PRE-PAES 2016

Description

Este test esta orientado a los estudiantes de Segundo año de bachillerato del Colegio El Espíritu Santo 2016. El propósito es orientar y capacitar al estudiante para la prueba PAES a realizar en el presente año, de esta forma que puedan tener un refuerzo de las debilidades que se le presenten en el test.
Herson Castro
Quiz by Herson Castro, updated more than 1 year ago
Herson Castro
Created by Herson Castro over 9 years ago
97
1

Resource summary

Question 1

Question
1. ¿Qué clase de oración coordinada es la siguiente? "No lo escuches, ni lo mires, ni le pongas atención"
Answer
  • Disyuntiva
  • Copulativa
  • Adversativa
  • Consecutiva

Question 2

Question
¿Qué clase de oración compuesta por subordinación hay en la siguiente expresión? "El libro está donde ella lo dejó"
Answer
  • Coordinada
  • Adverbial
  • Participial
  • Sustantiva

Question 3

Question
Una característica fundamental en una oración compuesta por coordinación, es que:
Answer
  • Una de las proposiciones que la constituye es de mayor jerarquía que la otra
  • Una de las proposiciones que la constituyen es dependiente de la otra
  • Las proposiciones que la constituyen., son independientes entra sí
  • Las proposiciones la constituyen, dependan una da la otra

Question 4

Question
¿Cuál es la oración que contiene una perífrasis verbal?
Answer
  • En estos momentos comenzaron a. sonar las campanas
  • Sacó sus lentes y los colocó sobre la mesa
  • Llegaron y comieron todo
  • Ese niño salta, corre y ríe

Question 5

Question
En el estribillo de "La canción del pirata" ¿Qué manifiesta el pirata? Que es mi barco mi tesoro, mi Bicis la libertad* mi ley tu fuerza y el viento, mi única patria la mar.
Answer
  • La ambición por las riquezas
  • El profundo sentido religioso
  • El carácter aventurero.
  • El ansia total de libertad

Question 6

Question
La posición ideológica-política del medio como institución, se encuentra reflejado en:
Answer
  • Las noticias
  • Los editoriales
  • Los reportajes
  • Los artículos

Question 7

Question
Una gran ventaja de la radio, frente a la prensa y la televisión, como medio de comunicación es:
Answer
  • La época inversión económica para, su funcionamiento
  • El alto grado da retención da los mensajes que emite
  • La rapidez de la comunicación y la fácil penetración sensorial
  • La posibilidad de volver más de una vez a revisar los mensajes

Question 8

Question
Al construir una oración y aplicamos la elipsis, lo hacemos con la siguiente finalidad:
Answer
  • Suprimir palabras que están de más
  • Comunicarnos con rapidez y energía
  • Agregar palabras que aclaran la fase
  • Omitir aquellas que oscurecen la frase

Question 9

Question
Una regla ortográfica para el uso de la "Z", en las palabras "pelotazo, bombazo, bastonazo, reglazo, etc. sería:
Answer
  • Se escriben con "z" las palabras terminadas, en “azo”
  • Se escriban con "z" las palabras terminadas en "azo" sin excepción.
  • Se escriben con "z" las palabras terminadas en “azo” que indican golpe
  • Se escriben con "z" las palabras terminadas en "tazo, bazo, mazo, golazo"

Question 10

Question
Cuando dos individuos conversan y se comunican sus pensamientos, se entienden por la siguiente razón:
Answer
  • Cada uno de ellos ha aprendido una lengua
  • Los dos poseen la capacidad del lenguaje
  • Los dos materializan su lengua en el habla
  • Existe una lengua como modelo lingüístico común

Question 11

Question
Según el Popol Vuh, cuatro animales encontraron el maíz blanco y amarillo del cual fue hecho el hombre. Lo que refleja principalmente:
Answer
  • El cultivo del maíz entra los mayas
  • La participación de los animales en la creación de! hombre
  • La denominación religiosa
  • La relación del hombre con la naturaleza

Question 12

Question
¿Cuántos fonemas tiene el idioma español?
Answer
  • 15
  • 19
  • 22
  • 24

Question 13

Question
Los fonemas del español se dividen en consonánticos y vocálicos, ¿Cuántos son los fonemas consonánticos?
Answer
  • 24
  • 22
  • 19
  • 13

Question 14

Question
Es una característica propia del Realismo.
Answer
  • Convertir el "yo" en el centro de expresión artística
  • Ser un arto de crisis y contradicción
  • Analizar la realidad socio-histórica
  • Reflejar un afán de penetración en lo maravilloso y sobrenatural

Question 15

Question
De los cronistas de indias podemos afirmar que;
Answer
  • Con sus escritos nace la literatura americana
  • Fueron escritores enviados a América
  • Solo los cronistas oficiales podían informar al rey
  • Sus escritos no tienen importancia para la literatura americana

Question 16

Question
Se considera como primer cronista Americano a:
Answer
  • El Inca Garcilazo de la vega
  • El soldado Bernal Díaz del Castillo
  • El navegante Cristóbal Colón.
  • El fraile Bartolomé de las Casas

