EXAMEN DEPARTAMENTAL MATEMATICAS I

Description

DEPARTAMENTAL MATEMATICAS I Quiz on EXAMEN DEPARTAMENTAL MATEMATICAS I, created by Leco Luis Roberto Villarreal Perez on 01/05/2017.
Leco Luis Roberto Villarreal Perez
Quiz by Leco Luis Roberto Villarreal Perez, updated more than 1 year ago
Leco Luis Roberto Villarreal Perez
Created by Leco Luis Roberto Villarreal Perez over 8 years ago
52
0

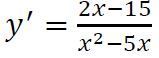
Resource summary

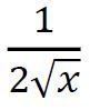
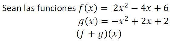
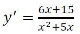
Question 1

Question
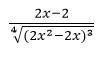
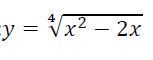
Derive la función y elija la respuesta correcta

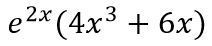
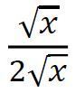
Question 2

Question
Selecciona la opción correcta

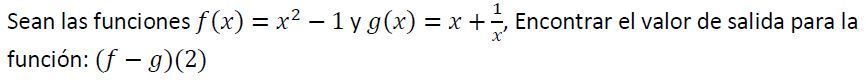
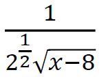
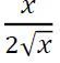
Question 3

Question
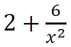
Selecciona la opción correcta:

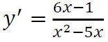
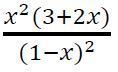
Question 4

Question
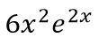
Selecciona la opción correcta:

Question 5

Question
La gerencia de la empresa Electra planea comercializar su producto cuya demanda se ha estimado en: p = −0.20q + 2q + 10 - Encontrar el ingreso marginal cuando q = 5.
Answer
  • 30
  • 19
  • 32
  • 28

Question 6

Question
Selecciona la opción correcta:

Question 7

Question
Cuál es la razón de cambio de precio p con respecto a la cantidad q. ¿Cuál es la razón de cambio para el valor indicado de q?
Answer
  • 0.009009796
  • -.091067
  • -.009
  • -0.00909796

Question 8

Question
¿Cuál es la razón de cambio para el valor indicado de q?
Answer
  • -0.008120118
  • 0.008120118
  • 8.00125
  • -2.15698

Question 9

Question
Selecciona la opción correcta:
Answer
  • Todos los números reales de −∞ a − 1
  • Todos los números reales de −∞ a 1
  • Todos los números reales excepto 1
  • Todos los números reales de −∞ a 0

Question 10

Question
Selecciona la opción correcta
Answer
  • 8
  • 4
  • -8
  • -4

Question 11

Question
Selecciona la opción correcta:
Answer
  • 1/2
  • 3/2
  • -1/2
  • 2

Question 12

Question
Selecciona la opción correcta:
Answer
  • 4
  • 6
  • 1.875
  • 2

Question 13

Question
Selecciona la opción correcta:
Answer
  • 0
  • 2
  • No existe
  • 1

Question 14

Question
Seleccione la opción correcta
Answer
  • -1
  • 1
  • No existe

Question 15

Question
Seleccione la opción correcta:
Answer
  • (−∞, 4)
  • (−∞, −4)
  • (−4, ∞)
  • (4, ∞)

Question 16

Question
Selecciona la opción correcta:
Answer
  • -16/25
  • -25/16
  • 16/25
  • 25/16

Question 17

Question
Selecciona la opción correcta

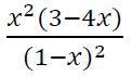
Question 18

Question
Selecciona la opcion correcta:

Question 19

Question
Selecciona la opción correcta
Answer
  • x = 2
  • x = 0
  • x = 8
  • x = 10

Question 20

Question
Se invirtieron $700 en una financiera que paga una tasa de interés del 7% anual. Suponga que la financiera le respeta dicha tasa de interés permitiendo que haga la inversión semestralmente. El monto compuesto S es una función del número de periodos t en los que se realiza la inversión como se muestra en la ecuación. Determine el monto compuesto que se tendrá si la inversión se realiza en 15 años.
Answer
  • 749.85
  • 1 964.75
  • 5 689 984.65
  • 1 112.74

Question 21

Question
Selecciona la opción correcta:

Question 22

Question
Selecciona la opción correcta:
Answer
  • −163.57
  • 163.57
  • 12.78
  • −12.78

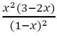
Question 23

Question
Seleccione la opción correcta:

Question 24

Question
Los costos asociados al producir cierto producto son c(q) = 5000q − 15000 donde q representa la cantidad fabricada. Encuentre el costo de fabricar 60 unidades
Answer
  • 2998500
  • 285000
  • 2985000
  • 298500

Question 25

Question
Selecciona la opción correcta
Answer
  • x = 1
  • x = 2
  • x = -1
  • x = 0

Question 26

Question
Selecciona la opción correcta:

Question 27

Question
Si la función de demanda para un producto está dada por 400 / [ln (q + 10)] donde p es el precio por unidad cuando se demanda q unidades. ¿Cuál es el ingreso total cuando se demanda 40 unidades?
Answer
  • i(40) = 2354.37 dlls
  • i(40) = 4089.95 dlls
  • i(40) = 49179.20 dlls
  • i(40) = 1022.49 dlls
Show full summary Hide full summary

Similar

ecuaciones de primer grado
fmartinez2408
sistema de ecuaciones simultáneas
fmartinez2408
Primera Evaluación Ordinaria MATEMATICAS I
ENRIQUE MACIAS MAYA
Problemas de aplicación de ecuaciones de primer grado
fmartinez2408
Fichas PGP
Pamela GP
Funciones
Mikee Mercado
Tarea 1
Mikee Mercado
TERCER PARCIAL DE MATEMÁTICAS I
amaury aguilar
Matemáticas I: evaluación diagnóstica
Jer Sastré
Matemáticas I
Marlen Pérez Ramírez
Conceptos Unidad II
AlexCastel