null
US
Sign In
Sign Up for Free
Sign Up
We have detected that Javascript is not enabled in your browser. The dynamic nature of our site means that Javascript must be enabled to function properly. Please read our
terms and conditions
for more information.
Next up
Copy and Edit
You need to log in to complete this action!
Register for Free
575866
Evaluacion
Description
MATEMÀTICA I Quiz on Evaluacion, created by ceverdezoto04 on 24/02/2014.
No tags specified
matemática i
matemàtica i
Quiz by
ceverdezoto04
, updated more than 1 year ago
More
Less
Created by
ceverdezoto04
over 11 years ago
50
0
0
Resource summary
Question 1
Question
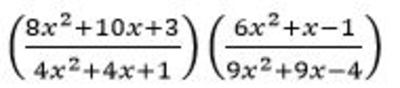
Al multiplicar
Image:
1.JPG (image/JPG)
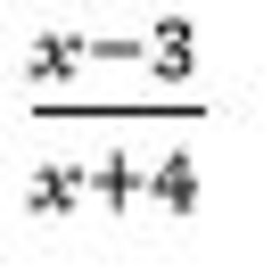
Answer
Image:
1a.JPG (image/JPG)
Image:
1b.JPG (image/JPG)
Show full summary
Hide full summary
Want to create your own
Quizzes
for
free
with GoConqr?
Learn more
.
Similar
Evaluación
Francisco Baez
Recursos Humanos y Retos Actuales
mariangel_1_11_1
Test para gestión de talento humano
CarlosGutiérrez1983
Evaluación de Alumnos para Preparar el Exani-II
Profesor D
SIMULACRO MATEMATICAS ICFES SABER ONCE
Luis Carlos Tello Aguirre
Tipos de Evaluación
Enrique Adolfo Simmonds Barrios
EXAMEN NACIONAL ÚNICO PARA ASPIRANTE A RESIDENCIAS MÉDICAS(ENURM 2016).
Rayner Guerrero Espiritusanto
Evaluación
lapequeabibi436199
Formas de una función cuadrática
HECTOR ESPINOZA HERNANDEZ
evaluacion psicologica
Karen A Rojas P
Evaluación sobre categorias gramaticales
manepe.64
Browse Library