Question 17

Question
Lea cuidadosamente los siguientes versos, y luego con base en ellos conteste la pregunta a continuación; "Hombres necios que acusáis a la mujer sin razón, sin ver que sois la ocasión de lo mismo culpáis". En los versos anteriores la toma una posición a favor de:
Answer
  • La mujer
  • El hombre
  • Ambos
  • Nadie

Question 18

Question
Al movimiento literario derivado de la crisis del mundo contemporáneo, situado entre las dos guerras mundiales se le llama.
Answer
  • Modernismo
  • Postmodernismo
  • Vanguardismo
  • Postvanguardismo

Question 19

Question
¿Cuál es la afirmación falsa con respecto al signo lingüístico?
Answer
  • Es el elemento esencial de la comunicación de lingüística
  • Los signos lingüísticos ya están establecidos, no se pueden crear
  • Se define como la combinación de un .significante con un significado
  • La relación entre significante y significado es arbitraria y convencional

Question 20

Question
Las expresiones: Tú comiste, ¿tú comiste? No significan lo mismo debido a la:
Answer
  • Puntuación
  • Entonación
  • Acentuación
  • Escritura

Question 21

Question
Escritor cuyo ideal, fue luchar contra la injusticia, la ignorancia y la miseria. Su pensamiento se sintetiza en el Minimun Vital.
Answer
  • Alberto Masferrer
  • Francisco Herrera. Velado
  • Francisco Gavídia
  • Alberto Rivas Bonilla

Question 22

Question
En Salarrué se distinguen tres vertientes temáticas: la de carácter regional, la de tipo simbolista y la de tono filosófico y a la vertiente de carácter regional pertenece:
Answer
  • Catleya. Luna
  • El cristo negro
  • Cuentos de barro
  • O - yarkandal

Question 23

Question
Tomando en cuenta que la oración tiene sentido en la comunicación, ¿Cuál de las siguientes expresiones no es oración?
Answer
  • Modulo de lenguaje
  • Terminé mis estudios
  • Continué
  • ¡Auxilio!

Question 24

Question
Lea estos versos de Oswaldo Escobar Velado: -¿Por qué no canta el pueblo alegremente? -¿Cómo puede cantar amaneciendo -¿Como perro nocturno que tuvo que dormir en los portales? ¿Cuál es el problema social que plantea Escobar Velado?:
Answer
  • La nocturnidad
  • La falta de dormitorios públicos
  • La pobreza del pueblo
  • Cualquiera de los anteriores

Question 25

Question
"Pobrecito mi chucho aguacatero. Así le dicen porque sobreviven gracias a los aguacates caídos debajo de los palos en las fincas de café. En este pequeño fragmento de la novela. Un día en la vida, se refleja;
Answer
  • La pobreza del campesino,
  • La ignorancia del campesino
  • Una costumbre del campesino
  • El cultivo de café en el campo

Question 26

Question
SOCIALES Un grupo de estudiantes está interesado en realizar una investigación; tienen como propósito generar información estadística relacionada con características del país, aspectos de vivienda, información sobre sus ocupantes, situación demográfica, empleo, bienes, ingresos, entre otros.
Answer
  • Evaluar la relación que existe entre dos o más conceptos, categorías o variables
  • Recolectar datos para medir diversos aspectos del fenómeno a investigar
  • Determinar los riesgos e implicaciones de un hecho de tipo social o económico
  • Explorar sobre un tema o problema poco estudiado y del cual se tienen muchas dudas

Question 27

Question
Un científico social desea indagar sobre el tema: “los inmigrantes salvadoreños en Estados Unidos”; específicamente, cuáles son sus dificultades, intenciones y esperanzas. Dada las características del tema de investigación, el científico considera que el método más apropiado deberá estar basado en el paradigma cualitativo. ¿Qué técnica sería la más apropiada para dar respuesta a la interrogante del estudio?
Answer
  • El análisis documental de datos estadísticos que indiquen cuántos salvadoreños han emigrado en un tiempo determinado
  • La administración de encuestas a una determinada población de inmigrantes salvadoreños
  • La realización de entrevistas estructuradas a funcionarios que tengan conocimiento del tema migratorio
  • La realización de indagaciones al interior de una comunidad de inmigrantes, conviviendo con ellos durante algún tiempo

Question 28

Question
De acuerdo con el alcance de los estudios de investigación, algunos autores los clasifican como: exploratorios, descriptivos, correlacionales y explicativos. Cuando el propósito es encontrar las causas de los eventos, sucesos o fenómenos físicos y sociales, la investigación tiene alcance explicativo. ¿A cuál de las siguientes preguntas se podría dar respuesta con un estudio de este tipo?
Answer
  • ¿Cuántos padres aprueban el que sus hijos permanezcan por varias horas frente a la televisión?
  • ¿Cuánto tiempo dedican los adolescentes a ver vídeos musicales con alto contenido violento?
  • ¿Por qué los adolescentes prefieren ver vídeos musicales con altos contenidos violentos, respecto a otro tipo de programas?
  • ¿La preferencia de los jóvenes hacia vídeos musicales les aumenta sus niveles de agresividad?

