null
US
Sign In
Sign Up for Free
Sign Up
We have detected that Javascript is not enabled in your browser. The dynamic nature of our site means that Javascript must be enabled to function properly. Please read our
terms and conditions
for more information.
Next up
Copy and Edit
You need to log in to complete this action!
Register for Free
5999311
Test De Conocimiento
Description
test para medir tus conocimientos
No tags specified
test
mate
administracion
Quiz by
Juan Velez
, updated more than 1 year ago
More
Less
Created by
Juan Velez
over 9 years ago
35
0
0
Resource summary
Question 1
Question
¿ Que es una ecuación?
Answer
Es la igualdad entre dos expresiones que contienen una o mas variable
es una expresión matemática que contiene un signo de desigualdad
lo mismo que una inecuacion
ninguna de las anteriores
Question 2
Question
¿ Determine si el siguiente ejercicio pertenece a una ecuacion o a una identidad? X+1=3
Answer
inecuacion
desigualdad
ecuacion
igualdad
Question 3
Question
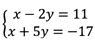
¿ Resolver el siguiente ejercicio por el método de sustitución, encontrando los valores de X y Y?
Image:
be6b6f81-8bd6-417e-a22f-8d64310b2da9 (image/png)
Answer
(4 ; -8)
(1 ; 6)
(2 ; 2)
(3 ; -4)
Question 4
Question
¿ Con el método gráfico indique cuales son los puntos que intersecan en la siguiente ecuación?
Image:
ef4f85b4-d3dd-41f4-94e5-b921c15099e4 (image/jpeg)
Answer
(3 ; -1)
(1 ; 1)
(1 ; 5)
(2 ; 2)
Question 5
Question
¿con que símbolo se representan las inecuaciones?
Answer
+ , - * , /
< , > , ≤ , ≥
todas las anteriores
ninguna de las anteriores
Question 6
Question
¿ en la siguiente inecuacion, identifique su intervalo correspondiente? x>-1
Answer
]-1;∞ [
[-1;∞ [
[-1;∞ ]
]-1;-∞ [
Question 7
Question
¿ los números reales, al estar obtenidos en valor absoluto se convierten en?
Answer
positivos
negativos
no pierden su signo
su resultado es cero
Question 8
Question
represente la siguiente inecuacion gráficamente.? 80x-70<14+20x
Answer
Image:
e7f741e1-a03e-4bd2-9cb7-9ab865bb59f4 (image/jpeg)
Image:
8070cf80-c061-45cb-b6cd-d597df824561 (image/jpeg)
Image:
c30e748d-6086-4622-920f-6f68cc7d06e4 (image/jpeg)
Question 9
Question
¿ Encuentre los valores de X y Y de la siguiente ecuación por el método que usted desee?
Image:
c2029f3d-d067-4098-b529-9fc091a6ac7c (image/jpeg)
Answer
x=2 y=8
x=3 y=2
x=5 y=6
x=2 y=1
Question 10
Question
¿cuanto es el valor absoluto de? |-225|
Answer
-225
225
1
0
Show full summary
Hide full summary
Want to create your own
Quizzes
for
free
with GoConqr?
Learn more
.
Similar
influencia de la revolución industrial en la administracion
elvis samar
Escuelas y teorías de la administración
margamher
RELACIÓN DE LA ADMINISTRACIÓN CON OTRAS CIENCIAS
alejandra parede
INFOGRAFIA PROCESO ADMINISTRATIVO
Luis Huayhuameza Cardenas
MAPA CONCEPTUAL TEORIAS DE LA ADMINISTRACION Y PENSAMIENTO
natalia garcia tovar
FINANZAS EMPRESARIALES
amoremoxxo28
control administrativo
Ancizar Eduardo VELANDIA GARAVITO
Gestor de Contratación Pública (1)
GepiEC
Planificación Táctica
Corimar Pacheco
Áreas de Aplicación de la Contabilidad
Raúl Gutiérrez y de la Llave
Teorías de la gestión de negocios.
Aparicio Ramirez
Browse Library