Test de evaluación "Libro de inventarios Diego Luis Saldarriaga"

Description

El test comprende un set de 50 preguntas seleccionadas. Se propone que el estudiante desarrolle este examen a conciencia para que obtenga una autoevaluación de sus conocimientos en gestión de inventarios, un resultado correcto de al menos 40 de las 50 preguntas certificará que se comprende adecuadamente los tópicos, técnicas y teorías de gestión de inventarios bajo incertidumbre.
santi900325
Quiz by santi900325, updated more than 1 year ago
santi900325
Created by santi900325 over 11 years ago
480
0

Resource summary

Question 1

Question
Una definición adecuada de inventarios es:
Answer
  • Bienes que se compran para ser comercializados
  • Es la compra o fabricación de bienes que se pretenden vender
  • Todo lo almacenado en una bodega u almacén
  • Stock son todos los productos disponibles para la venta que se tienen en existencia en un momento determinado.

Question 2

Question
Postponement es:
Answer
  • Es un concepto en el cual algunas actividades de la cadena de suministro no se realizan hasta que se tengan en firme las órdenes de los clientes
  • Es un concepto que busca mantener el inventario lo más adelante de la cadena que se pueda
  • Significa fabricar contra una orden
  • Se refiere al hecho de marcar y separar los inventarios para ciertos clientes

Question 3

Question
¿Porque existen los inventarios?
Answer
  • Porque se debe cumplir un nivel de servicio
  • Porque la venta perdida es muy costosa
  • Básicamente porque los puntos de consumo están lejos de los puntos de producción y porque el tiempo de tolerancia del cliente es menor que el tiempo de reabastecimiento
  • Para no perder el cliente

Question 4

Question
Cinco elementos inciden directamente en la cantidad de inventario necesario en el sistema de distribución, la demanda, la incertidumbre de la demanda, los tiempos de entrega y las fluctuaciones aleatorias de los tiempos de entrega o de reposición o Lead Time, y el nivel de servicio deseado, ¿cuál de esos elementos tiene mayor incidencia en el nivel de inventarios?.
Answer
  • El nivel de servicio
  • Los tiempos de entrega
  • El volumen de ventas
  • La variabilidad de los tiempos de entrega
  • La variabilidad de las ventas

Question 5

Question
¿Para qué sirve el stock?
Answer
  • Para generar costos
  • Sirven de equilibrio entre la oferta y la demanda
  • No tienen ninguna utilidad
  • Para tener un nivel de servicio adecuado

Question 6

Question
Un sistema de inventarios debe
Answer
  • Calcular las cantidades a pedir
  • Definir qué pedir y / o producir, cuánto pedir y / o producir, cuándo pedir y / o producir y cómo pedir y / o producir
  • Dar un reporte de los inventarios en todo momento.
  • Medir los inventarios obsoletos

Question 7

Question
¿Un stock industrial es?
Answer
  • Inventario de repuestos
  • Inventario de consumibles
  • Inventario cíclico
  • Inventario de materias primas

Question 8

Question
El Inventario de productos en proceso es un stock
Answer
  • Estratégico
  • Industrial
  • Comercial
  • De anticipación

Question 9

Question
Optimizar el manejo de inventario significa
Answer
  • Utilizar un modelo de optimización
  • Diferenciar el portafolio con base en la demanda de cada producto, en cada canal o segmento
  • Tener más de un mes de ventas
  • Tener menos de un mes de ventas

Question 10

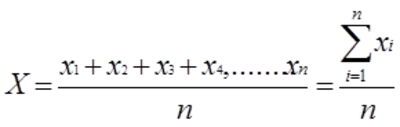
Question
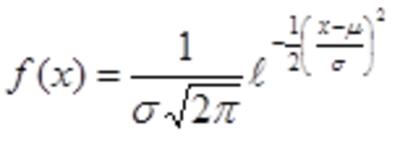
¿Cuál es la ecuación de la media muestral?
Answer

Question 11

Question
¿Qué es una variable aleatoria discreta?
Answer
  • Es aquella que arroja un número o resultado por cada experimento
  • Es aquella variable cuyo resultado (recorrido) es infinito y puede tomar cualquiera valor de un intervalo
  • Es aquella variable cuyo resultado (recorrido) es finito o infinito numerable
  • Es una distribución de probabilidades continua cuyo recorrido va desde -∞ < x < ∞

Question 12

Question
Ejemplos de variables continua es
Answer
  • El número de mesas de comedor fabricadas en un mes
  • El tiempo que nuestros proveedores se demoran en entregar las materias primas y materiales de empaque
  • La electricidad que se gasta un proceso productivo en un periodo de tiempo
  • El número de correas que se fabrican en un periodo de tiempo dado.