Question 29

Question
Plantear un problema es afinar y estructurar más formalmente la idea inicial de la investigación; para un estudio cuantitativo se sugiere tomar en cuenta los siguientes criterios:  El problema ha de expresar la regularidad de un fenómeno o una relación entre dos o más variables.  El problema debe implicar la posibilidad de prueba empírica; es decir, ser observable en la realidad. Dados estos criterios, selecciona la opción que mejor plantea un problema de investigación.
Answer
  • ¿Cómo se manifestará el fenómeno de la pobreza en El Salvador en los próximos cinco años?
  • ¿Cuál es el estado de nutrición en el que se encuentran los niños y niñas salvadoreños?
  • ¿En qué condiciones se manifiesta la libertad del espíritu y cómo se relaciona con la felicidad de los hombres?
  • ¿Qué efectos produce la emigración en la estructura de las familias salvadoreñas que viven en zonas rurales?

Question 30

Question
Observa el siguiente esquema y selecciona la opción correcta para completar las etapas de la investigación social.
Answer
  • Definir la unidad de análisis, formular hipótesis, selección de la muestra
  • Definir las unidades de análisis, seleccionar la muestra, elaborar el instrumento para recolección de datos
  • Establecer los objetivos, justificar la investigación y su viabilidad, formulación de las hipótesis
  • Objetivos, formulación de hipótesis, trabajo de campo para aplicar instrumentos

Question 31

Question
La formulación de los objetivos son parte fundamental en cualquier investigación, ¿cuál es la utilidad metodológica que tiene la formulación adecuada de los mismos?
Answer
  • Guían el desarrollo de una investigación porque son puntos de referencia
  • Indican lo que se está buscando o tratando de probar
  • Proveen de un marco de referencia para interpretar los resultados
  • Sustentan con argumentos convincentes, la realización de un estudio

Question 32

Question
Observa e interpreta la siguiente gráfica Partiendo del hecho de que una hipótesis puede surgir de investigaciones y antecedentes generales que se consideran válidos para un estudio, selecciona la opción que mejor plantea la hipótesis según los datos de la gráfica. Opciones de respuesta:
Answer
  • Cuanto mayor es el porcentaje de hombres que tienen la responsabilidad de cubrir mensualmente los gastos de la comida, mayores serán las dificultades para comprarla
  • El sexo (masculino y femenino) no es una variable asociada con la dificultad o no para cubrir la satisfacción de las necesidades básicas
  • Las dificultades para el pago de agua y electricidad son mayores cuando es el hombre el que cubre dichos gastos
  • Las mujeres tienen mayores dificultades que los hombres, cuando se trata de cubrir los pagos mensuales de agua y electricidad porque se preocupan más por los gastos de la comida

Question 33

Question
Lee con atención el siguiente texto En el contexto del auge agroexportador, ¿por qué fue tan importante la llegada del ferrocarril al país?
Answer
  • Uniría las zonas cafetaleras en expansión con los puertos
  • Facilitaría la comunicación y el traslado de personas de un lugar a otro
  • Mejoraría la red vial creando desarrollo en todos los departamentos
  • Facilitaría el traslado del añil hacia los principales centros de distribución

Question 34

Question
En el contexto de la expansión cafetalera, los beneficios que obtuvo la clase dominante provenían, en su mayoría, del financiamiento de esta actividad económica; el mecanismo que permitió a este grupo acumular mayores extensiones de tierra fue:
Answer
  • El acreedor tomó posesión de las tierras ante la incapacidad de pago por parte de los productores
  • El grupo financiero compraba las mejores tierras a los pequeños productores a cambio de darles trabajo en las haciendas
  • La siembra extensiva de café hizo aumentar de manera considerable las ganancias, permitiendo comprar más y mejores tierras
  • Las políticas económicas del Estado avalaron que la clase dominante otorgara préstamos con intereses altos a los pequeños productores

Question 35

Question
Lee y analiza el siguiente fragmento: "A finales de los años 20, el precio del café salvadoreño cayó considerablemente, para ese entonces el comportamiento de la economía interna de El Salvador estaba muy ligado al café, por lo que este suceso provocó “la ruina de los pequeños y medianos propietarios; el 28 por ciento de las propiedades cafetaleras cambiaron de manos... Hubo despidos masivos de trabajadores estacionales y la reducción de los salarios”. Los ingresos fiscales disminuían al mismo tiempo que se venían abajo las exportaciones de café" El fragmento anterior hace referencia a los sucesos históricos que constituyen una de las principales causas de:
Answer
  • El fin de la dictadura militar y su alianza con la oligarquía
  • El fortalecimiento del sistema agroexportador
  • La crisis del Estado oligárquico
  • La gran crisis económica mundial

Question 36

Question
Manuel Enrique Araujo, quien gobernó solamente dos años (1911- 1913), reviste importancia en la historia salvadoreña debido a que implementó medidas reformistas, al mismo tiempo que fortaleció el aparato estatal represivo. Según este planteamiento, ¿cuál de las siguientes opciones describe las medidas adoptadas por este gobierno?
Answer
  • Abolió la prisión por deudas y organizó un grupo para su propio apoyo llamado Liga Roja
  • Creó un Fondo de Mejoramiento Social y reprimió todo tipo de libertades
  • Estableció la indemnización por accidentes de trabajo y creó la Guardia Nacional
  • Prohibió los castigos judiciales corporales y abolió la propiedad comunal y ejidal

