null
US
Sign In
Sign Up for Free
Sign Up
We have detected that Javascript is not enabled in your browser. The dynamic nature of our site means that Javascript must be enabled to function properly. Please read our
terms and conditions
for more information.
Next up
Copy and Edit
You need to log in to complete this action!
Register for Free
7897866
Derivadas
Description
Encuentra las derivadas de las siguientes funciones. Selecciona la letra que tiene la respuesta correcta:
No tags specified
integrales
matemáticas
tercero
Quiz by
COBACH 19
, updated more than 1 year ago
More
Less
Created by
COBACH 19
almost 9 years ago
635
0
0
Resource summary
Question 1
Question
Resuelve la siguiente derivada: f(x)=4x^2+x+1/2
Answer
Image:
e58b319a-45d4-4103-87cb-367fcb9c8139 (image/jpeg)
Image:
c6652ba7-28f5-4c6f-9878-e4ff3e42cd1f (image/jpeg)
Image:
71b775ff-edd9-4e98-9b7e-6239a75d099a (image/jpeg)
Question 2
Question
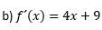
Resuelve la siguiente derivada: f(x)=x^3-4x+5
Answer
Image:
82f233d0-041b-46f3-93a5-570fabcbac11 (image/jpeg)
Image:
948cece3-3cb2-487e-9d0e-69b235facb7d (image/jpeg)
Image:
58f30df1-106d-4795-819e-36019253d8d8 (image/jpeg)
Question 3
Question
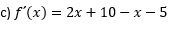
Resuelve la siguiente derivada: f(x)=(2x-1)(x+5)
Answer
Image:
d0598f0a-9693-43e6-8ab0-54ff519e14ff (image/jpeg)
Image:
ea45f647-71e2-4af0-aeab-6faa0a8e60b2 (image/jpeg)
Image:
2c36a588-b963-484c-8034-3f7dc1b9988c (image/jpeg)
Question 4
Question
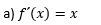
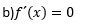
Resuelve la siguiente derivada: f(x)=x^3-4x^2+5x
Answer
Image:
efe31460-e3e5-44d3-b2d6-dbfebc910ced (image/jpeg)
Image:
dfe62d3b-ca93-40c7-80c5-2bc1b4e50331 (image/jpeg)
Image:
e698cc39-bab1-47b7-be63-4cdb6988cb4f (image/jpeg)
Question 5
Question
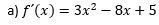
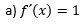
Resuelve la siguiente derivada: f(x)=x
Answer
Image:
85cf53f8-c99f-4bc4-8779-b2903840a6b5 (image/jpeg)
Image:
5f2cc1dd-36d1-4574-89fe-ec8f9a76441c (image/jpeg)
Image:
95d5a712-f7ff-408c-b9b2-9c7fb4cdbeb9 (image/jpeg)
Question 6
Question
Resuelve la siguiente derivada: f(x)=x^2
Answer
Image:
b4352867-cc3f-4dc2-a324-0b7eacc670b0 (image/jpeg)
Image:
99cfa49e-4c7d-4b71-8bbb-9d363e2720c4 (image/jpeg)
Image:
07ae4d9d-9f02-41bf-9d47-6a68aa700432 (image/jpeg)
Question 7
Question
Resuelve la siguiente derivada: f(x)=〖3x〗^(-7)
Answer
Image:
ca7aa564-48fa-4823-9d21-b7cfb0444382 (image/jpeg)
Image:
dc2f0dbd-9251-4b53-87b9-f2b4a010768c (image/jpeg)
Image:
4aea3ca0-0271-477e-8ec3-a6c80a8c85d3 (image/jpeg)
Question 8
Question
Resuelve la siguiente derivada: f(x)=senx
Answer
Image:
e3c5efe3-87af-434f-ac67-f2356c1fd2f4 (image/jpeg)
Image:
8bd37dd0-f489-4fc0-8c9f-2aafd96572f1 (image/jpeg)
Image:
40265bed-ef30-4d6b-8fbe-3383c1137037 (image/jpeg)
Question 9
Question
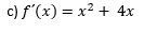
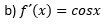
Resuelve la siguiente derivada: f(x)=cosx
Answer
Image:
e29ba937-1294-4c12-8b31-0fba2461de23 (image/jpeg)
Image:
c42771a4-1f39-46f8-914d-3c8bb8b3b73e (image/jpeg)
Image:
6421b301-abd5-4e84-8194-a278e892fbe7 (image/jpeg)
Question 10
Question
Resuelve la siguiente derivada: f(x)=tanx
Answer
Image:
8f51ee3e-fdf7-4dd3-968d-12200a428ff4 (image/jpeg)
Image:
f082ef41-0d4a-40a7-8242-305cb1de4700 (image/jpeg)
Image:
a16c3895-a340-49fa-aadb-f360fc83ebc0 (image/jpeg)
Show full summary
Hide full summary
Want to create your own
Quizzes
for
free
with GoConqr?
Learn more
.
Similar
Derivadas
erendira.aviles
Ecuaciones (Primer Grado)
Diego Santos
Fórmulas Geométricas (Perímetros)
Diego Santos
7 Técnicas para Aprender Matemáticas
maya velasquez
Matemáticasen la VidaCotidiana
Diego Santos
FRACCIONES...
JL Cadenas
FRACCIONES...
Ulises Yo
Factorización de expresiones algebraicas_1
Juan Beltran
CÁLCULOS con [ 3 · 5 · 7 ]
JL Cadenas
Preguntas del Pensamiento Matemático
Diego Santos
Factorización de Expresiones Algebráicas
maya velasquez
Browse Library