null
Sign In
Sign Up for Free
Sign Up
We have detected that Javascript is not enabled in your browser. The dynamic nature of our site means that Javascript must be enabled to function properly. Please read our
terms and conditions
for more information.
Next up
Copy and Edit
You need to log in to complete this action!
Register for Free
8921542
Test resolución de problemas y cálculo de límites. (Y. Llanquiman)
Description
Test resolución de problemas y cálculo de límites realizado por Yasmin Llanquiman, usando recursos de internet.
No tags specified
resolución de problemas
límites
Quiz by
Yasmin L
, updated more than 1 year ago
More
Less
Created by
Yasmin L
over 8 years ago
190
0
0
Resource summary
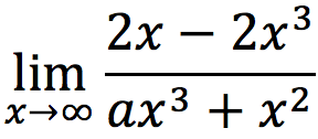
Question 1
Question
El valor que debe tener la constante a para que el límite sea 1 debe ser:
Image:
Captura De Pantalla 2017 05 13 A Las 5.02.36 P.M. (image/png)
Answer
5
-2
1/2
-4/2
-2/4
Question 2
Question
Sea la función y = f(x) dada gráficamente. ¿Cuál de las siguientes afirmaciones es verdadera?
Image:
Image715 (image/gif)
Answer
Image:
Captura De Pantalla 2017 05 13 A Las 5.14.58 P.M. (image/png)
Image:
Captura De Pantalla 2017 05 13 A Las 5.15.45 P.M. (image/png)
Image:
Captura De Pantalla 2017 05 13 A Las 5.16.32 P.M. (image/png)
Image:
Captura De Pantalla 2017 05 13 A Las 5.17.12 P.M. (image/png)
Question 3
Question
Las categorías que describe Allan Schoenfeld en resolución de problemas son solamente los recursos y las heurísticas.
Answer
True
False
Question 4
Question
Las fases que menciona Polya, para la resolución de problemas son: comprender el problema, trazar un plan, ejecución del plan y visión retrospectiva.
Answer
True
False
Question 5
Question
Los sistemas de creencias, descritos por Schoenfeld, son las percepciones que las personas tienen de la matemática.
Answer
True
False
Question 6
Question
No se puede realizar resolución de problemas usando límites de funciones reales.
Answer
True
False
Question 7
Question
La resolución de problemas trabaja con habilidades de orden superior.
Answer
True
False
Show full summary
Hide full summary
Want to create your own
Quizzes
for
free
with GoConqr?
Learn more
.
Similar
PROCESOS INTEGRADORES DEL PENSAMIENTO
Esteban Arias
Situación y relieve EUROPA
Juan Fernando de la Iglesia
LÍMITES
Andres Duarte7009
Análisis Matemático Univariado
Patricio Castillo
Pirámide de Maslow
Chocolateh'
Naturaleza de las soluciones creativas
vcuevasn
El método Polya: Una estrategia para resolver problemas matemáticos
Jorge Grax
Expansión de los límites
Fernanda Bermúdez
Nivel 1 / Vídeo 2 / Resolución de Problemas mediante el Razonamiento Lógico
Ricardo García
Problemas de calentamiento 1
Dayana Castellón
Evaluación del y para el aprendizaje
YADIRA VELASQUEZ
Browse Library