Question 37

Question
El martinato, como se le conoce al período de gobierno del general Maximiliano Hernández Martínez, se caracterizó en lo económico por una posición más pragmática y centralista y por la realización de importantes reformas que modificaron la manera en que el Estado intervenía; entre éstas se destaca:
Answer
  • La creación de instituciones bancarias como el Banco Central de Reserva y el Banco Hipotecario
  • La aprobación de nuevos créditos para financiar las reformas, aumentando la deuda externa
  • Se hicieron recortes en el presupuesto, siendo las Fuerzas Armadas las que obtuvieron el menor porcentaje
  • Se introdujo reformas en la Constitución para que el Estado no intervenga en la economía

Question 38

Question
Durante los años de gobierno del General Martínez se tomaron medidas que buscaban mejorar la grave situación económica del país. Destaca por su importancia, la constitución del Fondo de Mejoramiento Social que tenía como objetivos mejorar la vivienda y redistribuir tierras, entre otros. Sin embargo, se afirma que Martínez prefirió mantener una economía simple, agrícola y artesanal, en lugar de una industria y comercio a gran escala. De este planteamiento se deduce que el modelo económico de Martínez
Answer
  • Buscó diversificar la economía como medida para aliviar la crisis
  • Fue esencialmente tradicional y asistencialista
  • Generó condiciones para liberalizar la economía y diversificar la producción
  • Se enfocó en modernizar las formas artesanales de producción

Question 39

Question
Sobre los sucesos de 1932 en El Salvador todavía no hay una sola interpretación, sino diversas. Una de ellas es la tesis del historiador estadounidense Erik Ching, en la que sostiene que el papel del partido comunista en la insurrección quedó bastante disminuido, pues este era muy pequeño, de reciente creación y sumamente dividido por discrepancias internas. Agrega además, que en ese momento el malestar agrario en las zonas cafetaleras y la agitación social estaban ampliamente presentes. Según este planteamiento, las causas del levantamiento pueden explicarse a partir de
Answer
  • La influencia predominantemente ideológica del partido comunista
  • Las discrepancias al interior del partido político recién formado
  • El alto nivel de organización alcanzado por el grupo de jornaleros
  • Un grupo de campesinos descontentos a causa de la opresión

Question 40

Question
Durante el mandato del coronel Oscar Osorio se creó el Seguro Social, el Instituto de Vivienda Urbana, la Presa Hidroeléctrica 5 de Noviembre y la carretera El Litoral. Estas obras pudieron concretarse porque la década de 1950 fue de excepcional bonanza económica. ¿Qué factor permitió aumentar considerablemente los ingresos de Estado?
Answer
  • El alza en el precio internacional del café y el algodón, así como la extensión de sus cultivos
  • El compromiso del gobierno por dar cumplimiento a las promesas de su campaña electoral
  • El interés de los Estados Unidos por modernizar e industrializar a los países de la región
  • Los préstamos otorgados por la Comisión Económica para América Latina

Question 41

Question
Los más importantes cambios ocurridos durante el período militarista estuvieron inspirados en la Constitución de 1950, que ha tenido una gran influencia en toda la legislación salvadoreña por incluir en sus artículos principios como: justicia social, existencia digna, y libertades económicas que no se opongan al interés social, entre otros. Las ideas fundamentales de esta Constitución fueron consideradas como una ruptura radical con el pasado. ¿Qué elementos hicieron de ésta una Carta Magna diferente a las anteriores?
Answer
  • La aprobación de mayor presupuesto para invertir prioritariamente en obras de infraestructura
  • La asignación al Estado de una posición neutral, respecto al régimen económico y de derechos humanos
  • La reglamentación de políticas de privatización para garantizar que todos los habitantes de la República tengan acceso a salud y bienestar económico
  • La introducción de normas que definen un nuevo papel para el Estado y regulan las relaciones económicas y sociales

Question 42

Question
Desde el punto de vista democrático, la falta de legitimidad de los regímenes militares en El Salvador se debió a que éstos:
Answer
  • Avalaron la intervención de otros países en asuntos políticos internos
  • Fueron el resultado de golpes de Estado y/o elecciones fraudulentas
  • Irrespetaron la libertad de expresión
  • No formaban parte de la Organización de las Naciones Unidas

Question 43

Question
La década de los setenta se caracterizó en el país por el fortalecimiento del movimiento popular organizado; aparecen el Bloque Popular Revolucionario (BPR), Frente de Acción Popular Unificado (FAPU) y Ligas Populares 28 de Febrero que aglutinaban desde estudiantes hasta organizaciones sindicales, profesionales y campesinos. Para esos años, la posibilidad de acceso al poder sobre la base de partidos políticos representativos era nula. Según este planteamiento, una de las principales condiciones que propició el crecimiento en número y organización de estos frentes políticos de masas fue
Answer
  • El fracaso de la vía electoral para acceder al poder por parte de la oposición
  • La apertura de espacios políticos promovidos por el gobierno de turno
  • La aprobación constitucional del derecho a la libre organización partidista
  • Los programas de concientización orientados por la iglesia

