NIVEL 3

Description

FINALES
Manuel Delgado
Quiz by Manuel Delgado, updated more than 1 year ago
Manuel Delgado
Created by Manuel Delgado about 9 years ago
317
0

Resource summary

Question 1

Question
En una escuela de 600 alumnos, 100 no estudian ningún idioma extranjero, 450 estudian francés y 50 estudian francés e inglés. ¿Cuántos estudian solo inglés?
Answer
  • 50
  • 60
  • 70
  • 80

Question 2

Question
Considere la proposición “Compro y uso el traje gris, si me pagan”. Una recíproca de la proposición dada es:
Answer
  • Si compro y uso el traje gris, entonces me pagan.
  • Si no compro y no uso el traje gris, entonces no me pagan.
  • Si no compro o no uso el traje gris, entonces me pagan.
  • Si no me pagan, entonces no compro o no uso el traje gris.

Question 3

Question
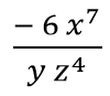
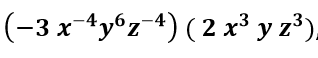
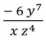
Al simplificar la expresión , se obtiene:

Question 4

Question
Una tienda rebaja todos los artículos en la misma proporción. Si por una camiseta de 18 $ pago 16,20 $, ¿cuánto debo pagar por un jersey de 90 $?
Answer
  • 78 $
  • 85 $
  • 68 $
  • 81 $

Question 5

Question
Un automóvil gasta 5 litros de gasolina cada 100 kms. ¿Cuántos kms recorrerá con 28 litros?
Answer
  • 530
  • 660
  • 356
  • 560
Show full summary Hide full summary

Similar

Ecuaciones (Primer Grado)
Diego Santos
METODOS PARA RESOLVER ECUACIONES SIMULTANEAS
José Juan Luna Ortega
Ecuaciones Estadísticas
Diego Santos
Sistema de ecuaciones
MaruGonzalez
Derivadas
erendira.aviles
ORIGEN DE LOS LOGARITMOS
Hugo Fernando
Test 1. I medio
Samuel Campos Cid
Matemáticas Avanzadas
Estefi Fernandez
Ecuaciones de Segundo Grado
Diego Santos
ÁLGEBRA
JL Cadenas