null
US
Sign In
Sign Up for Free
Sign Up
We have detected that Javascript is not enabled in your browser. The dynamic nature of our site means that Javascript must be enabled to function properly. Please read our
terms and conditions
for more information.
Next up
Copy and Edit
You need to log in to complete this action!
Register for Free
694398
Límites y derivadas
Description
matemáticas IV Quiz on Límites y derivadas, created by fmartinez2408 on 30/03/2014.
No tags specified
matematicas iv
matemáticas iv
Quiz by
fmartinez2408
, updated more than 1 year ago
More
Less
Created by
fmartinez2408
over 11 years ago
541
9
2
Resource summary
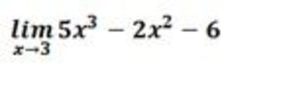
Question 1
Question
1. Calcule el siguiente límite:
Image:
l_mite1 (image/jpg)
Answer
lím = 111
lím = 115
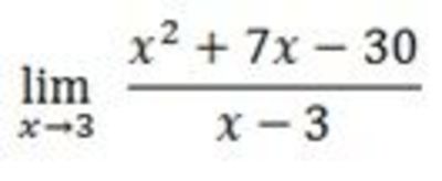
Question 2
Question
Calcule el siguiente límite:
Image:
examtimelim2 (image/jpg)
Answer
lim = 6
lim = 8
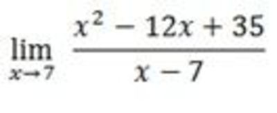
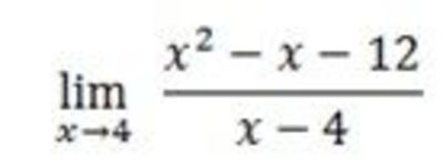
Question 3
Question
Calcule el siguiente límite:
Image:
examtimelim3 (image/jpg)
Answer
lim = 7
lim = 5
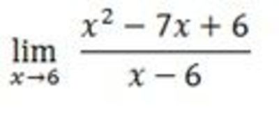
Question 4
Question
Calcule el siguiente límite:
Image:
examtimelim4 (image/jpg)
Answer
lim = 13
lim = 10
Question 5
Question
Calcule el siguiente límite:
Image:
examtimelim5 (image/jpg)
Answer
lim = 2
lim = 5
Show full summary
Hide full summary
Want to create your own
Quizzes
for
free
with GoConqr?
Learn more
.
Similar
Matrices
Gabriel Marca
Browse Library