Question 44

Question
Enunciado: Analiza el siguiente texto sobre “El uso de la violencia por parte de las Organizaciones populares” en el contexto de la década del 70. “El concepto de violencia no es claro y unívoco. Parecería que se propendiera a juzgar que violencia es lo que hacen los otros, nunca lo que hace uno...violencia es todo uso de poder contra el derecho ajeno. Puede decirse esto de otro modo y afirmar que violencia es el uso injusto de la fuerza del poder. Por ello al tratar el problema de la violencia por parte de las organizaciones populares hay que empezar a verlo desde el derecho que les asiste a organizarse y a defender sus propios intereses...la práctica de todos estos años ha demostrado que las actuales estructuras no darán nada sustancial por las vías legales...” Tomado de: Tomas R. Campos. El papel de las Organizaciones populares en la actual situación del país. Según lo que plantea el texto, ¿bajo qué condiciones la violencia ejercida por las organizaciones populares podría ser considerada como defensa legítima?
Answer
  • Cuando se produce en un contexto de injusticia estructural y desde los derechos reconocidos legalmente
  • Cuando se realizan acciones en el marco de la legalidad y de lo socialmente aprobado
  • Si las demandas son consideradas justas por el gobierno, según sean las capacidades que éste tenga para resolverlas
  • Si su accionar demanda salir de un estado de opresión, pero se realiza sin alterar el orden público

Question 45

Question
Enunciado: La década de 1970 a 1980 se destacó por la siguiente característica:
Answer
  • Da inicio un período de dictadura y represión militar en contra de la clase opositora
  • Fortalecimiento de la institucionalidad democrática debido a los procesos electorales
  • Origen y desarrollo de las organizaciones político - militares de izquierda
  • Surgen pequeños grupos constituidos por efectivos de la Fuerza Armada y de los cuerpos de seguridad

Question 46

Question
El acontecimiento político que en la línea del tiempo marca el fin de la dictadura militar y el inicio de un gobierno constituido por civiles y militares fue:
Answer
  • El golpe de Estado al Gral. Carlos Humberto Romero
  • La firma de los Acuerdos de Paz
  • La Ofensiva final del 10 de enero de 1981
  • Los encuentros de diálogo entre el gobierno, la Fuerza Armada y los insurgentes

Question 47

Question
De los sucesos señalados en la línea del tiempo, ¿Cuál de ellos adquiere importancia por haber encausado a ambas partes en la vía de un mayor diálogo y negociación para agilizar la resolución del conflicto?
Answer
  • El Cese del fuego unilateral dispuesto por el FMLN
  • La Ofensiva final de 1981
  • La propuesta de diálogo que hizo Alfredo Cristiani al FMLN
  • La ofensiva militar del FMLN en 1989

Question 48

Question
Lee y analiza el siguiente texto En el contexto de la guerra civil en El Salvador, varios fueron los países que estuvieron dispuestos a mediar para dar lugar a negociaciones entre las partes en conflicto. Es de mucho interés considerar la declaración Franco-Mexicana del 28 de agosto de 1981: “convencidos de que corresponde únicamente al pueblo de El Salvador la búsqueda de una solución justa y duradera a la profunda crisis por la que atraviesa ese país,... que la alianza del Frente Farabundo Martí para la Liberación Nacional y del Frente Democrático Revolucionario constituye una fuerza política representativa, dispuesta a asumir las obligaciones y a ejercer los derechos a la instauración de los mecanismos de acercamiento y de negociación para la solución política de la crisis”. Tomado de: Iosu Perales. ¿Por qué la guerra en El Salvador? (1970-1980) ¿Cuál es la hipótesis que podría formularse a partir del hecho de que dos países como Francia y México reconocieran como fuerza representativa al FMLN-FDR?
Answer
  • En la declaración Franco – Mexicana se visualiza una postura a favor de la injerencia extranjera para solucionar el conflicto
  • La declaración Franco Mexicana muestra preocupación por el sufrimiento del pueblo salvadoreño ante la crisis desatada por el FMLN-FDR
  • La lucha liderada por la alianza FMLN- FDR fue considerada, por ambos países, como legítima y necesaria
  • Los mecanismos de acercamiento y negociación propuestos por el gobierno no tuvieron respuesta por parte de la alianza

Question 49

Question
La situación política de los años 1970 -1979 en El Salvador, es descrita en los siguientes términos: “La sociedad salvadoreña se encontraba polarizada políticamente por la falta de institucionalidad democrática que garantizara en especial la alternabilidad en el poder político...”. Durante esos años, la falta de alternabilidad política institucional tuvo su principal causa en:
Answer
  • La inexistencia de oposición política en los comicios electorales
  • La suspensión de procesos electorales y persecución de las organizaciones populares
  • Las reformas a la Constitución de la República que avalaban la reelección presidencial
  • Los fraudes electorales, persecución y exilio de los líderes políticos

