null
US
Sign In
Sign Up for Free
Sign Up
We have detected that Javascript is not enabled in your browser. The dynamic nature of our site means that Javascript must be enabled to function properly. Please read our
terms and conditions
for more information.
Next up
Copy and Edit
You need to log in to complete this action!
Register for Free
7255524
EXAMEN 2 (UNIDAD 3)
Description
Segundo examen de la tercera unidad del curso de cálculo aplicado
No tags specified
derivadas
integrales
funciones
ingeniería
calculo aplicado
Quiz by
Alejandro Barcenas Rosas
, updated more than 1 year ago
More
Less
Created by
Alejandro Barcenas Rosas
almost 9 years ago
15
0
0
Resource summary
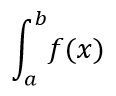
Question 1
Question
La indeterminación de la imagen es de tipo:
Image:
db0d27d1-d3f1-43d6-8f69-39fa32e949ec (image/jpeg)
Answer
Potencia
Diferencia
Producto
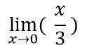
Question 2
Question
Selecciona las opciones que sean formas indeterminadas
Answer
Image:
05f183d3-6964-4555-9e4b-05964aece691 (image/jpeg)
Image:
129317bf-8ed1-418a-a96a-d54fa220810a (image/jpeg)
Image:
0b12569b-4636-48e4-991b-4f7d91cb2f1f (image/jpeg)
Image:
efad5f2b-0e4a-4b60-ac75-bc0cb106b3c7 (image/jpeg)
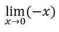
Question 3
Question
¿La imagen muestra un producto indeterminado?
Image:
aee3d8d2-1e16-4d00-accc-4aa9fc964545 (image/jpeg)
Answer
True
False
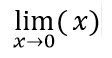
Question 4
Question
¿La imagen muestra una integral impropia?
Image:
13c26440-3920-40a0-82d5-fc515fb0b074 (image/jpeg)
Answer
True
False
Question 5
Question
¿Cuál es el resultado de aplicar la regla de L'Hopital a la siguiente ecuación?
Image:
7e5b4912-b7ce-4069-9444-baf51b6f4be9 (image/jpeg)
Answer
Image:
f5f64c1e-9a2a-4414-9c7b-ff0f5e5df03b (image/jpeg)
Image:
682d320c-9679-4762-8694-8768c680841f (image/jpeg)
Image:
a70e9a3f-1de6-4a2f-b0e4-a0c788b1ebbe (image/jpeg)
Image:
5d74d0d1-2f10-426b-8263-e5f0cb14ce42 (image/jpeg)
Show full summary
Hide full summary
Want to create your own
Quizzes
for
free
with GoConqr?
Learn more
.
Similar
INGENIERIA DE MATERIALES
Ricardo Álvarez
Aplicaciones de las derivadas
Marta Arroyo
Elementos Básicos de Ingeniería Ambiental
Evilus Rada
Funciones - Test
sofialeone
Historia de la Ingeniería
Camila González
Introducción a la Ingeniería de Software
David Pacheco Ji
UNIDAD II DIBUJO PROYECTIVO
anyimartinezrued
GENERALIDADES DE LAS EDIFICACIONES
yessi.marenco17
MAPA MENTAL SOFTWARE APLICADOS EN INGENIERÍA CIVIL
Ruben Dario Acosta P
Examen Ingeniería Electromecánica II
Jorge Cabrera7516
Normas que Rigen la Ingenieria Mecanica
Francisco Balderas Garcia
Browse Library