NIVEL 2

Description

Proyecto de Matemáticas
Ana  Armijos Pogo
Quiz by Ana Armijos Pogo, updated more than 1 year ago
Ana  Armijos Pogo
Created by Ana Armijos Pogo about 9 years ago
26
0

Resource summary

Question 1

Question
Resuelva el siguiente problema de simplificación de fracciones, y elija la opción correcta

Question 2

Question
Hallar el quinto término del desarrollo del binomio, y marcar el literal con la respuesta correcta: \[(x^2\ - 3y)^7\]
Answer
  • 2835\(x^6\)\(y^4\)
  • 8505\(x^6\)\(y^4\)
  • -10206\(x^6\)\(y^4\)

Question 3

Question
Resolver el siguiente problema de proporciones y seleccione la respuesta correcta: En una industria trabajando 8 horas diarias se necesita 9 días para elaborar 2000 frascos de mermelada. ¿Cuántos días tardará en hacer 5000 si se trabaja 12 horas diarias?
Answer
  • 10 días
  • 15 días
  • 30 días

Question 4

Question
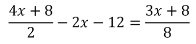
Al resolver la siguiente ecuación, obtendremos que el valor de X es:
Answer
  • X= -12
  • X= -24
  • X= 72

Question 5

Question
La respuesta correcta para la siguiente ecuación cuadrática es el literal: \(9x^2\)+18x+17=0
Show full summary Hide full summary

Similar

Ecuaciones (Primer Grado)
Diego Santos
ORIGEN DE LOS LOGARITMOS
Hugo Fernando
METODOS PARA RESOLVER ECUACIONES SIMULTANEAS
José Juan Luna Ortega
Ecuaciones Estadísticas
Diego Santos
CÁLCULO MENTAL
JL Cadenas
Sistema de ecuaciones
MaruGonzalez
Derivadas
erendira.aviles
Test 1. I medio
Samuel Campos Cid
Matemáticas Avanzadas
Estefi Fernandez
ECUACIONES
rcarrollg11
Factor común
Carlos Saravia