Question 50

Question
Algunos analistas sostienen que existe una interdependencia entre los factores internos y externos que determinan, en algunos casos, la situación propia de los países. Por ejemplo, para El Salvador, los cambios que ocurrieron al interior del país, en la región centroamericana y a nivel internacional permitieron la posibilidad de concluir la guerra. Entre dichos cambios se destaca:
Answer
  • La finalización de la guerra fría
  • El golpe de Estado de 1979 que puso fin a la dictadura militar en el país
  • El triunfo de la revolución nicaragüense
  • El triunfo del partido ARENA en las elecciones presidenciales de 1989

Question 51

Question
MATEMÁTICA Después de resolver cada problema, escoja la mejor opción de las cuatro que se le presentan. No olvide marcar el literal correspondiente en cada pregunta. ¿Puede calcularse el valor de Z en la figura? En caso afirmativo encuentrelo, de otro modo de la razón que impide calcularlo.
Answer
  • No. La figura no esta dibujada en escala.
  • No. lLos datos no son suficientes
  • Si. Es aproximadamente 48.
  • Si. Es aproximadamente 13.

Question 52

Question
En una colonia, 8 jóvenes forman un equipo de baloncesto. Al comenzar cada juego tienen que presentar una lista de los 5 jugadores titulares. Si deciden presentar una lista diferente en cada juego. ¿Cuántas veces jugaran antes de repetir una lista?
Answer
  • 18
  • 56
  • 42
  • 28

Question 53

Question
¿Cuántos múltiplos de 4 hay en el intervalo [11,97]
Answer
  • 25
  • 22
  • 23
  • 24

Question 54

Question
El precio de cierto articulo se rebaja un 10%. Dicho articulo es vendido a un caballero que consigue un 10% adicional. Ambos descuentos del 10% equivalen a un descuento real de el.
Answer
  • 10%
  • 19%
  • 11%
  • 20%

Question 55

Question
Una empresa realizo una encuesta a 275 personas del municipio de San Salvador para conocer sobre el medio donde suelen ver los anuncios publicitarios. Si el 60% dice que los ve en televisión. ¿ Que cantidad de personas lo hace a través de otros medios?
Answer
  • 215
  • 165
  • 110
  • 40

Question 56

Question
¿Que altura tiene un edificio que proyecta una sombra de 49m en el mismo momento que una estaca de 2m proyecta una sombra de 1.25m de longitud?
Answer
  • 19.6 m
  • 49.75 m
  • 78.4
  • 122.5

Question 57

Question
Un estudiante ah realizado seis evaluaciones en matemática y su media es 6.8. si en otras dos pruebas obtiene 6.4 y 9.6, el nuevo valor de la media será?
Answer
  • 7.1
  • 7.4
  • 7.6
  • 8.0

Question 58

Question
A una fiesta asistieron 46 personas distribuidas según edades, de la siguiente forma: Vea la imagen al lado posterior derecho. La media aritmética de la edad de las personas asistentes al evento es:
Answer
  • 15.33
  • 16
  • 14
  • 16.67

Question 59

Question
Una puerta de forma rectangular tiene como área la expresión 6x^2-7x-3. Si se sabe que la longitud de la base esta dada por 2x-3, ¿Cuál de las siguientes expresiones algebraicas representa la longitud de la altura:
Answer
  • 6x2 - 9x
  • 6x2-5x-6
  • 12x3- 32x2 + 15x + 9
  • 3x + 1

Question 60

Question
¿Cuál es la solución de la ecuación (5x-4)/2=2x-3?
Answer
  • - 2
  • 1/3
  • 1
  • -9/10

Question 61

Question
La media aritmética de dos números enteros consecutivos es 8.5. el sucesor del mayor de los dos numero enteros es:
Answer
  • 8
  • 9
  • 10
  • 18

Question 62

Question
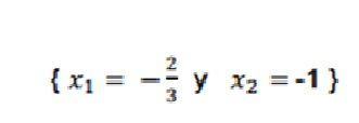
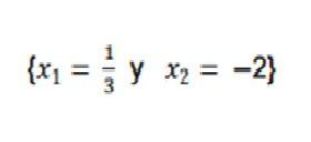
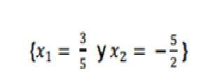
Para la ecuación 5x+3x^2=2, las soluciones son:

Question 63

Question
¿Cuál de los siguientes pares ordenados corresponde al punto de intersección de f(x)=3 y g(x)=2x-1 ?
Answer
  • (3, -1)
  • (3, 1)
  • (3, 5)
  • (2, 3)

Question 64

Question
¿De cual de los triángulos mostrados se obtiene que secθ=5/2

Question 65

Question
Encontrar el valor del angulo θ del triangulo mostrado
Answer
  • 25°
  • 36.87°
  • 48.59°
  • 41.43°

Question 66

Question
Un hombre de 1.75 m de estatura observa la parte alta de un poste de 18.25 m de altura, con un angulo de elevación de 30°. La distancia horizontal que hay entre el hombre y el poste es:
Answer
  • 28.58 m
  • 50.00 m
  • 31.61 m
  • 33.00

Question 67

Question
A partir del siguiente grafico. ¿Cuál es el dominio y el recorrido de la función f(x)?
Answer
  • N y R
  • [3,+∞] y [0,2]
  • R y R
  • [3,+∞[ y ]-∞,2]

Question 68

Question
¿En cual figura están ubicados correctamente los puntos A(-2,0),B(3,0)y C(2,-3)?

