Resource summary

Question 1

Question
¿Qué fracción del área de la figura está sombreada?
Answer
  • A. 1/12
  • B. 5/12
  • C. 7/12
  • D. 12/12

Question 2

Question
En un concurso intercolegial de Matemática, se deben contestar 14 preguntas. Cada acierto se premia con USD 20 y por cada error se tiene que devolver USD 50. Si al final el participante ni ganó ni perdió, ¿cuántas preguntas acertó?
Answer
  • A. 4
  • B. 5
  • C. 9
  • D. 10

Question 3

Question
El promedio de 2 números es 7. El promedio de otros 3 números es 2. El promedio de los 5 números es:
Answer
  • A. 4
  • B. 5
  • C. 9
  • D. 10

Question 4

Question
Carlos y Juan tienen 12 y 32 años, respectivamente. ¿Dentro de cuántos años la edad de Juan será el doble de la edad de Carlos?
Answer
  • A. 7 años
  • B. 8 años
  • C. 10 años
  • D. 12 años

Question 5

Question
Se quiere invertir USD 8 000 en dos certificados de inversión; el uno produce el 9% de interés anual y el otro es de alto riesgo y produce 14% anual. Si se necesita recibir un ingreso de por lo menos USD 890 al año por las dos inversiones, ¿qué cantidad mínima se debe invertir en el certificado de alto riesgo?
Answer
  • A. USD 739
  • B. USD 1.634
  • C. USD 2.236
  • D. USD 3.400

Question 6

Question
Una piscina cuadrada de 21 m de lado está rodeada por un camino de ancho uniforme. Si el área del camino es de 184 m2. El ancho del camino es:
Answer
  • A. -2m
  • B. 1m
  • C. 2m
  • D. 23 m

Question 7

Question
¿Cuánto cuesta un libro, si su precio dividido por 12 es igual al 29,3% del valor?
Answer
  • A) USD 0,351
  • B) USD 3,516
  • C) USD 35,16
  • D) USD 351,6

Question 8

Question
Por un préstamo de USD 5 000 se pagan cuotas mensuales que corresponden al 15%. ¿Cuánto se debe pagar diariamente?
Answer
  • A) USD 10
  • C) USD 15
  • C) USD 25
  • D) USD 30

Question 9

Question
El radio de un círculo es 5 m. Si el radio se incrementa en 2 m, ¿en qué porcentaje se incrementará el área del círculo?
Answer
  • A) 40%
  • B) 51%
  • C) 86%
  • D) 96%

Question 10

Question
En la expresion realiza todas las operaciones; el resultado es:
Answer
  • A) 1
  • B) 2
  • C) 3
  • D) 4

Question 11

Question
El 10° término de la progresión aritmética es:
Answer
  • A) 2
  • B) 3,5
  • C) 4
  • D) 4,5

Question 12

Question
¿Qué número falta en esta progresión geométrica?
Answer
  • A) 9/8
  • B) 8/9
  • C) 3/8
  • D) 3/1

Question 13

Question
En una encuesta realizada a 40 hogares, se encontró que en cierto día, 15 compraron los diarios El Comercio y Hoy; 23 compraron el diario Hoy; 7 compraron solamente El Comercio. ¿Cuántos hogares NO compraron el periódico?
Answer
  • A) 10
  • B) 15
  • C) 23
  • D) 30

Question 14

Question
La pirámide está formada con cubos iguales superpuestos. La expresión que permite encontrar el número total de cubos es:
Answer
  • A) n = 4^2 + 3^2 + 2^2 +1
  • B) n = 4 + 3 + 2 +1
  • C) n = 5^2 + 3^2 +1^2
  • D) n = 4^2 + 3^2 + 2^2

Question 15

Question
La figura representa un recipiente cilíndrico con las dimensiones dadas. La densidad del agua es ρ = 1g/cm3, ¿cuál es la masa de agua que cabe en el recipiente? Recuerde que ρ=m/V
Answer
  • A) 1.000 g
  • B) 1.000 πg
  • C) 200 g
  • D) 200 πg

