EXAMEN DE PRÁCTICA 4

Description

Opción EXÁMENES DE PRÁCTICA Quiz on EXAMEN DE PRÁCTICA 4, created by CENTRO NACIONAL DE EXÁMENES DE ADMISIÓN on 30/05/2017.

Resource summary

Question 1

Question
El termómetro de mi escuela marcó a las 7 de la mañana, 4 grados centígrados bajo cero; y a las 11 de la mañana marca 18 grados centígrados. ¿Cuál de las siguientes opciones corresponde al aumento de la temperatura en este lapso de tiempo?
Answer
  • 22 ºC
  • 14 ºC
  • 18 ºC
  • 4 ºC

Question 2

Question
De una cartulina usada que tiene José, 2/3 partes están nuevas y utilizó la mitad de ella. ¿Qué opción corresponde a la parte de la cartulina de José que no ha sido usada?
Answer
  • 1/6
  • 1/3
  • 4/6
  • 3/6

Question 3

Question
Roberto recibe de sus padres $300.00 cada quince días. Al inicio de cierta quincena Roberto propone el siguiente convenio: les pide que le den dos centavos el primer día, 4 centavos el segundo día, 8 centavos el tercer día y así sucesivamente. Si los padres aceptan el convenio, ¿ Cuántos pesos le darían el décimo quinto día?
Answer
  • 32 768.00
  • 3 276.800
  • 327.680
  • 3 276 800

Question 4

Question
Don pancho quiere comprar un terreno rectangular en la nueva colonia, pero le interesa saber las dimensiones del mismo para construir un local, los únicos datos que conoce son el perímetro que mide 120 m y su área que es de 875 m2. ¿Cuánto mide el ancho y el largo del terreno?
Answer
  • 40 m y 25 m
  • 50 m y 10 m
  • 45 m y 15 m
  • 35 y 25 m

Question 5

Question
Un grifo tarda 4 horas en llenar un recipiente y a otro le cuesta 12 horas. ¿ cuánto tardaremos si abrimos los dos grifos a las vez ?
Answer
  • 3
  • 9
  • 6
  • 10

Question 6

Question
El costo de dos artículos iguales, con el impuesto incluido, es $308. El impuesto por cada articulo es $12.70. ¿Cuál es el precio de un solo artículo sin incluir el impuesto?
Answer
  • 141.30
  • 295.30
  • 282.6
  • 150.60

Question 7

Question
¿Cuántos kilogramos pesan 28 metros de alambre del mismo grueso, si 154 metros pesan 11 kilogramos?
Answer
  • 2
  • 28/11
  • 7
  • 14

Question 8

Question
Hay diez canicas rojas y diez canicas azules mezcladas en el cajón del armario. Las veinte canicas son exactamente iguales, salvo por el color. El cuarto está totalmente a oscuras y tú quieres dos canicas del mismo color. ¿Cuál es el menor número de canicas que debes sacar del cajón para estar seguro de que tienes un par del mismo color?
Answer
  • 10
  • 12
  • 2
  • 3

Question 9

Question
El producto de (6k + 8m) (6k - 8m) es:
Answer

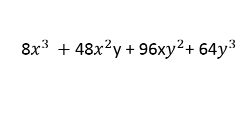
Question 10

Question
El producto es:
Image:
Q (image/png)
Answer

Question 11

Question
Simplifica la siguiente expresión algebraica:
Answer
  • 2x - 5
  • - 2x + 5
  • -2x - 3
  • 3x +5

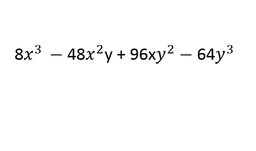
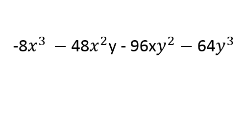
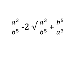
Question 12

Question
Resuelve el cuadrado del siguiente binomio:
Image:
6 (image/png)
Answer

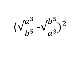
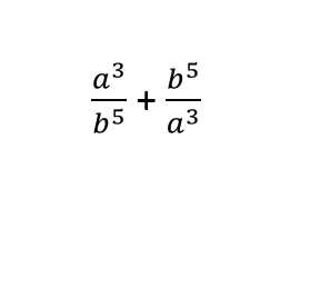
Question 13

Question
Resuelve:
Answer
  • x = -1/4; y = 4/3
  • x = - 1/3; y = 4/3
  • x = 1/3; y = -3/4
  • x = 1/4; y = 3/4

Question 14

Question
Resuelve...
Answer
  • x = 1; y = 3
  • x = 0; y = 2
  • x = 0; y = 3
  • x = 1 ; y = 0

Question 15

Question
Dos números que sumados dan 5 y multiplicados dan -14 son:
Answer
  • 7 y 2
  • -7 y 2
  • 3 y 2
  • Ninguna de las anteriores

Question 16

Question
Dos viajeros parten simultáneamente de dos ciudades opuestas A y B, cada uno con dirección a la otra ciudad; transcurridas 4 horas se encuentran. Si uno de los viajeros caminó a 4 km/h y el otro lo hizo a 6 km/h , la distancia de las dos ciudades es de
Answer
  • 10 km
  • 20 km
  • 40 km
  • 30 km

Question 17

Question
La moda de los siguientes datos es: 20,21,18,19,18,17,18, es?
Answer
  • 19
  • 18
  • 18.71
  • 18.5

Question 18

Question
En una caja hay 4 focos malos y 6 buenos. Se sacan dos focos a la vez. Se prueba el primero y resulta bueno,la probabilidad de que el otro también sea bueno es:
Answer
  • 5/9
  • 6/10
  • 1/3
  • 1/2
Show full summary Hide full summary

Similar

Aspectos evaluados en el Exani II
Diego Santos
Presidentes deMéxico (1964-2018)
Raúl Fox
Preguntas del Pensamiento Matemático 1
Raúl Fox
Preguntas del Pensamiento Matemático 2
Raúl Fox
Competencias Comunicativas del Español: Estructura de la Lengua
Raúl Fox
Preguntas del Pensamiento Matemático
Diego Santos
Preguntas del Pensamiento Matemático 3
Raúl Fox
EXAMEN DE MATEMÁTICAS 1ER GRADO SECUNDARIA 5to Bim
FELIPE SOLTERO
Biología: Examen de selección Ciencias de la Salud Exani II 2014 por H. Caleb Lagunas Rojas
Caleb rjs
temas quimica exani II
ibeth cruz