Question 69

Question
Si f(x)=x^2-3 y h(x)=x+4 , ¿Cuál es el valor de 3f(-1)+5h(2)?
Answer
  • 24
  • 30
  • 36
  • -6

Question 70

Question
Una empresa ofrece el siguiente plan para teléfonos: “pagar $0.08 por cada uno de los primeros 30 minutos y $0.05 por cada minuto adicional”. ¿La ecuación que permite determinar la cantidad a pagar por una persona que gasta mas de 30 minutos es?
Answer
  • C(x) = 0.08 (30) + 0.05 (x- 30)
  • C(x) = 0.08 (30) + 0.05 (30-x)
  • C(x) = 0.08 (30) + 0.05 (x)
  • C(x) = 0.08 + 0.05 (x)

Question 71

Question
De las siguientes figuras, la que corresponde a f(x)=2x-1 es:
Answer
  • A- Opción correcta
  • B- Opción correcta
  • C- Opción correcta
  • D- Opción correcta

Question 72

Question
En un saco se tienen dos pelotas rojas, cinco verdes, tres negras y cuatro amarillas, si se extrae una pelota, ¿Cuál es la probabilidad de que esta sea amarilla o verde?
Answer
  • 4/10
  • 4/5
  • 5/14
  • 9/14

Question 73

Question
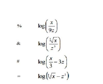
La expresión log⁡x/3-3 log⁡ z es equivalente a:
Answer
  • % Opción correcta
  • & Opción correcta
  • # Opción correcta
  • = Opción correcta

Question 74

Question
Aplique el teorema del seno para encontrar el valor de x en el siguiente triangulo.
Answer
  • 42.93
  • 30.33
  • 40.91
  • 60.80

Question 75

Question
Aplique el teorema del coseno para encontrar la longitud del lado restante en el siguiente triangulo.
Answer
  • 246.65
  • 15.70
  • 20.3
  • 12

Question 76

Question
CIENCIAS Existen mezclas que no son homogéneas, ni heterogéneas, por lo tanto se les considera intermedias y reciben el nombre de:
Answer
  • Gases
  • Sólidos
  • Líquidos
  • Coloide

Question 77

Question
Cuando nosotros entramos a un cuarto oscuro repentinamente, al principio no vemos; pero luego la pupila empieza a dilatarse y podemos ver mejor. El camaleón cambia de color según sea el ambiente en que se encuentra. Los hechos anteriores son característicos de todos los seres vivos y corresponde a la función:
Answer
  • Adaptación
  • Movimiento
  • Sensibilidad
  • Evolución

Question 78

Question
Los portadores de la herencia, lo mismo que de todas las demás propiedades de la vida, son los genes. Este enunciado corresponde a la hipótesis de:
Answer
  • La generación espontánea
  • Del gen
  • Creacionista
  • De Arrhenius

Question 79

Question
Todo ser vivo animal, vegetal o intermedio como virus, está formada a partir de elementos básicos como:
Answer
  • Carbono, Hidrógeno, Oxígeno, Azufre, Hierro
  • Carbono, Oxígeno, Plata, Nitrógeno
  • Carbono, Hidrógeno, Oxígeno, Nitrógeno, Azufre, Fósforo
  • Hidrógeno, Nitrógeno, Azufre, Selenio

Question 80

Question
De las siguientes opciones, una cadena alimenticia es un buen ejemplo de relaciones entre:
Answer
  • Parásitos y hospedantes
  • Organismos miméticos
  • Presas y depredadores
  • Organismos Simbióticos

Question 81

Question
El literal que mejor expresa por qué un ser vivo es un sistema abierto es:
Answer
  • En el que sólo ingresa energía
  • No hay intercambio con el medio exterior
  • Sólo permite la salida de energía
  • El que intercambia energía, materia, es decir permite el ingreso y salida de energía

Question 82

Question
Las dos nuevas partículas atómicas recientemente descubiertas son:
Answer
  • Protones, neutrinos
  • Electrones, quarks
  • Neutrinos, quarks
  • Neutrones, neutrinos

Question 83

Question
Para que los ecosistemas mantengan su equilibrio tienen que:
Answer
  • Consumir energía exterior
  • Producir más de lo que necesitan
  • Disponer de un acopio considerable de elementos, asegurar su reciclaje, evitar las carencias como los excesos
  • intercambiar energía con el medio

Question 84

Question
Se tienen 3 recipientes iguales, todos con la misma cantidad de agua. Al primero se le agrega una cucharada de sal, al segundo, una cucharada de azúcar y al tercero no se le agrega nada. Respecto al punto de ebullición de los contenidos de los recipientes, es correcto afirmar que:
Answer
  • Es más alto el del primero
  • Es más alto el del segundo
  • Es más alto el del tercero
  • Todos son iguales

