TEST REPASO BIOQUÍMICA 1º BACH

GoConqr Review

Test de opción múltiple de bioquimica para primer año de bachillerato. Verifica tus respuestas al finalizar el examen.
VICTOR MANUEL VITORIA RUIZ
Quiz by VICTOR MANUEL VITORIA RUIZ, updated more than 1 year ago
VICTOR MANUEL VITORIA RUIZ
Created by VICTOR MANUEL VITORIA RUIZ over 11 years ago
11683
38

Resource summary

Question 1

Question
Cuando se introduce un eritrocito en un medio hipotónico:
Answer
  • Se vuelve turgente (se hincha) pero no explota
  • Se deshidrata
  • Se arruga
  • Sufre hemolisis
  • La segunda y la tercera son correctas

Question 2

Question
El agua es un buen disolvente de sustancias como monosacáridos porque:
Answer
  • Tiene un elevado calor específico
  • Es polar
  • Es más densa en estado líquido que en estado sólido
  • Es un ion
  • Todas las anteriores son falsas

Question 3

Question
Son polisacáridos estructurales:
Answer
  • La quitina y el glucógeno
  • La celulosa y el almidón
  • La quitina y el almidón
  • La celulosa y la quitina
  • Todas las anteriores son verdaderas

Question 4

Question
Un lípido que contiene fósforo y, al menos, un ácido graso:
Answer
  • Puede ser un triglicérido
  • Seguro que es un esfingolípido
  • Es un fosfolípido
  • Puede ser la vitamina D
  • La segunda y la tercera son correctas

Question 5

Question
El proceso de la imagen corresponde a:
Answer
  • Una saponificación
  • La fomación de un enlace glucosídico
  • La formación de un triglicérido
  • Una hidrólisis
  • Todas las anteriores son falsas

Question 6

Question
Pueden formar jabones:
Answer
  • Los lípidos saponificables
  • Los lípidos insaponificables
  • Los monosacáridos
  • Todas las anteriores son falsas

Question 7

Question
Cuando se cicla una aldopentosa se produce:
Answer
  • Un enlace glucosídico
  • Una furanosa
  • Una piranosa
  • Un esteroide
  • Las dos primeras son ciertas

Question 8

Question
Un disacárido que está formado por dos monoscáridos iguales puede ser:
Answer
  • Sacarosa
  • Celobiosa
  • Maltosa
  • Fructosa
  • Ninguna de las anteriores

Question 9

Question
La función de los fosfolípidos es:
Answer
  • De reserva energética
  • Estructural
  • Enzimática
  • Hormonal
  • Vitamínica

Question 10

Question
NO es característica de los terpeno:
Answer
  • Ser insolubles en agua
  • Actuar como pigmentos
  • Formar parte de las membranas celulares de eucariotas
  • Ser insaponificables
  • En realidad, todas son características de los terpenos

Question 11

Question
El oxígeno del agua que se desprende en un enlace éster proviene:
Answer
  • Del grupo alcohol
  • Del grupo cetona
  • Del glicerol
  • Del grupo ácido
  • Todas las anteriores son falsas

Question 12

Question
El compuesto de la imagen es:
Answer
  • Una cetosa
  • Un terpeno
  • Un ácido graso
  • Un polisacárido insaturado
  • Todas las anteriores son falsas

Question 13

Question
Lo que NO comparten todos los aminoácidos:
Answer
  • Un carbono (alfa) central
  • Un grupo ácido
  • Formar parte de las proteínas
  • Un grupo amino
  • Un hidrógeno

Question 14

Question
Un elemento que NO se encuentra en los aminoácidos es el:
Answer
  • N
  • P
  • S
  • C
  • Se encuentran todos los anteriores

Question 15

Question
En la formación de un enlace peptídico se desprende:
Answer
  • Un grupo amino
  • Un hidrogenión
  • Un grupo ácido
  • Una molécula de agua
  • Todas las anteriores son falsas

Question 16

Question
En una proteína globular con estructura terciaria podemos encontrar:
Answer
  • Puentes disulfuro
  • Hélice alfa
  • Lámina beta
  • Enlaces peptídicos
  • Todas las anteriores son verdaderas

Question 17

Question
La hemoglobina es una proteína que contiene:
Answer
  • Estructura primaria
  • Estructura secundaria
  • Estructura terciaria
  • Estructura cuaternaria
  • Todas las anteriores son verdaderas

Question 18

Question
Un ejemplo de proteína con función hormonal es:
Answer
  • La insulina
  • El colágeno
  • Las inmunoglobulinas
  • Las lipoproteínas
  • Ninguna de las anteriores tiene función hormonal