Question 16

Question
Con una cartulina cuadrada se quiere hacer una caja sin tapa de 64 cm3 de volumen. Para hacerla, se cortan en las esquinas cuadrados de 4 cm de lado. ¿Cuánto mide el lado de la cartulina cuadrada antes de ser cortada?
Answer
  • A) 8cm
  • B) 12cm
  • C) 16cm
  • D) 32cm

Question 17

Question
Si un objeto es lanzado verticalmente hacia arriba, con una velocidad de 30 m/s; la altura h que alcanza, en función del tiempo, está dada por la expresión: h(t ) = 30 t − 5t 2 ¿A qué altura se encuentra el objeto después de 1,5 segundos de haber sido lanzado?
Answer
  • A) 11,25 m
  • B) 33,75 m
  • C) 37,25 m
  • D) 37,50 m

Question 18

Question
Un rectángulo de largo x y de ancho 4, está inscrito en un círculo. El área sombreada, en función del radio r del círculo, es:

Question 19

Question
El valor, en miles de dólares, de los activos de una empresa en función del tiempo t, en años, viene dado por la función: f (t ) = −4t 2 + 60 t − 15 El rango de t es 1≤ t ≤ 8 ¿En qué instante el valor de los activos es de 185?
Answer
  • a) 7 años
  • B) 8 años
  • C) 8 años
  • D) 10 años

Question 20

Question
El costo promedio de 1kwh en el Ecuador es:
Answer
  • A) 7,52
  • B) 8,88
  • C) 8,91
  • D) 10,45

Question 21

Question
De la información de la gráfica se puede establecer que en el nivel primario se matricularon:
Answer
  • A) 2’ 039.168 alumnos
  • B) 1’ 980.284 alumnos
  • C) 1’ 040.047 alumnos
  • D) 974.125 alumnos

Question 22

Question
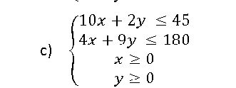
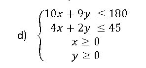
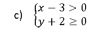
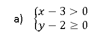
Una empresa produce dos tipos de refrigeradoras, tipo A especial y tipo B general. La primera necesita 10 horas de trabajo para su fabricación y 4 para los acabados, mientras que la segunda requiere 9 horas en su fabricación y 2 en los acabados. Se dispone como máximo de 180 horas de trabajo en fabricación y 45 en los acabados por semana. Selecciona el sistema de restricciones que se ajusta a este modelo de programación lineal de maximización en la fabricación de cada modelo de refrigeradora.

Question 23

Question
Si a una reunión asisten 5 hombres y 5 mujeres, ¿Cuántos comités de 4 personas pueden formarse con igual número de hombres y mujeres?
Answer
  • a) 20
  • b) 24
  • c) 100
  • d) 240

Question 24

Question
Dados los vectores ⃗ ⃗⃗ de la gráfica, calcula ⃗ ⃗⃗
Answer
  • a) –i + 8j
  • b) I + 9j
  • c) I + 21j
  • d) 17i + 9j

Question 25

Question
El valor de la función seno en el tercer cuadrante al hallar la solución de

Question 26

Question
El área de un triángulo es de 200m^2 , si la medida de su base es el cuádruplo de la medida de su altura, la medida de la base es:
Answer
  • a) 30
  • b) 40
  • c) 44
  • d) 60

Question 27

Question
Siete obreros cavan en 2 horas una zanja de 10m. ¿Cuántos metros cavaran en el mismo tiempo 42 obreros?
Answer
  • a) 65
  • b) 30
  • c) 60
  • d) 69

Question 28

Question
Una persona puede elegir 2 frutas de entre 10 disponibles para hacer un batido. ¿Cuántas formas tiene para mezclarlas?
Answer
  • a) 2
  • b) 12
  • c) 20
  • d) 45

Question 29

Question
La suma del sexto y octavo término de la serie es: 0,8; 0,95; 1,1; 1,25; 1,40;
Answer
  • a) 1,85
  • b) 3,25
  • c) 3,40
  • d) 3,55

Question 30

Question
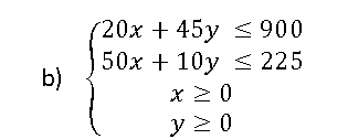
Lee el problema t responde La elaboración de la estructura de un escritorio tarde 50 horas de trabajo y las lacadas 20 horas, mientras que la elaboración de una cama tarda 45 horas en la estructura y 10 horas en el lacado. Se dispone, como máximo, de 900 horas de trabajo para realizar la estructura y 225 para el lacado. ¿Cuál es el sistema de restricciones que se ajusta a este modelo de programación lineal de maximización en la elaboración de estos muebles?