Question 85

Question
La ecuación química general 6CO2 + H2O- Energía Radiante C6H12O6 + 6 O2. Es el proceso de:
Answer
  • Respiración celular
  • Glucólisis
  • Fotosíntesis
  • Fermentación

Question 86

Question
En un sistema de frenos hidráulicos (una aplicación del principio de la prensa hidráulica) se está utilizando un fluido muy compresible. El problema práctico principal que resulta al utilizar este fluido es que:
Answer
  • El fluido se escapa con mayor facilidad del sistema
  • La viscosidad del fluido ha aumentado
  • El fluido hace que el sistema, responda más lentamente
  • Se necesita más cantidad de fluido en el sistema

Question 87

Question
Al hacer un cruce mono-híbrido de plantas altas con plantas enanas, el resultado de F1 será:
Answer
  • 50% plantas altas
  • 50% plantas enanas
  • 75% plantas altas
  • 100% plantas altas

Question 88

Question
proceso por medio del cual se originan los espermatozoides es:
Answer
  • Ovogénesis
  • Mitosis
  • Espermatogénesis
  • Gemación

Question 89

Question
La función de los carbohidratos en el cuerpo humano es:
Answer
  • Constituir las moléculas más abundantes en el organismo
  • Permitir el almacenaje de energía en el organismo
  • Proveer energía a corto plazo
  • Constituir las membranas celulares

Question 90

Question
El proceso que da origen a los óvulos es:
Answer
  • Mitosis
  • Ovogénesis
  • Espermatogénesis
  • Esporulación

Question 91

Question
Los vectores A y B al ser sumados dan como resultado al vector r , Si A y r son representados así :

Question 92

Question
¿Cuántos pies hay en 200 centímetros?, si sabemos que 1 cm. = 0. 328 pies?
Answer
  • 7.5 cm
  • 65.6 cm
  • 6.4 cm
  • 6.3 cm

Question 93

Question
La enfermedad de transmisión sexual que produce una lesión denominada Chancro es:
Answer
  • SIDA
  • Sífilis
  • Gonorrea
  • Herpes

Question 94

Question
La razón por la cual se debe evitar ubicar el norte geográfico con una brújula, cuando estamos cerca de alambres conductores de corriente eléctrica es:
Answer
  • La presencia de carga eléctrica en los cables influye sobre la brújula
  • La corriente eléctrica en los cables neutraliza al campo magnético terrestre
  • El campo magnético producido por la corriente eléctrica influye en la brújula
  • El campo magnético terrestre induce corrientes adicionales en el alambre que afectan a la brújula

Question 95

Question
La fuerza de atracción que ejercen entre sí las moléculas de un líquido (cohesión), hacen que reduzca su superficie al mínimo. Este fenómeno es conocido como:
Answer
  • Viscosidad
  • Capilaridad
  • Tensión superficial
  • Presión

Question 96

Question
La presión hidrostática es:
Answer
  • A mayor altura, mayor presión
  • A menor altura, menor presión
  • A menor altura, mayor presión
  • A mayor profundidad dentro de un líquido, mayor presión

Question 97

Question
En el laboratorio se mezcla el agua contenida en tres recipientes con la misma cantidad cada uno, si el primero se encontraba a 100 °C, el segundo a 50 °C y el tercero a O °C. Bajo la condición de que no hay pérdidas de calor, la temperatura de la mezcla en °C es:
Answer
  • 50° C
  • 75° C
  • 125° C
  • 150° C

Question 98

Question
La reflexión del sonido da lugar al fenómeno llamado:
Answer
  • Amplitud
  • Eco
  • Timbre
  • Resonancia

Question 99

Question
Una caja se somete a las fuerzas indicadas en el dibujo anterior. Suponiendo que no hay fricción y si queremos llevarlo a un equilibrio de fuerzas, es necesario que se agregue otra fuerza con las siguientes características.
Answer
  • 10 Newton (N), apuntando a la izquierda
  • 10 Newton (N), apuntando a la derecha
  • 20 Newton (N), apuntando a la izquierda
  • 20 Newton ( N), apuntando a la derecha

Question 100

Question
Cuando una tropa de soldados marcha sobre un puente de madera, el puente se puede quebrar si no se rompe el paso. Este fenómeno es conocido como:
Answer
  • Resonancia
  • Eco
  • Amplitud
  • Timbre
Show full summary Hide full summary

Similar

SIMULACRO DE SOCIALES.
Nayibe Perilla
QUÍMICA, PASAPALABRA...
JL Cadenas
Biología Celular
maya velasquez
CLASIFICACIÓN DE LA QUIMICA
NATALI GUSQUI
Linea del tiempo Ciencia
erick romero
Examen de Sociales - GED
Diego Santos
Textos Científicos - Módulo 2
Raúl Fox
Diferencias entre la Química y Física
preciosa-merry-2
Test de Geografía
maya velasquez
Esterilización, desinfección y antisepsia
ana.karen94
PROTEINAS
Olga Saez