Question 13

Question
Para las siguientes tres preguntas utilice la siguiente serie de datos. La media de los datos es
Answer
  • 128
  • 324
  • 87
  • 145.5

Question 14

Question
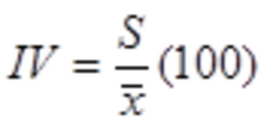
El índice de variabilidad es
Answer
  • 35.6%
  • 45.1%
  • 33.8%
  • 22.9%

Question 15

Question
Los datos siguen una distribución del tipo
Answer
  • Uniforme
  • Poisson
  • Normal
  • Ninguna de las anteriores

Question 16

Question
Un método estadístico de pronósticos es
Answer
  • Las encuestas
  • El método Delphi
  • La regresión múltiple
  • El promedio móvil

Question 17

Question
Pronóstico es
Answer
  • Establecer las unidades que se venderán en el futuro
  • Análisis de datos
  • Es un proceso que recoge, almacena, procesa y representa una previsión de la demanda futura con la mayor exactitud posible utilizando métodos estadísticos y datos del pasado
  • Ninguna de las anteriores

Question 18

Question
Las componentes de las series de tiempo son:
Answer
  • Los datos del pasado
  • La estacionalidad, la irregularidad, la cíclicidad y la tendencia
  • La desviación estándar, el promedio y la variabilidad
  • La tendencia

Question 19

Question
Son medidas de calidad de un pronóstico
Answer
  • La desviación media absoluta (DMA)
  • El error medio (ME)
  • El error medio porcentual absoluto (MAPE)
  • Totas las anteriores

Question 20

Question
En la media móvil ponderada, todos los factores de ponderación deben sumar
Answer
  • 100
  • 1
  • Cualquier valor
  • Ninguno de los anteriores

Question 21

Question
Una manera de eliminar la necesidad de hacer pronósticos consiste en:
Answer
  • No hacer pronósticos
  • Planear exactamente lo que se vendió en el periodo anterior
  • Reabastecer el consumo con una alta frecuencia el consumo
  • Ninguna de las anteriores

Question 22

Question
La clasificación ABC, establece que:
Answer
  • Los productos A representan el 80% de las ventas, los productos B el 15% de las ventas y los productos C el 5% restante de las ventas.
  • Los productos A son los más populares, los B los que tienen una popular regular y los C los menos populares
  • Cada empresa define que corte ABC utilizar
  • Ninguna de las anteriores

Question 23

Question
El índice de variabilidad de la demanda es:
Answer
  • La división de la desviación estándar entre el promedio de ventas
  • La división entre la moda y el promedio de ventas
  • La división entre el promedio de ventas y la desviación estándar
  • Todas las anteriores

Question 24

Question
El producto más importante de un portafolio de productos es:
Answer
  • El de mayor variabilidad
  • El de mayor número de unidades vendidas
  • El que requiere más tiempo de fabricación o adquisición
  • Ninguna de las anteriores

Question 25

Question
Desde el punto de vista de la gestión de inventarios, los sku´s de alto riesgo son aquellos que:
Answer
  • Tienen alto volumen de ventas, bajo margen de contribución y alta variabilidad
  • Tienen un alto volumen de inventario
  • Son aquellos que tienen un tiempo de reposición muy alto
  • Los de más alto valor

Question 26

Question
Los productos catalogados como complejos obedecen a una clasificación:
Answer
  • A, B, C
  • ABC/XYZ
  • 1, 2, 3
  • X, Y, Z

Question 27

Question
Los materiales palancas son aquellos que:
Answer
  • Varios proveedores están disponibles para su suministro
  • El comprador tiene una posición dominante
  • Se pueden reemplazar en el proceso de fabricación por un sustituto sin mayores dificultades
  • Todas las anteriores