Question 31

Question
Con base en el gráfico, calcula el valor máximo para la función objetivo f(x, y) = 3x + 2y – 5
Answer
  • a) 2
  • b) 14
  • c) 21
  • d) 26

Question 32

Question
Lee el problema y responde la pregunta Una persona labora en dos lugares. La empresa A, en la que trabaja de lunes a viernes, le paga USD 5 por hora; mientras que la compañía B, en la que labora los fines de semana, paga USD 7 la hora. El trabajador puede colaborar en la empresa A hasta 120 horas al mes y en la B hasta 50 horas al mes, y existe un límite total mensual de 130 horas. Si consideramos que la función objetivo es: f(x, y) = 5x + 7y, cuyo gráfico se presenta a continuación, ¿Cuál es el beneficio máximo que puede obtener en dólares?
Answer
  • a) 350
  • b) 600
  • c) 670
  • d) 750

Question 33

Question
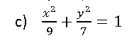
A partir de la parábola, determina su ecuación en la forma

Question 34

Question
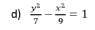
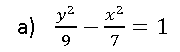
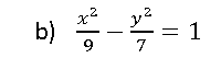
Selecciona la ecuación que corresponda a la hipérbola

Question 35

Question
Una empresa de telefonía móvil ofrece un servicio con un abono fijo mensual de USD 12 por 6 horas de comunicación y por cada minuto que el cliente se exceda, se le cobra USD 0,03. Dicha compañía utiliza esta fórmula: F(x) = 12 + 0,03x ¿Qué representa x en ella?
Answer
  • a) La cantidad de horas que se ha utilizado el servicio en un mes
  • b) La cantidad de minutos que se ha utilizado el servicio en un mes
  • c) La cantidad de minutos que se ha excedido el uso del servicio
  • d) La cantidad de dinero a pagar por el uso del servicio en un mes

Question 36

Question
Se lanza un objeto hacia arriba, si la altura máxima que alcanza después de t segundos representa la función h = , y sin considerar la resistencia del aire, ¿Cuál es la altura máxima y el tiempo en ese punto?
Answer
  • a) H = 100 m; t = 600 s
  • b) H = 100 m; t = 114 s
  • c) H = 600 m; t = 10 s
  • d) H = 1140 m; t = 10 s

Question 37

Question
En el curos de Julián todos los alumnos escribieron el nombre de cada abuelo y su edad en un papel y lo colocaron en una caja; los números registrados fueron: 70 – 81 – 81 – 80 – 65 – 70 – 81 – 67 – 65 – 80
Answer
  • a) 80%
  • b) 70%
  • c) 50%
  • d) 30%

Question 38

Question
La grafica representa la evolución del precio de un producto durante un año ¿Cuál de las afirmaciones es correcta?
Answer
  • a) El precio más bajo se obtuvo en el primer semestre
  • b) El precio se mantuvo constante en el segundo semestre
  • c) El descenso del precio fue menor en octubre que en febrero
  • d) El precio en junio superaba los USD 13

Question 39

Question
La varianza que corresponde a la distribución de frecuencias con datos agrupados es:
Answer
  • a) 20
  • b) 30
  • c) 97,92
  • d) 3748,85

Question 40

Question
Una urna contiene 2 bolas azules y 4 bolas blancas. Si se pueden extraer 2 bolas a la vez, ¿de cuántas maneras se pueden extraer solo bolas blancas?
Answer
  • a) 2
  • b) 6
  • c) 12
  • d) 15

Question 41

Question
Juan es halado por dos compañeros como se interpreta en el gráfico. Encuentra el valor del ángulo ϴ, para que Juan siga una trayectoria horizontal
Answer
  • a) 8°
  • b) 23,6°
  • c) 60°
  • d) 72°