Question 19

Question
El uracilo es:
Answer
  • Un nucleotido
  • Un nucleosido
  • Un ácido nucleico
  • Una base nitrogenada
  • Todas las anteriores son verdaderas

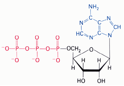
Question 20

Question
El compuesto de la imagen es:
Answer
  • ADN
  • ARN
  • ATP
  • AMP
  • Ninguno de los anteriores

Question 21

Question
La complementariedad de bases en el ADN es:
Answer
  • Púrica con púrica y pirimidínica con pirimidínica
  • A con T y C con G
  • A con G y C con T
  • A con C y G con U
  • Ninguna de las combinaciones anteriores

Question 22

Question
La función del ARNt es:
Answer
  • Transportar información genética
  • Formar parte de los ribosomas
  • Insertarse en la membrana plasmática
  • Llevar aminoácidos a los ribosomas
  • Todas las anteriores son falsas

Question 23

Question
La molécula que es transformada por un enzima se denomina ______________ y se a une a ésta por _______________________ :
Answer
  • Estado de transición / sustrato
  • Energía de activación / sustrato
  • Sustrato / Centro activo
  • Centro activo / sustrato
  • Estado de transición /centro activo

Question 24

Question
Una peptidasa rompe:
Answer
  • Enlaces peptídicos
  • Enlaces glucosídicos
  • Enlaces fosfodiéster
  • Puentes disulfuro
  • Ninguno de los anteriores

Question 25

Question
Cuando se rompen los enlaces de la quitina (un tipo de hidrólisis), se están rompiendo enlaces de tipo:
Answer
  • Éster
  • Glucosídico
  • Peptídico
  • Fosfodiéster
  • Ninguna de las anteriores

Question 26

Question
La sustancia que NO es proteína es:
Answer
  • Queratina
  • Tubulina
  • Insulina
  • Vitamina D
  • Todas las anteriores son proteínas

Question 27

Question
Se puede localizar ARN:
Answer
  • Tanto en el núcleo como en el citoplasma de las eucariotas
  • Sólo en el citoplasma de las células eucariotas
  • Tanto en el núcleo como en el citoplasma de las células procariotas
  • Sólo en el núcleo de las células eucariotas
  • Hay más de una respuesta verdaderas

Question 28

Question
La imagen corresponde a:
Answer
  • Un nucleótido
  • Un fosfolípido
  • Un esteroide
  • Una proteína globular
  • Todas las anteriores son falsas

Question 29

Question
El compuesto que NO aparece en una reacción de saponificación es:
Answer
  • Un hidróxido
  • Un isopreno
  • Un jabón
  • Glicerol
  • Todas las anteriores aparecen en una reacción de saponificación

Question 30

Question
La característica que hace a un fosfolípido o glucolípido idóneo para formar membranas es:
Answer
  • Que es anfótero
  • Que es soluble en agua
  • Que tiene C, H, O
  • Que es anfipático
  • Ninguna de las anteriores le hace idóneo

Question 31

Question
El CODÓN se encuentra en:
Answer
  • ARNm
  • ADN
  • ARNt
  • Ribosomas
  • En ninguna de las moléculas anteriores

Question 32

Question
El compuesto de la figura:
Answer
  • Es una pentosa
  • Se obtiene por hidrólisis del almidón
  • Se obtiene por la hidrólisis de proteínas
  • Se puede encontrar en los ácidos nucleicos.
  • Todas las anteriores son falsas

Question 33

Question
El lugar del enzima al que se une el sustrato se denomina:
Answer
  • Cofactor
  • Coenzima
  • Centro activo
  • Estado de transición
  • Ninguna de las anteriores es cierta

Question 34

Question
Son moléculas que se disuelven bien en agua:
Answer
  • La sacarosa
  • La glucosa
  • Los aminoácidos
  • La fructosa
  • Todas las anteriores son verdaderas
Show full summary Hide full summary

Similar

TEST REPASO BIOQUÍMICA
VICTOR MANUEL VITORIA RUIZ
Vocabulario Inglés - Tema 2
tanianicolasizqu
PROTEINAS
Olga Saez
Examen Metabolismo
Diego Santos
Phrasal Verbs Ingles/español
alba mateos figueroa
1. LA CÉLULA
Vivi Riquero
PASAPALABRA  sobre  ANATOMÍA
JL Cadenas
Examen de Repaso de Biología
Diego Santos
Práctica de Biología para la Prepa 1
Raúl Fox
TEST MICROBIOLOGÍA e INMUNOLOGÍA
VICTOR MANUEL VITORIA RUIZ
Comparación de Platón con Aristóteles. 2º de Bachillerato. Filosofía
smael Montesinos