Question 28

Question
¿Cuál de las siguientes afirmaciones es correcta?
Answer
  • Los costos de falta de inventario, por su naturaleza intangible, son muy fáciles de calcular con exactitud
  • El costo de faltantes Cf afecta las finanzas de la empresa pero no necesariamente las finanzas del canal de distribución (cliente)
  • Este valor Cf oscila entre un máximo representado por el margen de contribución que se deja de percibir cada que no se puede entregar una unidad y un mínimo que puede llegar a ser el valor de los márgenes futuros que dejan de percibirse cuando se pierde un cliente o un consumidor
  • Los costos de ruptura son costos logísticos producto del exceso de stock en un momento determinado

Question 29

Question
Con los siguientes datos de operación de una empresa responda las siguientes dos preguntas. Ventas anuales de $3.150.000 Costo de ventas de $2.450.000 Compras anuales de $1.680.000 Unas cuentas por cobrar de $740.000 Unas cuentas por pagar de $520.000 Unas existencias de $600.000 ¿Cuál es el capital de trabajo de la empresa?
Answer
  • $578.000
  • $440.000
  • $820.000
  • $930.000

Question 30

Question
¿Qué número de días de operación debe financiar la compañía?
Answer
  • 41,7 días
  • 38,9 días
  • 57 días
  • 44,4 días

Question 31

Question
En la vida real los patrones de demanda se inscriben en los siguientes patrones:
Answer
  • Determinísticos y constantes, es decir mantienen constantes con el tiempo.
  • Determinístico y variable.
  • Probabilístico y estacionario en el tiempo.
  • Probabilístico y no estacionario en el tiempo.
  • Todas las anteriores

Question 32

Question
El uso del lote económico EOQ ha perdido relevancia básicamente por:
Answer
  • Las empresas siguen buscando flexibilidad y el costo de cambio es muy pequeño
  • Los datos de consumo varían demasiado
  • El costo de oportunidad es muy alto
  • Ninguna de las anteriores

Question 33

Question
Para las dos siguientes preguntas utilice el siguiente ejercicio. Air Machine Corporation-AMC manufactura 10 modelos de máquinas mezcladoras de químicos para el mercado nacional e internacional. El componente principal de las máquinas - una bomba pequeña de succión – es adquirido a un proveedor externo. El departamento de marketing ha pasado una necesidad mensual de 420 máquinas, el costo de almacenamiento de la bomba es de $28 por unidad y el costo de pedir es $17. AMC tiene planeado trabajar 340 días al año y el costo de cada bomba es $ 4.850: ¿Cuál es el EOQ?
Answer
  • 19
  • 39
  • 23
  • 27

Question 34

Question
¿Cuál es el tiempo esperado entre pedidos?
Answer
  • 25 días
  • 18 días
  • 17 días
  • 22 días

Question 35

Question
¿Los siguientes resultados de ventas definen qué tipo de demanda?.
Answer
  • Determinística y constante, es decir mantienen constantes con el tiempo
  • Determinística y variable
  • Probabilística y estacionaria en el tiempo
  • Probabilística y no estacionaria en el tiempo

Question 36

Question
Los modelos que estudian cuándo ordenar se relacionarán con el siguiente caso:
Answer
  • Sistemas de revisión anual. La revisión del modelo no ocurre permanentemente.
  • Decisiones de una sola vez, como el caso de promociones o ventas para una actividad específica.
  • Sistemas de revisión periódica. El chequeo del modelo ocurre permanentemente.
  • Ninguna de las anteriores

Question 37

Question
Los modelos de cantidad fija tratan de
Answer
  • Revisar permanentemente las existencias para ubicar un punto s de reorden
  • Determinar el punto específico s en el cual se colocará un pedido y el tamaño Q del mismo
  • Definir el tamaño Q del pedido
  • Ninguna de las anteriores

Question 38

Question
El inventario de seguridad sirve para
Answer
  • Tener más disponibilidad de inventario para la venta
  • Soportar ventas más allá de las pronosticadas
  • Cubrir las ventas cuando existen desviaciones en los tiempos de entrega y desviaciones en las ventas
  • No sirve para nada

Question 39

Question
Las medidas de la disponibilidad de un producto son:
Answer
  • La probabilidad de la no ocurrencia de un faltante en un ciclo de reabastecimiento ó P
  • La cantidad de unidades que se pueden atender de manera instantánea con el inventario actual ó fr
  • Todas aquellas que relacionen la disponibilidad con la demanda
  • Todas las anteriores