Question 42

Question
Uno auto se desplaza 15 km en dirección al Este, luego continua 15√ 3km hacia el Norte. ¿Cuál es el vector desplazamiento que ha experimentado el vehículo?
Answer
  • a) 30 km (Norte 30° Este)
  • b) 30 km (Norte 60° Este)
  • c) 15(1+√ 3) km (Norte 60° Este)
  • d) 30√ 5km (Norte 30° Este)

Question 43

Question
Calcula ⃗⃗⃗⃗⃗⃗⃗⃗⃗ ⃗⃗-2a - b
Answer
  • a) ⃗ ⃗ -6i-10
  • b) ⃗ ⃗ -4i-7j
  • c) ⃗ ⃗ -2i -2j
  • d) ⃗ ⃗ 2i+2j

Question 44

Question
Encuentra la diferencia de los vectores ⃗ ⃗⃗a - b en términos de x y y.
Answer
  • a) 2x + y
  • b) Y – 2x
  • c) 2y
  • d) -4x

Question 45

Question
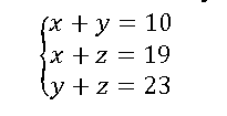
Dado el sistema de tres ecuaciones, determinar su conjunto solución
Answer
  • a) (-29, 39, 16)
  • b) (3, 7, 16)
  • c) (3, 13, 22)
  • d) (17, 7, 30)

Question 46

Question
El departamento de Personal de una empresa compró los regalos de fin de año; se invirtieron USD 2800 en la compra de 500 regalos. El regalo para cada una de las mujeres costó USD 8 y para cada uno de los varones USD 5. Al finalizar el día se habían entregado todos los regalos. ¿Cuántas mujeres y cuántos varones recibieron el suyo?
Answer
  • a) 400 varones y 100 mujeres
  • b) 100 varones y 400 mujeres
  • c) 300 varones y 200 mujeres
  • d) 250 varones y 250 mujeres

Question 47

Question
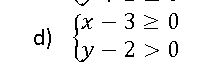
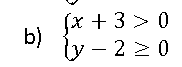
Determina el sistema de desigualdades representado en el grafico

Question 48

Question
Un automóvil nuevo cuesta USD 30000, sabiendo que su depreciación anual es del 10%, ¿Cuál será su valor al final del quinto año?
Answer
  • a) 0,03
  • b) 15 000,00
  • c) 17 714,70
  • d) 19 683,00

Question 49

Question
Tatiana debe pagar su préstamo en 8 cuotas que aumentan a razón de USD 6 cada mes. Si la cuota inicial es de USD 6, ¿Cuánto pagará en total?
Answer
  • a) 156
  • b) 180
  • c) 216
  • d) 432

Question 50

Question
En la biblioteca del señor Valdez, las tres cuartas partes de los libros son de Medicina, la quinta parte del resto son de Biología y completan la colección 20 libros de Historia. ¿Cuántos libros de Medicina y Biología tiene?
Answer
  • a) 5 de Medicina y 75 de Biología
  • b) 300 de Medicina y 80 de Biología
  • c) 80 de Medicina y 300 de Biología
  • d) 75 de Medicina y 5 de Biología

Question 51

Question
En la ecuación

Question 52

Question
Encuentra el valor de x en la ecuación exponencial 2*=32
Answer
  • a) 3
  • b) 4
  • c) 5
  • d) 6

Question 53

Question
¿Cuál es el valor de x en la ecuación exponencial? 3*=81
Answer
  • a) 2
  • b) 3
  • c) 4
  • d) 5

Question 54

Question
¿Qué valores satisfacen la ecuación = en el intervalo *0, 2π+?
Answer
  • a) 15° y 75°
  • b) 30° y 150°
  • c) 30° y 210°
  • d) 60° y 300°

Question 55

Question
En el intervalo 0° ≤ x ≤ 180°, determina la solución de:
Answer
  • a) (30°, 60°)
  • b) (60°, 120°)
  • c) (60°, 150°)
  • d) (120°, 30°)
Show full summary Hide full summary

Similar