Prueba de contenidos Tema 1 - FQ 3º ESO

Description

E.S.O. Física y Química (Pruebas) Quiz on Prueba de contenidos Tema 1 - FQ 3º ESO, created by gcodoner on 11/05/2014.
gcodoner
Quiz by gcodoner, updated more than 1 year ago
gcodoner
Created by gcodoner over 11 years ago
586
1

Resource summary

Question 1

Question
El método científico, por lo tanto, se refiere a la serie de etapas que hay que recorrer para obtener un conocimiento válido desde el punto de vista científico, utilizando para esto instrumentos que resulten fiables. Lo que hace este método es minimizar la influencia de la subjetividad del científico en su trabajo.
Answer
  • True
  • False

Question 2

Question
Indica cuales de las siguientes opciones son magnitudes del Sistema Internacional.
Answer
  • Metro
  • Longitud
  • Volumen
  • Mol
  • Cantidad de sustancia
  • Tiempo
  • Segundo
  • Grado Kelvin
  • Temperatura

Question 3

Question
Indica cuales de las siguientes opciones son unidades del Sistema Internacional.
Answer
  • Metro
  • Longitud
  • Metro cúbico
  • Segundo
  • Grado Celsius
  • kg

Question 4

Question
Los prefijos del SI para nombrar a los múltiplos y submúltiplos de cualquier unidad del Sistema Internacional (SI), ya sean unidades básicas o derivadas, se anteponen al nombre de la unidad para indicar el múltiplo o submúltiplo decimal de la misma; del mismo modo, los símbolos de los prefijos se anteponen a los símbolos de las unidades.
Answer
  • True
  • False

Question 5

Question
Indica cual de las siguientes cintas métricas tiene más precisión en la medida.
Answer

Question 6

Question
Un instrumento de medida muy sensible es aquel que no modifica su medida cuando detecta pequeñas variaciones en la magnitud que está midiendo.
Answer
  • True
  • False

Question 7

Question
Indica a que hace referencia la siguiente ecuación:
Answer
  • Valor medio.
  • Error absoluto.
  • Error relativo.

Question 8

Question
Indica a que hace referencia la siguiente ecuación:
Answer
  • Error relativo.
  • Valor medio.
  • Error absoluto.

Question 9

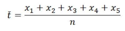
Question
Indica a que hace referencia la siguiente ecuación:
Answer
  • Valor medio.
  • Error relativo.
  • Porcentaje en tanto por cien del error relativo.

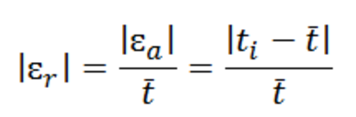
Question 10

Question
Indica a que hace referencia la siguiente ecuación:
Answer
  • Valor medio.
  • Error relativo.
  • Error relativo expresado en tanto por cien.
Show full summary Hide full summary

Similar

formulas físicas basica
michelkiss25
Unidad Didáctica. Reacciones químicas. 3 ESO
Juan Carlos Sánchez Díaz
DIAGNÓSTICO_QUÍMICA I
yonnathan montaño muñoz
Tema 4. El movimiento
JOSE LUIS FERNANDEZ GAMAZA
cartas gamificación 3ºESO
Ana Sanjuán
UD 6 Las reacciones químicas.
Natalia Cardalliaguet
Física y Química (3º ESO): Los átomos
Carlos Moreno
Las reacciones químicas
Javier Aranda Albarrán
Prueba de contenidos - Tema 4 - FQ 3º ESO
gcodoner
PROPIEDADES TERMICAS Y QUIMICAS
Francisco Luis Ozáez Gracia
Reacciones Químicas
Maria J. Antolinez