Question 40

Question
La ecuación del cálculo del punto de reorden es:
Answer

Question 41

Question
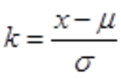
Para los siguientes ejercicios utilice el siguiente enunciado. Suponga que usted es el responsable de planear la producción y los reabastecimientos a un conjunto de tiendas de un gran retail y que el producto a reabastecer es el principal artículo de una categoría y el de más ventas si se consideran todas las categorías de la empresa. Considere los siguientes datos de la operación regular para este producto especial: d = 348.000 unidades de la demanda mensual pronosticada. σ1= 52.000 unidades - desviación estándar de las demandas pronosticadas. c = $16 precio de venta del producto. LT = 1 mes - tiempo de entrega de la planta de producción. S = $6.200 costo de hacer una orden, incluye el septup. H = 1,4% costo de mantenimiento del inventario mensual. P = 89% nivel de servicio P deseado. Cf = $1.9 costo del faltante. El valor de k es
Answer
  • 1.08
  • 1.227
  • 2.2
  • 1.85

Question 42

Question
El inventario de seguridad es:
Answer
  • 62.000
  • 48.832
  • 63.779
  • 48.522

Question 43

Question
El punto de reorden s es:
Answer
  • 104.220
  • 75.225
  • 87.422
  • 92.779

Question 44

Question
El valor de Q es:
Answer
  • 40.073
  • 38.700
  • 29.227
  • 45.722

Question 45

Question
El costo total de la política es:
Answer
  • 45.225
  • 64.232
  • 74.596
  • 76.842

Question 46

Question
Para los siguientes ejercicios utilice el siguiente enunciado. Una empresa tiene un consumo semanal de 282 toneladas de materia prima esencial y trabaja seis días a la semana a tres turnos. De las mediciones realizadas en una muestra del último año se desprende una desviación diaria de 6 toneladas en el consumo, un tiempo de entrega promedio del proveedor de 76 días (desde que se coloca la orden de compra, hasta que el producto está en la fábrica) y una desviación del tiempo de entrega de 25 días. La citada empresa tiene una expectativa de servicio P = 95% y tiene establecido en su sistema de información 800 toneladas de inventario de seguridad. El inventario de seguridad que debería tener la empresa es
Answer
  • 800 toneladas
  • 1.935 toneladas
  • 1.234 toneladas
  • 742 toneladas

Question 47

Question
El punto de reorden s es
Answer
  • 1.472
  • 4.234
  • 5.507
  • 8.422

Question 48

Question
La ecuación más idónea para calcular el inventario de seguridad es:
Answer

Question 49

Question
Para los siguientes ejercicios utilice el siguiente enunciado. Un controlador de inventarios está preparando en estos momentos la cantidad a ordenar de bultos de arroz de 50 kilos a su proveedor. Hace pedidos quincenales y su proveedor le hace entregas cada semana, es decir parte el pedido en dos entregas y puede entregar cualquier proporción de la orden en la primera entrega y el resto en la segunda. Con el sistema de pronóstico han estimado que las necesidades mensuales serán de 1.700 bultos de arroz de 50 kilos o 85 toneladas, las existencias actuales después del conteo de la mañana arrojan 650 bultos; además el departamento de ventas ha enviado un correo electrónico donde enfatiza sobre una necesidad adicional de 175 bultos y actualmente no hay recepciones pendientes de producto del proveedor. Él tiene como política protegerse con quince días de existencias. Con toda esta información sobre su escritorio, el controlador de inventarios debe preparar la nueva orden de compra para ser enviada a su proveedor. La cantidad de producto a ordenar debe ser:
Answer
  • 1.524
  • 1.242
  • 1.138
  • 1.721

Question 50

Question
Los cinco lados del pentágono de control en la gestión de inventarios son:
Answer
  • El nivel de servicio, los inventarios de seguridad, el punto de rorden, la gente, la cantidad de inventario
  • Punto de re-orden, Inventario de seguridad, Inventario máximo, Nivel de servicio, Costos
  • El nivel de servicio, el lead time, el punto de rorden, la gente, los indicadores de gestión
  • La tecnología, los indicadores, el nivel de servicio, la gente, infraestructura.
Show full summary Hide full summary

Similar