos mas la constante de integración.
  • siete cuarto de x elevada a la tercer potencia mas la constante de integración.

Question 11

Question
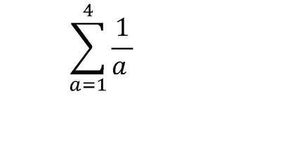
El resultado de la sumatoria es:
Answer
  • 25/12
  • 28/7
  • 30/11
  • 35/3

Question 12

Question
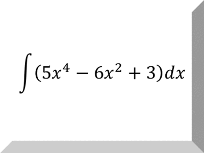
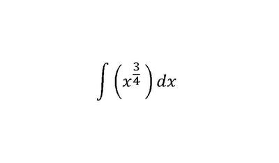
Al resolver la integral, que se muestra en la imagen se obtiene como resultado:
Answer
  • un sexto de x elevada a la potencia seis mas la constante de integración.
  • un quinto de x elevada a la potencia seis mas la constante de integración.
  • un cuarto de x elevada a la potencia cuatro mas la constante de integración.
  • dos tercios de x elevada a la potencia seis mas la constante de integración.

Question 13

Question
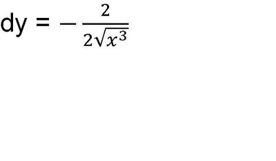
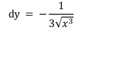
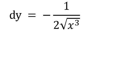
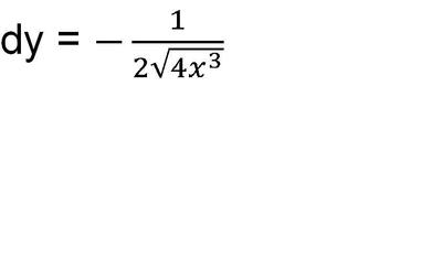
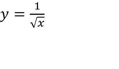
Al calcular la diferencial de la función se obtiene como resultado:

Question 14

Question
CALCULA LA DIFERENCIAL DE LA FUNCIÓN EN EL PUNTO INDICADO, SE OBTIENE COMO RESULTADO:
Answer
  • 37.5
  • 45.6
  • 56.3
  • 23.8

Question 15

Question
CALCULA LA DIFERENCIAL DE LA FUNCIÓN QUE SE MUESTRA EN LA IMAGEN
Answer
  • dy =(12x2 +8x +2)dx
  • dy =(8x2 +8x +2x)dx
  • dy =(12x +8)dx
  • dy =(12x2 +8x +4)dx

Question 16

Question
Una fracción equivalente a la que aparece en la imagen seria:
Answer
  • 56/32
  • 49/28
  • 14/16
  • 28/8

Question 17

Question
Una fábrica de papel realizará tarjetas publicitarias en forma rectangular de 135 cm2 de área, de tal forma que el largo del rectángulo es de 6 cm mayor que el ancho. ¿Cuál es el valor del ancho de la tarjeta?
Answer
  • -15
  • 15
  • 9
  • -9

Question 18

Question
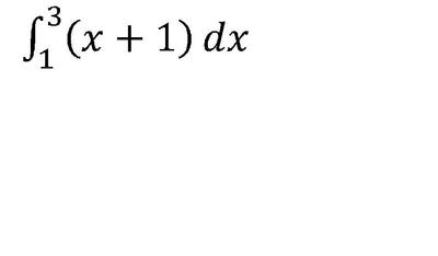
Al resolver la siguiente integral definida , la cual se muestra en la imagen , el resultado correcto es:
Answer
  • 6 unidades cuadradas.
  • 8 unidades cuadradas.
  • 15 unidades cuadradas.
  • 12 unidades cuadradas.

Question 19

Question
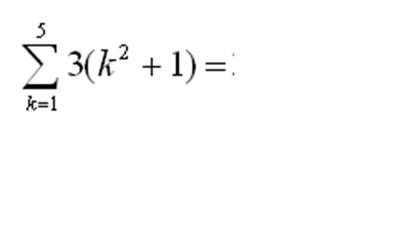
El resultado de resolver la sumatoria que se muestra en la imagen es:
Answer
  • 180
  • 120
  • 140
  • 155

Question 20

Question
De los siguientes textos, se le conoce como una técnica de integración.
Answer
  • Cambio de incremento de la variable dependiente.
  • Cambio de variable.
  • Cambio de limite de integración.
  • cambio de incremento de variable independiente.
Show full summary Hide full summary

Similar

Aplicaciones del calculo integral en las ciencias
Jose Carlos Gonz0945
CALCULO INTEGRAL
Jazlen G.A
Cálculo Integral
Wilmer Amézquita Obando
MAPA CONCEPTUAL DEL ATOMO
Noemi Colmenares
Inmunología y Alergología - Mayo 2016/Mayo 2017
Belén Vera Santana
mapa conceptual factorizacion
YECID SANCHEZ
EXAMEN MAYO 2016
Neurología 2019
PREPARATORIO PROCESAL UGC 2016
William Galeano